Ga naar de hoofdinhoud
Top

Recalling Tough Times: Exploring the Effect of Acceptance on Autobiographical Memory in Daily Life

  • Open Access
  • 01-02-2024
  • ORIGINAL PAPER
Gepubliceerd in:

Abstract

Objectives

When facing daily negative events, people implement different strategies to regulate ongoing emotions. While the literature suggests that the emotional correlates of an event (i.e., valence and arousal) are linked to the characteristics of its memory, the role of acceptance as an emotion regulation strategy (i.e., an open attitude towards one’s emotional experiences, thoughts, and/or bodily sensations without attempts to control, avoid, or alter them) in mnemonic processes is still largely unknown. The aim of this study was to ecologically explore the effect of using acceptance to deal with a daily unpleasant episode on its subsequent memory

Method

We used an ecological assessment embeded in correlational study design, asking participants (n = 73) to report an unpleasant episode using their smartphone as soon as possible after its occurrence and rate the momentary use of acceptance. To investigate memory phenomenology, two surprise recall tasks were performed 1 week and 1 month after, respectively.

Results

Acceptance significantly moderated the relationship between an event’s emotional intensity and its memory. Specifically, individuals with low levels of acceptance tended to recall more details of highly emotional events. Conversely, people adopting high rates of acceptance retrieved less details as the emotional intensity of the event increased.

Conclusions

We suggest that acceptance may facilitate disengagement from unpleasant life experiences by reducing their recall, thereby constituting an adaptive emotion regulation strategy in activating circumstances.

Preregistration

This study was not preregistered.

