Ga naar de hoofdinhoud
Top

Middellangetermijnoverleving na open versus robotgeassisteerde radicale cystectomie in Nederland: resultaten van de ‘SNAPSHOT’ cystectomie

  • Open Access
  • 13-11-2023
  • Artikel
Gepubliceerd in:

Samenvatting

Er is onvoldoende bekend over de middellangetermijnoverleving van niet-gemetastaseerd spierinvasieve blaaskanker (SIBC) na open (ORC) versus robotgeassisteerde (RARC) cystectomie, met of zonder neoadjuvante chemotherapie (NAC). Om de vijfjaarsoverleving na beide interventies en de invloed van NAC te onderzoeken, is een retrospectieve studie verricht in 19 Nederlandse ziekenhuizen tussen 2012 en 2015. Van de totaal 1.534 cT1-4N0-1-patiënten ondergingen 1.086 patiënten een ORC en 389 een RARC. De vijfjaarsoverleving was 51% na ORC (95%-BI 47–53) versus 58% na RARC (95%-BI 52–63); de hazard ratio na multivariabele correctie was 1,00 (95%-BI 0,84–1,20). 226 van de 965 cT2-4aN0-patiënten werden behandeld met NAC. Na case-control matching bleek (y)pT0 vaker voor te komen na NAC dan zonder NAC (31 vs. 15%; p < 0,01). De beste vijfjaarsoverleving trad op bij patiënten met ypT0 na NAC, namelijk 89% (95%-BI 81–97). Concluderend laat deze deze studie bij patiënten met SIBC vergelijkbare vijfjaarsoverleving zien na ORC of na RARC. De beste overleving was bij patiënten die waren behandeld met NAC voorafgaand aan cystectomie.
Dit is de Nederlandse vertaling van twee reeds eerder in Engels gepubliceerde artikelen: Hinsenveld FJ, et al. (2022) [1], en Van Ginkel N, et al. (2022) [2]. Bij citatie deze artikelen gebruiken.

Publisher’s Note

Springer Nature remains neutral with regard to jurisdictional claims in published maps and institutional affiliations.

Introductie

Radicale cystectomie (RC) met lymfeklierdissectie is de aanbevolen behandeling voor niet-gemetastaseerd spierinvasieve blaaskanker (SIBC) en hoogrisico niet-spierinvasieve blaastumoren (NSIBC) [3]. De klassieke benadering van een radicale cystectomie is een open radicale cystectomie (ORC), maar sinds 2006 zijn minimaal-invasieve technieken in opkomst, zoals laparoscopische of robotgeassisteerde radicale cystectomie (RARC) [4]. Daarnaast is aangetoond dat op cisplatine gebaseerde neoadjuvante chemotherapie (NAC) resulteert in een betere overleving dan directe cystectomie bij patiënten met spierinvasief urotheelcelcarcinoom van de blaas, stadium cT2-T4aN0 [3].
Een eerder gerandomiseerd gecontroleerd onderzoek (RCT) naar de perioperatieve uitkomsten van ORC versus RARC liet een vergelijkbaar risico zien op perioperatieve complicaties [58]. In enkele kleine gerandomiseerde onderzoeken was ook de overleving en recidiefvrije overleving na ORC versus RARC gelijkwaardig [912]. In een recente RCT kwam naar voren dat patiënten na RARC een tot wel 90 dagen betere overleving hadden, en minder kans op trombo-embolische en wondgerelateerde complicaties [13]. Deze onderzoeken rapporteerden echter niet over uitkomsten op (middel)lange termijn [14, 15]. Daarom is het primaire doel van deze studie geweest om de overleving te bepalen op middellange termijn na open versus robotgeassisteerde cystectomie. Over deze studie zijn reeds twee Engelstalige publicaties verschenen [1, 2]. Dit is de Nederlandse vertaling van deze artikelen.
Ondanks voortschrijdende (chirurgische) inzichten blijft de algemene overleving na radicale cystectomie beperkt tot een vijfjaarsoverleving van rond de 50% [16]. NAC leidt tot een verbeterde vijfjaarsoverleving met 6 tot 8% [1618]. Het grootste voordeel van NAC wordt toegeschreven aan een subgroep van patiënten die een pathologisch complete respons (pCR, ofwel ypT0N0) hebben [17, 18]. Een pCR komt voor bij 10 tot 15% van de patiënten na cystectomie zonder NAC. Bij patiënten met (y)pT0N0 is er sprake van een (relatief) goede vijfjaarsoverleving tot wel 75 tot 85% [19, 20]. Het secundaire doel van deze studie was het bepalen van de overleving na NAC op een middellange termijn van vijf jaar.

Methode

Onderzoeksopzet

Deze studie is opgezet als een landelijk retrospectief multicentrisch observationeel cohortonderzoek met daarin 1.609 patiënten met niet-gemetastaseerd SIBC of hoogrisico NSIBC die zijn geopereerd tussen januari 2012 en december 2015. Voor dit onderzoek is de Nederlandse Cystectomie SNAPSHOT Groep opgericht waaraan, van de 47 centra in Nederland waarin in die periode cystectomieën werden verricht, vijf academische centra en 14 perifere ziekenhuizen deelnamen. Samen zijn deze 19 ziekenhuizen verantwoordelijk voor ongeveer 40% van alle uitgevoerde cystectomieën in Nederland. Voor deelname aan de studie vond geen selectie plaats op basis van volume of patiëntcriteria, waardoor de uitkomsten een goede weerspiegeling zijn van de dagelijkse praktijk in Nederland. De studie is afgegeven als niet-WMO-plichtig door de Medisch Ethische ToetsingsCommissie Erasmus MC, Rotterdam (MEC-2018-1730).

Populatie

Voor inclusie in deze studie werden de patiënten geïdentificeerd uit de reeds bestaande database ‘SIBC & Cystectomie’ van de Nederlandse Vereniging voor Urologie (NVU). Alle geopereerde patiënten met histologisch bewezen spierinvasief of hoogrisico niet-spierinvasief urotheelcelcarcinoom (cT1-T4aN0-1M0) werden geselecteerd uit de database. De indicaties voor ORC, RARC en NAC zijn gesteld door de lokale behandelaren en de overwegingen zijn niet geregistreerd. Voor het primaire doel van de studie, de vergelijking tussen ORC en RARC, werden al deze patiënten geïncludeerd voor de analyse. Voor het secundaire doel van de studie, de invloed van NAC op de overleving, werden alleen patiënten geïncludeerd in de analyse die geschikt waren voor NAC, te weten patiënten met cT2-4aN0.
Initiële stadiëring werd verricht op basis van lokale ziekenhuisprotocollen met een CT-scan of een PET/CT-scan van thorax en abdomen. De beslissingen over radicale cystectomie en type operatie werden genomen in een multidisciplinair overleg.
Lokale onderzoekers verzamelden gegevens over: leeftijd, geslacht, American Society of Anesthesiologists (ASA) score, Charlson Comorbidity Index (CCI), body mass index (BMI, kg/m2), preoperatieve serumhemoglobine- (mmol/l) en creatininewaarde (μmol/l), type neoadjuvante chemotherapie (gemcitabine/cisplatine, gemcitabine/carboplatine of MVAC bestaande uit methotrexaat, vinblastine, adriamycine en cisplatine), klinisch (cTNM) en pathologisch tumorstadium (pTNM), geschat peroperatief bloedverlies, duur van de operatie (minuten), status van de chirurgische snijvlakken, aantal verwijderde lymfeklieren met eventuele metastasen, complicaties binnen 90 dagen (graad ≥ 3 volgens Clavien-Dindo) en datum van overlijden [21]. Ontbrekende klinische of pathologische data werden aangevuld met gegevens uit de Nederlandse Kankerregistratie (NKR) en Palga.

Analyses

De primaire uitkomst was de overleving op middellange termijn, ofwel overleving vijf jaar na RC. In de oorspronkelijke Engelstalige artikelen staan ook de resultaten aangaande de recidiefvrije overleving [1, 2].
Voor het primaire doel van de studie, het maken van een vergelijking tussen ORC en RARC, is een multivariabel Cox-regressiemodel gemaakt, waarin gecorrigeerd is voor leeftijd, geslacht, CCI, ASA-score, BMI, preoperatieve hemoglobine- en creatininewaarden, klinische en pathologische TNM-stadia, NAC en complicaties. Om alle patiënten te includeren in de multivariabele analyse werden ontbrekende data geïmputeerd met behulp van logistische en lineaire regressiemodellen [22].
Voor het secundaire doel van de studie, de invloed van NAC op de overleving, zijn de resultaten gestratificeerd voor wel of geen NAC én voor pathologische respons. Een pCR is gedefinieerd als de afwezigheid van maligniteit in het cystectomiepreparaat en lymfeklieren (y)pT0N0 of de aanwezigheid van een niet-invasieve papillaire tumor (y)pTaN0. Een pPR is gedefinieerd als de aanwezigheid van NSIBC of carcinoma in situ in het preparaat, (y)pT1/CIS N0. Resterende invasieve ziekte (RZ) in het preparaat is gedefinieerd als orgaanbeperkte SIBC (y)pT2N0, resterende extravesicale groei (y)pT3-4N0 of lymfekliermetastasen, (y)pN1. Daarnaast zijn de resultaten vergeleken tussen patiënten die waren behandeld met NAC versus alleen cystectomie. Om te corrigeren voor eventuele confounders werd case-control matching toegepast op basis van leeftijd, geslacht, klinisch tumorstadium, CCI en nierfunctie. Tot slot hebben we de uitkomsten van patiënten met een cT2-tumor die waren behandeld met NAC versus alleen cystectomie vergeleken en de uitkomsten van patiënten met een cT3-4a-tumor met versus zonder NAC.
De statistische analyse is uitgevoerd met behulp van IBM® SPSS® Statistics versie 25. Continue data werden beschreven met de mediaan en de interkwartielafstand (IQR). Categoriale data werden beschreven met het 95%-betrouwbaarheidsinterval (95%-BI). De Chi-kwadraattoets en Mann-Whitney U‑test werden gebruikt om de populatiekarakteristieken te vergelijken. De overleving werd geschat met Kaplan-Meier-curves.

Resultaten

Overleving na ORC versus RARC

In de primaire analyse werden totaal 1.472 patiënten geïncludeerd: 1.086 patiënten die ORC ondergingen en 386 die RARC ondergingen (tab. 1). Patiënten die waren behandeld met ORC waren ouder (mediaan 69 jaar, IQR 62–75) dan RARC-patiënten (mediaan 68 jaar, IQR 62–74; p = 0,07) en hadden een hoger serumcreatinine ten tijde van de operatie (mediaan 90 µmol/l, IQR 75–108 vs. 85 µmol/l, IQR 73–105; p = 0,01).
Tabel 1
Populatiekenmerken van 1.472 patiënten met niet-gemetastaseerde spierinvasieve blaaskanker en van patiënten met hoogrisico niet-spierinvasieve blaaskanker die open of robotgeassisteerde radicale cystectomie hebben ondergaan
karakteristieken
ORC
RARC
p-waarde
ontbrekende data, % (n)
 
n = 1.086
n = 386
  
leeftijd, jaren
69 (62–75)
68 (62–74)
  0,07a
0 (1)
geslacht % (n)
  
  0,09b
0
vrouw
27 (298)
24 (92)
  
man
73 (788)
76 (294)
Charlson Comorbidity Index
 4 (2–5)
 4 (2–5)
  0,81a
1 (20)
ASA-classificatie, % (n)
  
  0,31b
6 (81)
– I
17 (172)
18 (70)
  
– II
62 (620)
64 (245)
– III–IV
21 (216)
18 (68)
body mass index, kg/m2
26 (23–28)
26 (23–29)
  0,13a
9 (137)
hemoglobine, mmol/l
 8,2 (7,1–9,0)
 8,2 (7,3–8,9)
  0,87a
2 (26)
creatinine, μmol/l
90 (75–108)
85 (73–104)
  0,01a
3 (38)
klinisch T‑stadium % (n)
  
  0,07b
2 (29)
– cTa/T1/cis
19 (204)
22 (83)
  
– cT2
49 (529)
52 (200)
– cT3
24 (259)
19 (74)
– cT4
 7 (75)
 5 (19)
klinisch N‑stadium % (n)
  
< 0,01b
2 (35)
– cN0
91 (968)
97 (362)
  
– cN1
 9 (94)
 4 (13)
urinedeviatie, % (n)
  
  0,19b
0 (6)
– Bricker
86 (928)
82 (313)
  
– neoblaas
12 (126)
14 (53)
  