Publisher's Note

Springer Nature remains neutral with regard to jurisdictional claims in published maps and institutional affiliations.
If we think back to our past experiences, we might realize that the quality of our memories is different. Some events are blurred and poor in detail, whereas others just come to mind with all the feelings, smells, and sounds experienced during their occurrence. Some of us might highly appreciate the precise positive reminiscing about a sweet childhood memory spontaneously triggered by a sensory element, such as a taste, a color, or a scent. However, at times we might wish to forget the vivid details of a shameful or sad moment experienced in the past.
Autobiographical memories, defined as the set of personal experiences that individuals remember about themselves (Conway, 1987), correspond to the foundation of a person’s coherent sense of self constructed around his/her affective and narrative autobiographical structure (Baumeister & Newman, 1994; Robinson, 1986). Memory phenomenology can be affected by several factors, such as personal involvement, personal motivation (Brown & Kulik, 1977; Gable & Harmon-Jones, 2010; Symons & Johnson, 1997), and, more importantly, the emotional correlates of an event (i.e., valence and arousal) (for a review, see Holland & Kensinger, 2010). Emotionally intense episodes (i.e., high in arousal) are retained more over time and retrieved with much more detail, self-perceived accuracy, and vividness (i.e., visually clear, detailed and lifelike memories) (Anderson et al., 2006; Berntsen, 2002; Cahill & McGaugh, 1995; Phelps & Sharot, 2008). This is because, compared to neutral events, intense situations prompt a deeper and increased elaboration which, in turn, enhances the likelihood to recall richer memories (Stein et al., 2018). In relation to valence, the experience of positive emotions has been shown to enhance the focus on personal self-schemas and promote a more general analysis of an event (Clore & Storbeck, 2006; Clore et al., 2001; Levine & Bluck, 2004), thus leading to a poorer retrieval of central details, and a greater recall of sensorial (i.e., bodily, auditory, tactile, olfactory or gustatory details) and peripheral information (i.e., information that does not change or affect the content of an event) (D’Argembeau et al., 2003; Levine & Bluck, 2004; Talarico et al., 2004, 2009). In contrast, the experience of negative emotions seems to focus one’s attention more on an eliciting stimulus, thus leading to memories with more central details, enhanced vividness, and increased perceived accuracy (Berntsen, 2002; Mickley & Kensinger, 2009; Reisberg & Heuer, 2004; Storbeck & Clore, 2005). Although emotional valence is an important factor, arousal has been found to be a stronger predictor of different memory properties, such as vividness, specificity, durability, and reliving (Ford et al., 2012; Talarico et al., 2004).
More recently, emotion regulation (ER) has been suggested as another variable affecting memory. ER is the ability to implicitly or explicitly modify an emotional state through the use of different strategies (Gross, 2015; Gross & Thompson, 2007). Since it targets and shapes the intensity of ongoing emotions, it is not surprising that ER also shows significant effects on memory.
So far, there is evidence showing that each ER strategy uniquely affects different memory properties, such as confidence (i.e., one’s self-confidence about the accuracy of a recalled event) and vividness (Dillon et al., 2007; Hayes et al., 2011; Richards & Gross, 2000; Richards et al., 2003). Moreover, Pascuzzi and Smorti (2017) argued that the use of specific ER strategies could contribute to the interpretation of life events which, in turn, might influence the construction of an individual’s life narrative. For instance, cognitive reappraisal facilitates a positive interpretation of unpleasant episodes, helping to avoid over-suppression or rumination, while expressive suppression leads to the continuous rehearsal of negative life events. In light of this, the authors conclude that ER strategies may impact the development of one’s life history differently, with cognitive reappraisal being more adaptive for fostering a coherent and healthier self-narrative.
Nonetheless, most of the available literature relies on the use of trait ER questionnaires, thus overlooking the situational nature of the ER process (Colombo et al., 2020). Furthermore, most studies have been conducted in laboratory settings (Dillon et al., 2007; Hayes et al., 2011; Richards & Gross, 2000; Richards et al., 2003), without taking into consideration the fact that the regulation of emotions in naturalistic settings might be different (Colombo et al., 2020; Heininga & Kuppens, 2021). Firstly, ecological studies have emphasized that ER is a situated process, meaning that various contextual, situational, or momentary factors may influence the entire process, including strategy selection. Contrary to the assumption that ER is a stable trait, emerging evidence suggests that it can also be regarded as a state, shaped by the specific characteristics of the environment in which emotions are regulated (Colombo et al., 2020). Secondly, there is a divergence between findings from laboratory-based studies and real-world investigations, underscoring the need to study this process in naturalistic settings (Heininga & Kuppens, 2021) in order to explore additional ER facets and dimensions, such as the temporal dynamics of emotion regulation deployment and the moderating role of contextual factors, which traditional designs may not capture (Colombo et al., 2020). Finally, the prior investigations mainly explored the association between memory and a few ER strategies (Dillon et al., 2007; Hayes et al., 2011; Richards & Gross, 2000; Richards et al., 2003; Vanderveren et al., 2020; Watkins & Teasdale, 2001), such as cognitive reappraisal (i.e., changing the meaning or interpretation of a stimulus in order to modify its emotional impact; Riepenhausen et al., 2022) and emotional suppression (i.e., inhibiting the behavioral expression of ongoing emotions; Tyra et al., 2023). Given the wide range of strategies that people can implement to regulate emotions, there is much left to explore to fully understand the relationship between ER and autobiographical memory.
One of the least studied ER strategies in the field of memory is acceptance. Acceptance refers to an open attitude towards one’s emotional experiences, thoughts and/or bodily sensations without attempts to control, avoid or alter them, even when highly uncomfortable and unpleasant (Gratz & Tull, 2010; Hayes et al., 1999; Williams & Lynn, 2010). Various authors (e.g., Chiesa, 2013) have recognized that this concept is frequently used interchangeably with the concept of mindfulness, creating confusion in the field. Although still under debate (Wojnarowska et al., 2020), most researchers consider acceptance as a specific facet of the broader construct of mindfulness (Williams & Lynn, 2010) that can be measured in various ways (see Baer et al., 2019 for more details).
Acceptance can be considered as a dispositional facet of mindfulness, such as in the Five Facet Mindfulness Questionnaire (Baer et al., 2006), or as part of a single dimension, such as in the Mindful Attention Awareness Scale (Brown & Ryan, 2003). According to Bishop’s two-component model (2004), mindfulness includes (1) the self-regulation of attention, “so that it is maintained on the immediate experience”, and (2) “an orientation towards one’s experience that is characterized by curiosity, openness and acceptance” (Bishop et al., 2004, p. 232). Similarly, the Monitoring and Acceptance Theory (Lindsay & Creswell, 2017, 2019) argues that the mechanisms behind the efficacy of mindfulness-based interventions are both the improvement of the ability to monitor the present moment and the enhancement of an attitude of acceptance towards the experience, thus recognizing acceptance as a critical ER mechanism underlying mindfulness interventions. Finally, acceptance can be also seen as an alternative to experiential avoidance (Hayes et al., 2013)—the result of not cultivating acceptance, defined as the attempt to modify the form, intensity, and/or frequency of an experience (e.g., sensations, thoughts, emotions, or memories) although costly or ineffective for long-term stress coping (Hayes et al., 1996). While there is a growing body of literature examining the effect of mindfulness on memory in general (Dominguez et al., 2022; Levi & Rosenstreich, 2018), and on authobiographical memory specifically (e.g., Dominguez et al., 2022), the unique role of acceptance has been understudied.
As an ER strategy, acceptance has been associated with lower negatively valenced reactions, diminished perceived distress and greater tolerance to sad moods after a negative mood induction (Eifert & Heffner, 2003; Kohl et al., 2012; Webb et al., 2012; Wolgast et al., 2011). Furthermore, extensive empirical research has shown that, compared to other ER strategies (e.g., suppression), the use of acceptance is linked to lower physiological reactions to distressing stimuli (Campbell-Sills et al., 2006; Dan-Glauser & Gross, 2013; Dunn et al., 2009; Troy et al., 2018). Considering its downregulating effect on one’s emotional state when facing a negative-eliciting stimulus (Kohl et al., 2012), acceptance might also play an important role in memory. Likewise, since acceptance encourages the engagement and subsequent rapid disengagement from a negative situation (Lindsay & Creswell, 2019) without actively trying to modify it (Troy et al., 2018), it might also influence its encoding and, therefore, the subsequent memory retrieval. To our knowledge, though, just a few studies tried to address this issue, obtaining contradictory results.
One investigation studied the specific effect of acceptance manipulation on memory in a laboratory-based setting without conclusive results and, although named by the authors as acceptance, the instructions were not operationalized as a purely acceptance-based strategy (Dunn et al., 2009). Indeed, the instructions stated that: “If you do find yourself beginning to evaluate or control your emotional reaction, that is fine—just notice you have done it and then gently move your attention back to observing and accepting your feelings in response to the film” (Dunn et al., 2009, p. 765). These instructions are combining two elements involving (1) a focused attention on the present moment and (2) an orientation towards the experience characterized by openness, non-judgement, and acceptance. Accordingly, these instructions are not purely manipulating acceptance, but rather the broader concept of mindfulness. Moreover, part of the instructions emphasizes the use of emotional expression (e.g., “If the film makes you feel afraid, allow yourself to openly feel your fear and show your fear in your face and body”), which is not usually conceptualized in the definition of acceptance. Finally, the instructions also stress the concept of emotional immersion, which is a debatable component of acceptance, as mentioned by the authors themselves in the article (Dunn et al., 2009, p. 765). Conversely, the laboratory study by Byrne and Kangas (2022) found acceptance to increase recognition memory immediately after watching a distressing clip, but no long-term effects were found (i.e., 1 week). Furthermore, Ruocco and Direkoglu (2013) explored the association between trait acceptance and working memory (i.e., the memory system that temporarily stores and updates information as it becomes accessible; Baddeley, 1992), observing enhanced working memory efficiency in individuals with higher rates of this trait. Nonetheless, to the best of the authors’ knowledge, the effect of acceptance in response to an unpleasant daily event on memory is still an open question.
Autobiographical memories represent the foundation of an individual’s emotional framework and personal narrative (Pascuzzi & Smorti, 2017). Remembering the past not only encompasses retrieving memories, but also re-experiencing the associated emotional states (Mitchell et al., 1997; Wilson & Ross, 2003) to regulate emotions in the present (Bryant, 2003), and guide future decisions (Cowan et al., 2021). Given that specific strategies have shown a positive impact on emotional well-being when coping with daily stressors—facilitating the reappraisal of adverse events and the construction of more coherent life stories (e.g., cognitive reappraisal; Pascuzzi & Smorti, 2017; Riepenhausen et al., 2022), understanding the interaction among ER strategies, unpleasant daily events, and autobiographical memory seems of the utmost importance.
The aim of this study was to ecologically explore the effects of acceptance in response to a daily negative event on memory. To do so, we used an ecological momentary assessment (EMA) design, asking participants to report an unpleasant episode on their smartphone as soon as possible after its occurrence and rate the momentary use of acceptance. To explore memory phenomenology, two surprise recall tasks were performed 1 week and 1 month after, respectively.
In line with previous studies about the potential moderating role of ER (Colombo et al., 2021), and since arousal has been shown to more strongly predict memory richness and vividness than valence (Ford et al., 2012; Talarico et al., 2004), we explored whether acceptance interacted with the arousal of a negative daily event event to predict memory details, while controlling for its negative valence. As acceptance decreases one’s emotional reaction (Kohl et al., 2012) and supports the disengagement from a negative stimuli without any active effort to change its emotional impact (Lindsay & Creswell, 2019; Troy et al., 2018), we hypothesized that an extensive use of this strategy might trigger a decreased elaboration of the event as a function of its emotional intensity, so that higher arousal would be associated with a lower recall of the event’s details. Differently, and consistent with the previous literature (Anderson et al., 2006; Berntsen, 2002; Cahill & McGaugh, 1995; Phelps & Sharot, 2008), we expected that more arousing events would be associated with more recall of details, but only in participants with low versus high use of acceptance.