– Indiana pouch
 2 (21)
 3 (11)
  
– ureterocutaneostomie
 1 (5)
 1 (4)
  
– anders
 1 (5)
 0
  
jaar van operatie, % (n)
  
  0,01b
0
– 2012
24 (261)
18 (68)
  
– 2013
26 (287)
22 (83)
– 2014
25 (275)
30 (117)
– 2015
24 (263)
31 (118)
neoadjuvante therapie, % (n)
  
  0,08b
1 (10)
– geen
78 (843)
73 (277)
  
– chemotherapie
21 (222)
26 (99)
– radiotherapie
 1 (10)
 0 (1)
– anders
 1 (8)
 1 (2)
Continue data zijn weergegeven als mediaan (interkwartielafstand) en categoriale data als percentage (frequentie)
ASA American Society of Anesthesiologists, ORC open radicale cystectomie, RARC robotgeassisteerde radicale cystectomie
a Mann-Whitney-U-test
b Chi-kwadraattoets
De mediane overleving (fig. 1) na ORC was 5,0 jaar (95%-BI 4,3–5,6) en na RARC 5,8 jaar (95%-BI 5,1–6,5). De vijfjaarsoverleving na ORC was 50% (95%-BI 47–53%) en na RARC 58% (95%-BI 52–63%). Na multivariabele correctie (tab. 2) was de hazard ratio (HR) van de overleving van ORC versus RARC 1,00 (95%-BI 0,84–1,20). Een hogere leeftijd en een CCI > 5, preoperatieve anemie (Hb < 7,5 mmol/l bij vrouwen en < 8,5 mmol/l bij mannen), ernstige complicaties, > pT2 en > pN0 en positieve snijvlakken waren geassocieerd met slechtere overleving (p < 0,01).
Figuur 1
Kaplan-Meiercurves van 1.472 patiënten met niet-gemetastaseerde spierinvasieve blaaskanker en patiënten met hoogrisico niet-spierinvasieve blaaskanker die radicale cystectomie hebben ondergaan. De groene lijn vertegenwoordigt robotgeassisteerde radicale cystectomie (RARC) en de blauwe lijn open radicale cystectomie (ORC)
Afbeelding vergroten
Tabel 2
Multivariabele Cox-regressiemodellen ter beoordeling van de associatie tussen open versus robotgeassisteerde radicale cystectomie en overleving, en ter beoordeling van mogelijke voorspellers van overleving
 
overleving
HR
95%-BI
p-waarde
leeftijd per jaar
1,02
 1,01–1,03
< 0,01
vrouwelijk geslacht
1,15
 0,97–1,36
  0,11
Charlson Comorbidity Index
   
– < 5
referentie
  
– 5
1,22
 0,97–1,53
  0,11
– > 5
1,51
 1,22–1,87
< 0,01
ASA-classificatie
   
– I
referentie
  
– II
0,94
 0,75–1,17
  0,57
– III–IV
0,99
 0,75–1,32
  0,99
body mass index per kg/m2
0,99
 0,96–1,01
  0,16
anemiea
1,37
 1,15–1,63
< 0,01
creatinine per 10 μmol/l
1,01
 0,99–1,02
  0,35
klinisch T‑stadiumb
   
– cTa/T1/cis
referentie
  
– cT2-cT4
1,24
 0,98–1,58
  0,07
klinisch N‑stadium N +
1,26
 0,94–1,69c
  0,13
jaar van operatie
   
– 2012
0,9
 0,72–1,13
  0,36
– 2013
1,02
 0,82–1,27
  0,83
– 2014
1,02
 0,82–1,28
  0,83
– 2015
referentie
  
neoadjuvante therapieb
   
– geen
referentie
  
– chemotherapie/radiotherapie
0,85
 0,68–1,07
  0,16
ernstige complicatiesd
   
– geen
referentie
  
– ≥ 1
1,76
 1,50–2,07
< 0,01
pathologisch T‑stadiumb
   
– pT0-pT2
referentie
  
– pT3-pT4
2,36
14,98–2,80
< 0,01
pathologisch N‑stadium N+
1,82
 1,53–2,17
< 0,01
status positieve snijvlakken
1,69
 1,37–2,09
< 0,01
ORC
1
 0,84–1,20
  0,96
ASA American Society of Anesthesiologists, BI betrouwbaarheidsinterval, HR hazard ratio, ORC open radicale cystectomie
Dit model bevat 1.472 patiënten en 718 overlijdens
a Hemoglobine was gecategoriseerd in anemie in verband met non-lineariteit. Anemie is gedefinieerd als hemoglobine < 7,5 mmol/l voor vrouwen en < 8,5 mmol/l voor mannen
b Klinisch T‑stadium, neoadjuvante therapie, aantal ernstige complicaties en pathologisch T‑stadium waren gedichotomiseerd na controle voor proportional hazards assumptie
c Controle voor proportional hazards assumption liet zien dat na ongeveer 6 jaar de hogere hazard voor patiënten met klinisch N+-stadium verdween
d Controle voor proportional hazards assumption toonde dat er na gemiddeld 2 jaar een lagere hazard voor patiënten met neoadjuvante therapie ontstond
* Statistisch significant

NAC en overleving

Voor de analyses over de invloed van NAC zijn 965 patiënten (cT2-4aN0) geschikt bevonden voor inclusie van wie er 226 behandeld waren met NAC. De samenstelling van de populatie is anders dan in de primaire analyse (n = 1.472). Zo zijn 62 patiënten geïncludeerd die laparoscopische cystectomie hadden ondergaan. Vervolgens zijn groepen patiënten geëxcludeerd vanwege het cT-stadium (287 patiënten) en het cN+-stadium (99 patiënten), vanwege andere histologie dan urotheelcelcarcinoom (93 patiënten), vanwege ontbrekende data (86 patiënten) en vanwege andere neoadjuvante behandeling (4 patiënten).
Het type NAC was voor de meeste patiënten gemcitabine/cisplatine (n = 126, 71%). Verder werden 35 (16%) patiënten behandeld met gemcitabine/carboplatine en 29 (13%) patiënten kregen MVAC. De patiënten die NAC hadden ondergaan, waren jonger (mediaan 65 jaar, IQR 59–71) dan patiënten die alleen RC ondergingen (mediaan 69 jaar, IQR 63–75). Zie tab. 3. Verder hadden zij ook minder comorbiditeit (CCI 0–4: 81 vs. 66%) en een verder gevorderd cT-stadium (> cT2: 57 vs. 24%). Van de met NAC-behandelde patiënten had 31% een pCR (70/226, 95%-BI 25–37), 13% pPR (30/226, 95%-BI 9–18) en 56% RZ (126/226, 95%-BI 49–62). De aantallen pCR, pPR en RZ voor patiënten die alleen RC ondergingen, waren respectievelijk 12% (91/739, 95%-BI 10–15), 8% (57/739, 95%-BI 6–10) en 80% (591/739, 95%-BI 77–83).
Tabel 3
Populatiekarakteristieken voor analyses van patiënten met niet-gemetastaseerde spierinvasief blaaskanker die is behandeld mét of zonder neoadjuvante chemotherapie
 