Method

Participants

The data used in the present study are part of a broader dataset about the use of different ER strategies in response to daily negative events. For the purposes of this study, we only focused on the specific role of acceptance on memory recall.
To the best of our knowledge, no prior study explored the moderating role of acceptance on memory recall. However, the previous findings about the moderating role of other ER strategies (i.e., cognitive reappraisal and rumination) suggested an effect size varying between 0.08 and 0.16, depending on the memory dimension (Colombo et al., 2021). Therefore, if we assume an effect size of 0.12, a significance level of 5%, and a statistical power of 80%, a sample size of 68 participants would be needed. Anticipating potential dropouts, we recruited 73 undergraduate students. The sample was 87.3% female, with a mean age of 21.9 (SD = 3.99).

Procedure

The participants were recruited through fliers and online advertisements to participate in a remunerated study about emotion regulation in daily life. Individuals willing to participate were invited for a first face-to-face meeting to receive a more specific explanation about the investigation and sign the informed consent. Besides, they were provided with a web link in which to report the occurrence of an unpleasant episode. Participants were instructed to report significant negative events as soon as possible after their occurrence, provide a written description, and rate three items assessing event arousal, event valence, and the use of acceptance. During this first meeting, a researcher of the team also provided examples of significant (i.e., affecting one’s mood, thoughts, feelings, and behaviors), negative (i.e., producing unpleasant emotions) events. Furthermore, the participants were reminded about the importance to report specific situations: that is, something taking place in a specific spatial location and in a defined period of time. Participants were not informed about the memory-related aspect of the study, so that they were completely unaware of the real aim of the investigation.
One week after reporting the event, the participants were invited to the laboratory to be remunerated for their participation. During this meeting, a surprise memory recall task was administrated to assess the memory of the event reported in their smartphone. No dropouts were observed; all 73 participants completed the 1-week assessment.
A second surprise memory assessment was also sent through email 1 month after the occurrence of the event. Three reminders were sent to the participants who did not reply to the survey. Since no further remuneration was provided, not all the participants completed the second follow-up (n = 65).

Measures

Momentary Event Assessment

The participants were asked to provide a written description of the episode and the associated time details (i.e., at what time the event happened). This information was used to control for the potential retrospective nature of the assessment. Besides, they were asked to rate the arousal (“On a scale from 0 (not at all) to 100 (completely), how activating is the event?”) and the valence of the event (“On a scale from 0 (not at all) to 100 (completely), how would you rate the negative valence of event?”). Finally, they had to rate the use of acceptance, which was assessed by adapting a previous EMA measure assessing emotion regulation strategies in ecological settings (Cheavens, 2014) (“On a scale from 0 (not at all) to 100 (completely), to what extent are you trying to accept the situation, as well as the unpleasant emotions that you are experiencing?”). It is important to remark that the term “acceptance” is not a synonym of “approval” or “detachment”, since it does not refer to passively let negative emotions exist or be detached from them against one’s values. Rather, acceptance is an essential step of putting equidistance to habitual reactions, helping one discern the best course of action to be followed and, consequently, leading to higher psychological flexibility (i.e., a core functional ability to be fully in touch with the present moment and the inner experience, without defense or need to persist or change it) (Hayes et al., 2006).

1-Week Assessment and 1-Month Memory Assessments

Both follow-up assessments had the same structure. The participants were asked to recall and write down the event, and to complete the Spanish adaptation (Pegalajar et al., 2015) of the Memory Characteristics Questionnaire (MCQ) (Johnson et al., 1988), a self-report measure with good psychometric properties that explores the details of a recalled memory. The MCQ includes five dimensions: (1) clarity (i.e., recall of visual and spatial details); (2) sensory information (i.e., recall of sensory details, except the visual ones); (3) temporal information (i.e., recall of temporal details); (4) emotional involvement (i.e., recall of the intensity of the feelings, the negative valence of the memory, and the implications/consequences of the event); (5) thoughts and feelings (i.e., recall of the qualitative features of the thoughts and feelings associated with the episode, as well as supporting memories). Since the subscale “temporal information” includes items that refer to long-term recalls (e.g., “My memory for the year or season when the event takes place is…”), it was excluded from the analyses of the present study. All subscales had good internal consistency, except for the dimension of sensory details, both at the 1-week (clarity: α = 0.87; sensory information: α = 0.62; emotional involvement: α = 0.78; thoughts and feelings: α = 0.73) and 1-month follow-ups (clarity: α = 0.91; sensory information: α = 0.69; emotional involvement: α = 0.77; thoughts and feelings: α = 0.72).

Data Analyses

The dataset of the present investigation is contained in an open-access file available at https://osf.io/nzfk9/?view_only=1a7a86c9586d4f2fb9c7807f6f84703a.
First, correlation analyses and descriptive statistics were performed to get a first overview of the association among the variables of interest. Second, moderation analyses were carried out to test the main hypothesis of the present study and explore the potential moderating role of acceptance in the relationship between emotional arousal and memory characteristics. To this aim, multivariate linear regressions were conducted including each memory-related dimension as dependent variable in separate models. Before running the regression, we checked the assumptions of the models (i.e., linearity, normality of residuals, homoscedasticity, multicollinearity, outliers, and influential cases). In order to promote transparency, the script of the assumption check is available at https://osf.io/nzfk9/?view_only=1a7a86c9586d4f2fb9c7807f6f84703a. All the assumptions were met, except for the models predicting sensory details. At the 1-week follow-up, we found a non-influential outlier (Cook’s distance < 1) and a light skewness in residuals. At the 1-month follow-up, no outliers were identified, but the light skewness was also present. To address this issue, we also performed log transformations on both regression models. In both cases, the normality was present but the conclusions of the model were not affected (differences in R2 < 0.009, differences in β < 0.06 in significant estimates). Therefore, we concluded that these light deviations from normality were not an issue for both models. Besides, multicollinearity was violated (VIF > 10) in all models for the interaction term, which was assumed as part of moderation analyses.
For all the models, emotional arousal was introduced as a main predictor in a first block, followed by acceptance and their interaction term in the second and third blocks, respectively. This allowed us to calculate whether the inclusion of the interaction term significantly increased the variance explained by the model. Since the valence of an event has been shown to affect memory recall as well, event negativity was included as an independent variable in all the models to neutralize its possible confounding effects. To graphically represent the significant interactions, participants were divided into three groups based on their acceptance scores: high acceptance (+ 1 SD), average acceptance, and low acceptance (− 1 SD).

Results

The descriptive statistics of the main variables of interest are displayed in Table 1. In total, 73 and 65 events were retrieved at the 1-week and 1-month follow-up assessments, respectively. Valence scores were all higher than 50 (M = 86.9, SD = 13.1), which confirms the negative valence of the collected episodes. In general, the participants reported about having an argument with a friend (n = 19), a family member (n = 10), or the partner (n = 13); health-related complains (n = 6); workplace problems (n = 7); object loss or damage (n = 10); or other unexpected events, such as flunking an exam or missing the train (n = 8). Importantly, the mean delay in reporting the event was 385.34 min (SD = 276.36), which indicates a partially retrospective completion of the assessment. Time delay was not significantly associated with the valence (r = 0.074, p = 0.540) or arousal of the events (r =  − 0.107, p = 0.366). Furthermore, no significant correlation was observed between time delay and acceptance use (r =  − 0.014, p = 0.909), as well as between time delay and arousal-acceptance interaction (r =  − 0.111, p = 0.348).
Table 1
Descriptive statistics and correlations of the variables of interest
 
Valence
M = 86.9
SD = 13.1
Arousal
M = 74.8
SD = 18.2
Acceptance
M = 63.7
SD = 26.5
1-week memory assessment (n = 73)
  MCQ clarity
0.244**
 − 0.153
0.078
  MCQ sensory details
 − 0.020
 − 0.091
 − 0.063
  MCQ emotional involvement
0.474***
 − 0.034
0.113
  MCQ thoughts and feelings
0.246**
 − 0.033
 − 0.016
1-month memory assessment (n = 65)
  MCQ clarity
0.164
 − 0.250*
0.071
  MCQ sensory details
 − 0.100
 − 0.184
0.064
  MCQ emotional involvement
0.449***
 − 0.002
 − 0.065
  MCQ thoughts and feelings
0.271**
 − 0.071
 − 0.009
M, mean; SD, standard deviation; MCQ, Memory Characteristics Questionnaire. *p < 0.05; **p < 0.01; ***p < 0.001
Contrary to our expectations, arousal did not correlate with any of the memory measures, except for the 1-month memory clarity. Furthermore, the direction of this association was not consistent with the existing literature, since it revealed that highly arousing events were recalled with less details. Besides, valence significantly correlated with memory-related variables, suggesting that more negatively valenced events were generally recalled with more clarity 1-week after their occurrence, as well as with higher emotional involvement and thoughts and feelings details both at 1-week and 1-month follow-ups. Finally, no significant associations between acceptance deployment and memory characteristics were observed. Interestingly, acceptance did correlate with valence (r = 0.240, p < 0.05) but not with emotional arousal (r = 0.173, p = 0.144), suggesting that the deployment of acceptance to regulate emotions was higher with more negatively valenced events, but not with more activating events.
To verify the main hypothesis, we carried out moderation analyses and checked whether acceptance significantly moderated the association between event arousal and memory while controlling for the negative valence (Table 2).
Table 2
Multivariate linear regressions predicting memory characteristics at 1-week and 1-month assessments. The betas are from the last step of the regression equation
 