alle patiënten (n = 965)
alleen RC (n = 739)
NAC + RC (n = 226)
p-waarde
leeftijd, jaren
 68 (62–74)
 69 (63–75)
 65 (59–71)
< 0,01
Geslacht, n (%)
– man
704 (73)
540 (73)
164 (73)
  0,88
– vrouw
261 (27)
199 (27)
 62 (27)
creatinine, μmol/l
 89 (75–106)
 88 (74–103)
 96 (78–112)
< 0,01
klinisch T‑stadium; n (%)
– cT2
657 (68)
561 (76)
 96 (43)
< 0,01
– cT3-4a
264 (27)
153 (21)
111 (49)
– cT4a
 44 (5)
 25 (3)
 19 (8)
Charlson Comorbidity Index; n (%)
– 0–4
670 (70)
486 (66)
184 (81)
< 0,01
– 5–6
205 (21)
170 (23)
 35 (16)
– > 6
 80 (8)
 74 (10)
  6 (3)
– Missing
 10 (1)
  9 (1)
  1 (< 1)
NAC-regime; n (%)
– gem/cis
162 (71)
– gem/carbo
 35 (16)
– MVAC
 29 (13)
pathologische respons; n (%)
– complete respons (pCR)
161 (17)
 91 (12)
 70 (31)
< 0,01
– partiële respons (pPR)
 87 (9)
 57 (8)
 30 (13)
– resterende ziekte (RZ)
717 (74)
591 (80)
125 (56)
Continue data zijn weergegeven als mediaan (interkwartielafstand)
RC radicale cystectomie, NAC neo-adjuvante chemotherapie
Na pCR en pPR (met of zonder NAC) was sprake van een betere vijfjaarsoverleving dan na RZ: respectievelijk 82% (95%-BI 76–88), 72% (95%-BI 63–82) en 40% (95%-BI 36–43). Zie fig. 2a. Voor patiënten die waren behandeld met NAC was de vijfjaarsoverleving na pCR 89% (95%-BI 81–97), na pPR 70% (95%-BI 53–87) en na RZ 40% (95%-BI 32–49). De vijfjaarsoverleving voor patiënten die alleen RC ondergingen, was na pCR 77% (95%-BI 68–86), na pPR 74% (95%-BI 62–85) en na RZ 40% (95%-BI 36–44).
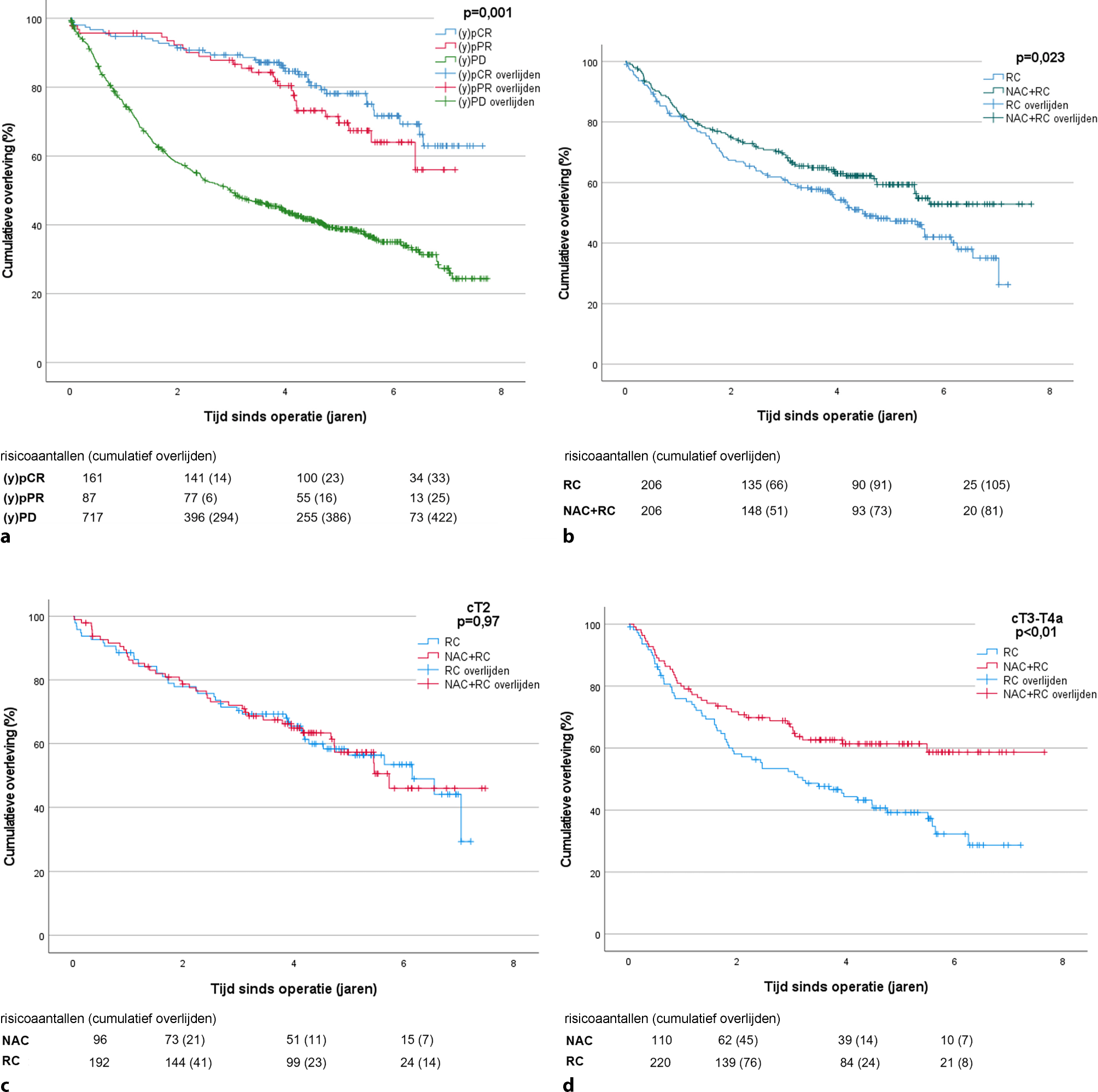
Figuur 2
a Overleving van 965 patiënten met blaaskanker die behandeld zijn met radicale cystectomie (RC) met of zonder neoadjuvante chemotherapie (NAC), gestratificeerd per pathologische respons. b Overleving na case-control matching van patiënten met spierinvasieve blaaskanker die behandeld zijn met NAC+RC (n = 206, groene lijn) versus patiënten met alleen RC (n = 206, blauwe lijn). c Overleving na case-control matching van cT2-patiënten met spierinvasieve blaaskanker die zijn behandeld met NAC (n = 96, rode lijn) of met alleen RC (n = 192, blauwe lijn). d Overleving na case-control matching van cT3-T4a-patiënten met spierinvasieve blaaskanker die zijn behandeld met NAC (n = 110, rode lijn) of met alleen RC (n = 220, blauwe lijn)
Afbeelding vergroten
Met case-control matching zijn 412 patiënten gekoppeld, van wie 206 die waren behandeld met NAC en 206 die alleen RC ondergingen. De preoperatieve hemoglobinewaarde verschilde significant tussen beide groepen: mediaan 7,2 mmol/l bij patiënten die waren behandeld met NAC versus mediaan 8,4 mmol/l bij patiënten die alleen RC ondergingen (p < 0,01). Patiënten die waren behandeld met NAC ondergingen vaker een RARC (34%) dan patiënten die alleen RC ondergingen (28%) (p = 0,04). Na NAC was vaker sprake van pCR dan na alleen RC, respectievelijk 31 versus 15% (p < 0,01). Na NAC was de vijfjaarsoverleving 60% (95%-BI 53–67) versus 47% (95%-BI 42–56) na alleen RC (p = 0,02). Zie fig. 2b. Bij de patiënten met een cT2-tumor was de vijfjaarsoverleving na NAC 57% (95% BI 48–68) en zonder NAC 56% (95%-BI 48–68; p = 0,97). Bij patiënten met cT3-4a-tumoren was de vijfjaarsoverleving na NAC 61% (95% BI 53–71) en zonder NAC 39% (95%-BI 32–50; p < 0,01). Dit bevestigt de gedachte dat cT3-cT4a-patiënten meer baat hebben van NAC dan cT2-patiënten. Zie fig. 2c en d.