MCQ clarity
MQC sensory details
MCQ emotional involvement
MCQ thoughts and feelings
Predictors
β
[95% CI]
ΔR2
β
[95% CI]
ΔR2
β
[95% CI]
ΔR2
β
[95% CI]
ΔR2
1 week
1
Valence
0.206
[− 0.022;0.324]
 
 − 0.022
[− 0.085;0.070]
 
0.506***
[0.150;0.365]
 
0.279*
[0.015;0.221]
 
 
Arousal
0.201
[− 0.192;0.404]
0.058
 − 0.007
[− 0.136;0.132]
0.005
0.199
[− 0.113;0.259]
0.256***
0.643*
[0.049;0.405]
0.069
2
Acceptance
0.560
[− 0.153;0.560]
0.002
0.019
[− 0.157;0.163]
0.014
0.314
[− 0.143;0.301]
0.001
1.12*
[0.060;0.485]
0.007
3
Arousal*Acceptance
 − 0.642
[− 0.007;0.002]
0.022
 − 0.152
[− 0.002;0.002]
0.001
 − 0.302
[− 0.004;0.002]
0.005
 − 1.27**
[− 0.006; − 0.001]
0.086**
1 month
1
Valence
0.133
[− 0.122;0.305]
 
 − 0.056
[− 0.091;0.057]
 
0.507***
[0.147;0.379]
 
0.307*
[0.037;0.230]
 
 
Arousal
0.300
[− 0.187;0.566]
0.077
0.422
[− 0.038;0.224]
0.033
0.405
[− 0.051;0.376]
0.248***
0.788**
[0.082;0.425]
0.084
2
Acceptance
0.937
[− 0.027;0.857]
0.012
1.16*
[0.018;0.325]
0.003
0.578
[− 0.092;0.391]
0.001
1.47**
[0.118;0.520]
0.035
3
Arousal*Acceptance
 − 1.10*
[− 0.011; − 0.001]
0.066*
 − 1.14*
[− 0.004;0.000]
0.071*
 − 0.636
[− 0.005;0.001]
0.022
 − 1.73***
[− 0.007; − 0.002]
0.164***
MCQ, Memory Characteristics Questionnaire. *p < 0.05; **p < 0.01; ***p < 0.001
In relation to the 1-week follow-up, acceptance only significantly moderated the relationship between arousal and the dimension of thoughts and feelings (Fig. 1) (R2 = 0.161, R2adj = 0.112, F (4, 68) = 3271, p < 0.05). Whereas arousal positively correlated with the recall of thoughts and feelings in individuals who barely used acceptance, this association was negative in individuals with moderate or high use of this strategy. In other words, events with higher arousal were recalled with more cognitive details when adopting low levels of acceptance, whereas the pattern was the opposite when acceptance was used to a higher extent.
Fig. 1
Graphical representation of the significant interaction between acceptance and emotional arousal in predicting 1-week memory thoughts and feelings. The continuous line represents individuals with low acceptance scores (− 1 SD), the dashed line depicts participants with average acceptance scores, and the dotted line refers to individuals high in acceptance scores (+ 1 SD)
Afbeelding vergroten
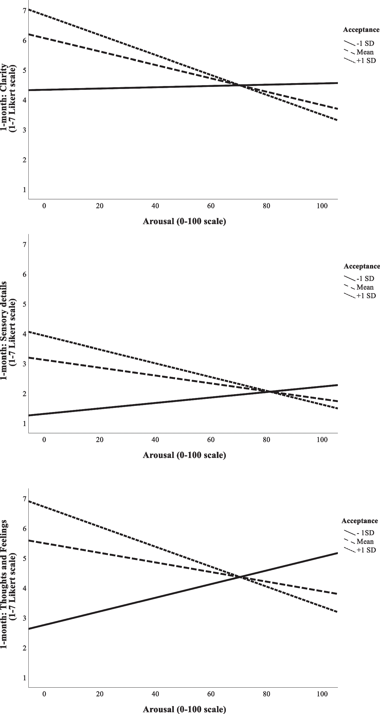
Regarding the 1-month assessment, acceptance significantly interacted with emotional arousal to predict all memory variables, except emotional involvement (Fig. 2). The results were in the same direction as for the 1-week assessment.
Fig. 2
ac Graphical representation of the significant interactions between acceptance and emotional arousal in predicting 1-month memory outcomes. The continuous line represents individuals with low acceptance scores (− 1 SD), the dashed line depicts participants with average acceptance scores, and the dotted line refers to individuals high in acceptance scores (+ 1 SD)
Afbeelding vergroten
Higher arousal was negatively associated with the recall of thoughts and feelings in individuals who used moderate or high levels of acceptance, while this association was positive in individuals with low levels of this strategy. Although similar to the 1-week results, in this case the model explained almost 24% of the variance (R2 = 0.283, R2adj = 0.235, F (4, 60) = 5926, p < 0.001). Besides, arousal was negatively associated with the recall of both visual (R2 = 0.154, R2adj = 0.098, F (4, 60) = 22,740, p < 0.05) and sensory details (R2 = 0.107, R2adj = 0.047, F (4, 60) = 1795, p < 0.05) in individuals with moderate-to-high acceptance deployment, whereas the association was slightly positive in participants who barely used acceptance to regulate emotions. However, the variance explained by the model was much lower.