Discussie

ORC versus RARC

Onze studie voegt interessante informatie toe aan de discussie ORC versus RARC bij patiënten met SIBC. Reeds bekend is dat er een vergelijkbaar risico is op perioperatieve complicaties [68, 13]. Bij ORC is sprake van een kortere operatieduur en bij RARC is er minder bloedverlies en kortere opnameduur [58, 13]. Onze studie suggereert dat de overleving op middellange termijn vergelijkbaar is, een uitkomst die voor patiënten van het grootste belang is.
De vijfjaarsoverleving na RARC van 58% in deze studie komt overeen met bevindingen van andere studies waarin deze varieert van 59 tot 65% [9, 23, 24]. Daarentegen is de vijfjaarsoverleving na ORC van 50% slechter dan elders beschreven waardes tussen de 55 en 58% [9, 23, 24]. Dit kan verklaard worden door de inclusie van verschillende patiëntengroepen. Onze studie is een reflectie van de dagelijkse klinische praktijk waarbij geen selectie is geweest op basis van aantal verrichtingen per jaar per ziekenhuis. Daarnaast bevat onze studie meer cN1-patiënten (9% van de ORC-patiënten) dan de andere studies (0–3%) [9, 23, 24]. Bij de enige andere studie die ook cN1-patiënten had geïncludeerd, had 60% van die patiënten NAC gehad, versus 25% in ons cohort [24]. Een opvallende uitkomst uit onze studies is dat NAC vaker werd gegeven in de RARC-groep (tab. 3). Mogelijk dat de ziekenhuizen die vaker RARC uitvoeren ook meer geneigd zijn om NAC te geven. Daarnaast zou het kunnen zijn dat in de latere jaren van het cohort (2014–2015) RARC frequenter werd uitgevoerd en ook meer NAC werd gegeven. We verwachten hiervan een beperkte invloed op de resultaten, gezien de beperkte inlvoed van het type interventie op overleving (tab. 2).

NAC

Eerder hebben gerandomiseerde studies het voordeel van NAC aangetoond bij patiënten met SIBC en NAC wordt dan ook steeds vaker toegepast [1618]. Zo is uit een Amerikaanse analyse gebleken dat in 2010 21% van de patiënten met NAC werd behandeld [25]. Van Europese patiënten hebben we alleen gegevens beschikbaar uit een onderzoek van het Integraal Kankercentrum Nederland; daaruit blijkt dat in 2013 21% van de Nederlandse patiënten met NAC werd behandeld [26]. Men kan stellen dat dit percentage laag is, gezien het absolute overlevingsvoordeel uit gerandomiseerde studies. Echter, mogelijk weegt dit voordeel in overleving voor patiënten niet op tegen de nadelen, zoals nefrotoxiciteit, ototoxiciteit en neuropathie. Daarnaast variëren protocollen per ziekenhuis [27]. Onze studie onderschrijft de toegevoegde waarde van NAC met ‘real-word data’ uit de klinische praktijk in academische én perifere ziekenhuizen in Nederland. Daarmee wordt het belang van NAC voor patiënten, in ieder geval voor patiënten met een cT3-4a tumor, bevestigd.
Het aandeel van 31% pCR van met NAC behandelde patiënten in deze studie is vergelijkbaar met resultaten uit eerdere RCT’s. Bijvoorbeeld, in de SWOG-studie vond men 38% pCR bij patiënten na NAC [20]. In een meta-analyse van 1.734 patiënten uit 12 RCT’s had ongeveer 25% patiënten ypT0 na NAC [28]. Daartegenover staan lagere responspercentages uit twee retrospectieve multicenterstudies waarin pCR-aantallen van 13% en 23% na NAC worden beschreven [14, 18]. Deze resultaten uit observationele studies kunnen tot twijfels leiden over de toegevoegde waarde van NAC in de klinische praktijk. De resultaten uit onze studie onderschrijven echter de uitkomsten van de eerder genoemde gerandomiseerde studies.
Door de goede overleving van pCR-patiënten, met name na NAC, is er een toenemende interesse naar indicatoren om een volledige respons na NAC te voorspellen. Wellicht is het mogelijk een groep patiënten met SIBC te identificeren die blaassparend kan worden behandeld [29]. In onze studie was het niet mogelijk pCR te voorspellen met de klinische parameters leeftijd, geslacht, ASA-score, CCI, preoperatief creatinine en type en aantal voltooide cycli van NAC (tabel niet getoond). Op dit moment wordt in Nederland de PRE-PREVENCYS-studie uitgevoerd, waarin biomarkeranalyses van bloed, urine en weefsels met een re-TUR worden gecombineerd om een pCR te voorspellen [30].
In contrast met de goede overleving na pCR staan de patiënten met RZ na RC. Extra analyse toonde de slechtste vijfjaarsoverleving met 32% (95%-BI 26–39) van patiënten met (y)pT3‑4 en/of (y)pN+. Deze bevindingen suggereren dat er winst te behalen is voor de patiënten met RZ, bijvoorbeeld met adjuvante immunotherapie [31].

Beperkingen

Deze studie is allereerst gelimiteerd door de retrospectieve aard ervan. Verder kan de observationele aard van de studie hebben geleid tot een disbalans in prognostische factoren. Met behulp van multivariabele regressie en case-control matching is geprobeerd het risico op resterende confounding in beide analyses te minimaliseren. Ook kan het ontbreken van informatie over de indicatiestelling van ORC, RARC en NAC invloed hebben op de samenstelling van de cohorten. Daarnaast zijn de beeldvorming en biopten niet centraal gereviseerd, wat interobservervariabiliteit tussen de verschillende centra in de hand werkt. Dergelijke inconsistenties beïnvloeden de uitkomsten van behandelingen en zo ook de nauwkeurigheid van de analyses. Verder is het aannemelijk dat sommige operateurs nog in hun leercurve van het uitvoeren van RARC waren. Ook de opkomst van de technisch uitdagendere maar voor patiënt voordeligere intracorporele aanleg van urinedeviaties kan wellicht leiden tot betere overleving in recentere studies [32].
Sterke punten van deze studie zijn de volledigheid en zorgvuldigheid van de dataverzameling, wat bewerkstelligd is door het aanvullen van de NVU-database met gegevens van de patiëntendossiers en gegevens uit de NKR-database. Daarnaast is deze studie een samenwerking van vijf academische centra en 14 perifere ziekenhuizen, ofwel 19 van de in totaal 47 centra in Nederland die destijds cystectomieën verrichtten. Hierdoor omvat het cohort ongeveer de helft van alle geopereerde patiënten in Nederlands tussen 2011 en 2015. Hiermee achten wij het representatief voor de dagelijkse klinische praktijk in die periode van SIBC in Nederland.

Conclusie

In dit retrospectieve multicenter observationeel cohortonderzoek bleek dat de middellangetermijnoverleving na ORC en RARC vergelijkbaar was. Patiënten met een pCR en pPR hadden op de middellange termijn een betere overleving dan patiënten met RZ. Na NAC en cystectomie hadden meer patiënten een pCR dan patiënten die alleen een RC ondergingen. Na case-control matching hadden patiënten na NAC en cystectomie een betere overleving dan patiënten die cystectomie zonder NAC ondergingen.

Belangenverstrengeling

De auteurs verklaren dat er geen sprake is van belangenverstrengeling. Alle procedures met betrokkenheid van patiënten tijdens de studie waren in overeenstemming met de ethische standaarden van de medisch ethische toetsingscommissie en de Verklaring van Helsinki uit 1964. Informed consent is verkregen van alle individuele deelnemers die in de studie zijn opgenomen.
Open Access This article is licensed under a Creative Commons Attribution 4.0 International License, which permits use, sharing, adaptation, distribution and reproduction in any medium or format, as long as you give appropriate credit to the original author(s) and the source, provide a link to the Creative Commons licence, and indicate if changes were made. The images or other third party material in this article are included in the article’s Creative Commons licence, unless indicated otherwise in a credit line to the material. If material is not included in the article’s Creative Commons licence and your intended use is not permitted by statutory regulation or exceeds the permitted use, you will need to obtain permission directly from the copyright holder. To view a copy of this licence, visit http://creativecommons.org/licenses/by/4.0/.

Publisher’s Note

Springer Nature remains neutral with regard to jurisdictional claims in published maps and institutional affiliations.