Discussion

The quality of one’s recall of negative past experiences depends on various factors, among which ER plays a crucial role. Specifically, acceptance is considered an adaptive ER strategy, since its use in response to unpleasant events is associated with lower self-reported distress and diminished physiological arousal (Campbell-Sills et al., 2006; Dan-Glauser & Gross, 2013; Eifert & Heffner, 2003; Kohl et al., 2012; Troy et al., 2018; Webb et al., 2012; Wolgast et al., 2011). In line with the evidence showing that ER might affect memory (Dillon et al., 2007; Hayes et al., 2011; Pascuzzi & Smorti, 2017; Richards & Gross, 2000; Richards et al., 2003), the aim of this study was to ecologically explore for the first time the relationship between the use of acceptance in response to a daily negative event and its memory. Overall, the results of our study shed new light on the understudied relationship between the use of this strategy and autobiographical recall.
First, the positive association between arousal and memory richness supported by the previous literature (Holland & Kensinger, 2010) was not replicated, since the events with higher arousal were not recalled with more details. One potential explanation might be related to the nature of the episodes considered in this study. As a matter of fact, the relationship between arousal and memory has been mainly studied through the analysis of highly impacting events, such as the assassination of Martin Luther King Jr. (Brown & Kulik, 1977) or the terroristic attack on September 11, 2001 (Sharot et al., 2007), which might substantially differ from the arousal of daily unpleasant, yet less significant, events (e.g., having an argument with a friend or missing a train). Conversely, our results showed that the higher the arousal, the lower the recall of visual details. One interpretation could be that high emotional arousal limits attentive capacity, leading the individual to a diminished elaboration and recall of situational details.
Second, our results did not show any significant direct association between acceptance and memory phenomenology. These findings are in line with the study by Dunn et al. (2009), which did not find any significant effect on memory, and with the investigation by Byrne and Kangas (2022), where acceptance was found to predict memory recall immediately after exposure to distressing stimuli, but not 1 week later. As an additional insight, we found that the use of acceptance as an ER strategy moderated the relationship between the emotional intensity of the negative events and their subsequent recall, especially at the 1-month follow-up. Together, our findings suggest that, whereas arousal and memory richness were positively associated when low levels of acceptance were adopted, higher arousal during a negative event was likely to lead to the recall of less visual, sensory, emotional, and cognitive details when the elicited negative emotions were regulated through an extensive use of acceptance. In other words, and consistent with the previous literature (Holland & Kensinger, 2010), the higher the arousal, the greater the recall of memory details, but only when acceptance was low. Conversely, people adopting high rates of acceptance were likely to retrieve less details as the arousal of the event increased.
Consistent with the evidence that less arousing events are usually retrieved with fewer details (Anderson et al., 2006; Berntsen, 2002; Cahill & McGaugh, 1995; Phelps & Sharot, 2008), our results might suggest that intense acceptance deployment significantly decreased one’s arousal, thus also reducing its effect on memory. According to the Acceptance and Commitment Therapy (ACT) framework (Twohig, 2012), during the occurrence of a negative event, the details can still be observed and elaborated, although no emotional reaction is observed. The diminished recall observed in the present study might be due to higher psychological flexibility, a core functional ability to be fully in touch with the present moment and the inner experiences, without defense, need to persist or change it (Hayes et al., 2006). This assumption aligns with a recent article that emphasizes the role of the self in psychological (in)flexibility as a potential transdiagnostic mechanism (Giommi et al., 2023). In their review, Giommi et al. (2023) presented initial evidence highlighting how mindfulness and acceptance may enhance flexibility in self-patterns. The authors mention numerous correlational studies indicating that mindfulness and acceptance have the potential to mitigate the maladaptive relationship among various aspects of the self (e.g., cognitive, reflective, affective, behavioral), thereby creating opportunities for more flexible interactions among them.