drs. Noor van Ginkel

arts-onderzoeker urologie

dr. André N. Vis

uroloog

prof. dr. Joost L. Boormans

uroloog

prof. dr. Henk G. van der Poel

uroloog

drs. Deric K.E. van der Schoot

uroloog

dr. Katja K.H. Aben

uroloog

dr. Tom J.N. Hermans

uroloog

drs. Dennie Meijer

arts-onderzoeker urologie

dr. Jens Voortman

medisch oncoloog

dr. Tom J.H. Arends

uroloog

drs. Peter J. Ausems

uroloog

Dorine Baselmans

klinisch onderzoeker

drs. Christian P.A.M. Berger

uroloog

drs. Anne-Claire Berrens

arts-onderzoeker urologie

drs. Henry Bickerstaffe

uroloog

dr. Siebe D. Bos

uroloog

Marlene Braam

verpleegkundig specialist

dr. K. Tim Buddingh

uroloog

Sebastiaan Claus

aios urologie

Karen Dekker

verpleegkundige

drs. Thomas van Doeveren

aios urologie

drs. Sarah M.H. Einerhand

arts-onderzoeker urologie

drs. Laurent M.C. Laurent Fossion

uroloog

drs. Florentien J. Hinsenveld

arts-onderzoeker

drs. Erik J. van Gennep

uroloog

drs. Lorena A. Grondhuis Palacios

arts-onderzoeker urologie

drs. Mandy M. Hobijn

uroloog

drs. Suzanne H. van Huystee

uroloog

Martinique Jaspers-Valentijn

verpleegkundig specialist

drs. O. Sjoerd Klaver

uroloog

dr. Evert L. Koldewijn

uroloog

drs. Linn Korsten

aios urologie

drs. Anne Lenting

arts-onderzoeker

drs. Koen J. Lentjes

uroloog

dr. Henk B. Luiting

aios urologie

dr. Saskia van der Meer

uroloog

dr. Laura Mertens

uroloog

dr. Jakko A. Nieuwenhuijzen

uroloog

dr. M. Arjen Noordzij

uroloog

drs. Ronald I. Nooter

uroloog

drs. Marije Notenboom

aios radiotherapie

drs. Robert J.A. Oomen

uroloog

dr. Joep G.H. van Roermund

uroloog

Judith de Rooij

verpleegkundig specialist

dr. Hossain Roshani

uroloog

dr. Bart P. Schrier

uroloog

drs. Michelle A. van der Slot

aios urologie

dr. D.M. Rik Somford

uroloog

drs. Piter-Jan Stelwagen

uroloog

Aukje M.A. Stroux

anios urologie

Alwine van der West

aios urologie

drs. Bart P. Wijsman

uroloog

dr. Willemijn A.K.M. Windt

uroloog

drs. Paul van Zanten

uroloog

dr. Sytse C. van Beek

uroloog, klinisch-epidemioloog
Titel
Middellangetermijnoverleving na open versus robotgeassisteerde radicale cystectomie in Nederland: resultaten van de ‘SNAPSHOT’ cystectomie
Auteurs
drs. Noor van Ginkel
dr. André N. Vis
prof. dr. Joost L. Boormans
prof. dr. Henk G. van der Poel
drs. Deric K. E. van der Schoot
dr. Katja K. H. Aben
dr. Tom J. N. Hermans
drs. Dennie Meijer
dr. Jens Voortman
dr. Tom J. H. Arends
drs. Peter J. Ausems
Dorine Baselmans
drs. Christian P. A. M. Berger
drs. Anne-Claire Berrens
drs. Henry Bickerstaffe
dr. Siebe D. Bos
Marlene Braam
dr. K. Tim Buddingh
Sebastiaan Claus
Karen Dekker
drs. Thomas van Doeveren
drs. Sarah M. H. Einerhand
drs. Laurent M. C. Laurent Fossion
drs. Florentien J. Hinsenveld
drs. Erik J. van Gennep
drs. Lorena A. Grondhuis Palacios
drs. Mandy M. Hobijn
drs. Suzanne H. van Huystee
Martinique Jaspers-Valentijn
drs. O. Sjoerd Klaver
dr. Evert L. Koldewijn
drs. Linn Korsten
drs. Anne Lenting
drs. Koen J. Lentjes
dr. Henk B. Luiting
dr. Saskia van der Meer
dr. Laura Mertens
dr. Jakko A. Nieuwenhuijzen
dr. M. Arjen Noordzij
drs. Ronald I. Nooter
drs. Marije Notenboom
drs. Robert J. A. Oomen
dr. Joep G. H. van Roermund
Judith de Rooij, MSc
dr. Hossain Roshani
dr. Bart P. Schrier
drs. Michelle A. van der Slot
dr. D. M. Rik Somford
drs. Piter-Jan Stelwagen
Aukje M. A. Stroux
Alwine van der West, MSc
drs. Bart P. Wijsman
dr. Willemijn A. K. M. Windt
drs. Paul van Zanten
dr. Sytse C. van Beek
Publicatiedatum
13-11-2023
Uitgeverij
Bohn Stafleu van Loghum
Gepubliceerd in
Tijdschrift voor Urologie / Uitgave 8/2023
Print ISSN: 2211-3037
Elektronisch ISSN: 2211-4718
DOI
https://doi.org/10.1007/s13629-023-00409-x
1.
go back to reference Hinsenveld FJ, Boormans JL, van der Poel HG, et al. Intermediate-term survival of robot-assisted versus open radical cystectomy for muscle-invasive and high-risk non-muscle invasive bladder cancer in The Netherlands. Urol Oncol. 2022;40(2):60.e1–e9.
2.
go back to reference Ginkel N van, Hermans TJN, Meijer D, et al. Survival outcomes of patients with muscle-invasive bladder cancer according to pathological response at radical cystectomy with or without neo-adjuvant chemotherapy: a case-control matching study. Int Urol Nephrol. 2022;54:3145–52.CrossRefPubMedPubMedCentral
3.
go back to reference Witjes JA, Bruins HM, Cathomas R, et al. European Association of Urology guidelines on muscle-invasive and metastatic bladder cancer: summary of the 2020 guidelines. Eur Urol. 2021;79(1):82–104.CrossRefPubMed
4.
go back to reference Hubert J, Chammas M, Larre S, et al. Initial experience with successful totally robotic laparoscopic cystoprostatectomy and ileal conduit construction in tetraplegic patients: report of two cases. J Endourol. 2006;20(2):139–43.CrossRefPubMed
5.
go back to reference Khan MS, Gan C, Ahmed K, et al. A Single-centre early phase randomised controlled three-arm trial of open, robotic, and laparoscopic radical cystectomy (CORAL). Eur Urol. 2016;69(4):613–21.CrossRefPubMed
6.
go back to reference Parekh DJ, Messer J, Fitzgerald J, et al. Perioperative outcomes and oncologic efficacy from a pilot prospective randomized clinical trial of open versus robotic assisted radical cystectomy. J Urol. 2013;189(2):474–9.CrossRefPubMed
7.
go back to reference Bochner BH, Dalbagni G, Sjoberg DD, et al. Comparing open radical cystectomy and robot-assisted laparoscopic radical cystectomy: a randomized clinical trial. Eur Urol. 2015;67(6):1042–50.CrossRefPubMed
8.
go back to reference Nix J, Smith A, Kurpad R, et al. Prospective randomized controlled trial of robotic versus open radical cystectomy for bladder cancer: perioperative and pathologic results. Eur Urol. 2010;57(2):196–201.CrossRefPubMed
9.
go back to reference Khan MS, Omar K, Ahmed K, et al. Long-term oncological outcomes from an early phase randomised controlled three-arm trial of open, robotic, and laparoscopic radical cystectomy (CORAL). Eur Urol. 2020;77(1):110–8.CrossRefPubMed
10.
go back to reference Parekh DJ, Reis IM, Castle EP, et al. Robot-assisted radical cystectomy versus open radical cystectomy in patients with bladder cancer (RAZOR): an open-label, randomised, phase 3, non-inferiority trial. Lancet. 2018;391(10139):2525–36.CrossRefPubMed
11.
go back to reference Bochner BH, Dalbagni G, Marzouk KH, et al. Randomized trial comparing open radical cystectomy and robot-assisted laparoscopic radical cystectomy: oncologic outcomes. Eur Urol. 2018;74(4):465–71.CrossRefPubMedPubMedCentral
12.
go back to reference Venkatramani V, Reis IM, Castle EP, et al. Predictors of recurrence, and progression-free and overall survival following open versus robotic radical cystectomy: analysis from the RAZOR trial with a 3-year followup. J Urol. 2020;203(3):522–9.CrossRefPubMed
13.
go back to reference Catto JWF, Reis IM, Castle EP, et al. Effect of robot-assisted radical cystectomy with intracorporeal urinary diversion vs open radical cystectomy on 90-day morbidity and mortality among patients with bladder cancer: a randomized clinical trial. JAMA. 2022;327(21):2092–103.CrossRefPubMedPubMedCentral
14.
go back to reference Hanna N, Leow JJ, Sun M, et al. Comparative effectiveness of robot-assisted vs. open radical cystectomy. Urol Oncol. 2018;36(3);88.e1–e9.
15.
go back to reference Necchi A, Pond GR, Smaldone MC, et al. Robot-assisted versus open radical cystectomy in patients receiving perioperative chemotherapy for muscle-invasive bladder cancer: the oncologist’s perspective from a multicentre study. Eur Urol Focus. 2018;4(6):937–45.CrossRefPubMed
16.
go back to reference Prout GR Jr., Griffin PP, Shipley WU. Bladder carcinoma as a systemic disease. Cancer. 1979;43(6):2532–9.CrossRefPubMed
17.
go back to reference Petrelli F, Coinu A, Cabiddu M, et al. Correlation of pathologic complete response with survival after neoadjuvant chemotherapy in bladder cancer treated with cystectomy: a meta-analysis. Eur Urol. 2014;65(2):350–7.CrossRefPubMed
18.
go back to reference Zargar H, Espiritu PN, Fairey AS, et al. Multicenter assessment of neoadjuvant chemotherapy for muscle-invasive bladder cancer. Eur Urol. 2015;67(2):241–9.CrossRefPubMed
19.
go back to reference Hermans TJN, Voskuilen CS, Deelen M, et al. Superior efficacy of neoadjuvant chemotherapy and radical cystectomy in cT3-4aN0M0 compared to cT2N0M0 bladder cancer. Int J Cancer. 2019;144(6):1453–9.CrossRefPubMed
20.
go back to reference Grossman HB, Natale RB, Tangen CM, et al. Neoadjuvant chemotherapy plus cystectomy compared with cystectomy alone for locally advanced bladder cancer. N Engl J Med. 2003;349(9):859–66.CrossRefPubMed
21.
go back to reference Dindo D, Demartines N, Clavien PA. Classification of surgical complications: a new proposal with evaluation in a cohort of 6336 patients and results of a survey. Ann Surg. 2004;240(2):205–13.CrossRefPubMedPubMedCentral
22.
go back to reference Donders ART, Heijden GJMG van der, Stijnen T, et al. Review: a gentle introduction to imputation of missing values. J Clin Epidemiol. 2006;59(10):1087–91.CrossRefPubMed
23.
go back to reference Gandaglia G, Karl A, Novara G, et al. Perioperative and oncologic outcomes of robot-assisted vs. open radical cystectomy in bladder cancer patients: A comparison of two high-volume referral centers. Eur J Surg Oncol. 2016;42(11):1736–43.CrossRefPubMed
24.
go back to reference Faraj KS, Abdul-Muhsin HM, Rose KM, et al. Robot assisted radical cystectomy vs open radical cystectomy: over 10 years of the Mayo clinic experience. Urol Oncol. 2019;37(12):862–9.CrossRefPubMed
25.
go back to reference Reardon ZD, Patel SG, Zaid HB, et al. Trends in the use of perioperative chemotherapy for localized and locally advanced muscle-invasive bladder cancer: a sign of changing tides. Eur Urol. 2015;67(1):165–70.CrossRefPubMed
26.
go back to reference Hermans TJN, Fransen van de Putte EE, Horenblas S, et al. Perioperative treatment and radical cystectomy for bladder cancer—a population based trend analysis of 10,338 patients in the Netherlands. Eur J Cancer. 2016;54:18–26.CrossRefPubMed
27.
go back to reference Yin M, Joshi M, Meijer RP, et al. Neoadjuvant chemotherapy for muscle-invasive bladder cancer: a systematic review and two-step meta-analysis. Oncologist. 2016;21(6):708–15.CrossRefPubMedPubMedCentral
28.
go back to reference Hoogstraten LMC van, Man CCO, Witjes JA, et al. Low adherence to recommended use of neoadjuvant chemotherapy for muscle-invasive bladder cancer. World J Urol. 2023;41(7):1837–45.CrossRefPubMedPubMedCentral
29.
go back to reference de Ruiter BM, van de Kamp MW, van Steenbergen JPZ, et al. A multicenter retrospective cohort series of muscle-invasive bladder cancer patients treated with definitive concurrent chemoradiotherapy in daily practice. Eur Urol Open Sci. 2022;39:7–13.
30.
go back to reference Hinsenveld FJ, Noordman BJ, Boormans JL, et al. Prediction of pathological response following neoadjuvant chemotherapy in patients with muscle-invasive bladder cancer: the PRE-PREVENCYS trial. Bmc Cancer. 2021;21(1):1161.CrossRefPubMedPubMedCentral
31.
go back to reference Bajorin DF, Witjes JA, Gschwend JE, et al. Adjuvant nivolumab versus placebo in muscle-invasive urothelial carcinoma. N Engl J Med. 2021;384(22):2102–14.CrossRefPubMedPubMedCentral
32.
go back to reference Wijburg CJ, Hannink G, Michels CTJ, et al. Learning curve analysis for intracorporeal robot-assisted radical cystectomy: results from the EAU Robotic Urology Section Scientific Working Group. Eur Urol Open Sci. 2022;39:55–61.