A potentially compelling area for future investigations could involve examining whether the reduction in memory details linked to acceptance is connected to a decrease in self-referential processes, particularly in the context of the narrative self. The narrative self can be defined as “[…]a more or less coherent self (or self-image) that is constituted with a past and a future in the various stories that we and others tell about ourselves” (Gallagher, 2000, p. 15). Accordingly, one of the three distinct neural subsystems (i.e., medial temporal lobe subsystem) underlying self-related processes involves retrieving and binding contextual information together with the recall of episodic memories and the anticipation of future events (Giommi et al., 2023). Self-related processes have been already conceptualized as a key mechanism of mindfulness-based interventions, since they produce an attenuation or change in the selfhood (Britton et al., 2021). Acceptance, as a crucial component of mindfulness interventions, might also promote a shifting away from the narrative self which, in turn, might have an effect on autobiographical memory. This assumption goes also in line with the self-referential encoding framework (Rogers et al., 1977), demonstrating that information encoded with reference to the self leaves more robust memory trace (Symons & Johnson, 1997). In our study, the recall of sensory and visual details was significantly moderated by acceptance. Knowing that sensory information plays an important role in shaping the self-concept (being a potent self-specifier in self-referential processes; Gallagher, 2000), our findings seem to support this assumption. However, systematic research that include self-referential measures is needed to verify what are only initial speculations.
It is noteworthy that the best models (i.e., higher explained variance) were those that predicted the recall of the negative feelings and thoughts experienced during the event, rather than the visual, spatial, or sensory details. Since acceptance has been conceptualized as a cognitive strategy (Webb et al., 2012), it is possible that its use has a stronger impact on the internal experience on an individual (e.g., related to decentering), rather than on the encoding of a scene and the associated characteristics. Interestingly, the moderating effect of acceptance was mainly found at the 1-month follow-up assessment, suggesting that the use of this strategy affected autobiographical memories at the long- rather than short-term. Autobiographical memory can be considered as a dynamic process in which individuals continuously revise and update the meaning of their memories by incorporating post-event information “in the service of creating more meaningful, coherent memories that define self, others, and the world” (Fivush & Grysman, 2022, p. 1). Our data seems to show that acceptance might intervene in a later stage of this continuous updating process, promoting the disengagement from negative life events that could negatively affect one’s self-definition.
Since acceptance seems to decrease the recall of autobiographical memories associated with highly arousing and negative events, it could constitute an adaptive ER strategy in activating contexts. Acceptance implies an open attitude towards one’s emotional experiences, thoughts, and/or bodily sensations, even when highly uncomfortable and unpleasant (Gratz & Tull, 2010; Hayes et al., 1999; Williams & Lynn, 2010). In this sense, acceptance has long been considered as an opposite strategy to cognitive reappraisal. While cognitive reappraisal encourages individuals to actively modify the interpretation of an eliciting stimulus in order to shape its emotional impact, acceptance promotes the acknowledgment and openness to one’s current emotional state (Troy et al., 2018). Accordingly, reappraisal has been shown to be associated with more detailed memories (Dillon et al., 2007; Hayes et al., 2011; Richards & Gross, 2000; Richards et al., 2003; Vanderveren et al., 2020; Watkins & Teasdale, 2001), which is opposite to the results observed in this study about acceptance. Since cognitive reappraisal has been shown to be less effective for downregulating negative emotions in highly arousing situations (Langeslag & Surti, 2017) and that people are more prone to select avoidance strategies in such circumstances (e.g., Shafir et al., 2016; Sheppes et al., 2011), acceptance could be considered as a potentially beneficial and adaptive alternative to regulate emotions during challenging events.
A recent theoretical model (i.e., Mindfulness-to-Meaning Theory), however, proposes that acceptance and cognitive reappraisal can also be considered as two complementary strategies (Garland & Fredrickson, 2019). According to the authors, state mindfulness (which also implies acceptance) is necessary to make reappraisal possible. They propose that the practice of mindfulness may produce a mindful state that, in turn, facilitates the positive reappraisal of a stressor, thus reducing one’s stress reaction and the associated downward spirals. Furthermore, the Mindfulness-to-Meaning Theory actually specifies how all those components are interconnected through an iterative cycle of psychological processes, including decentering, attentional broadening, reappraisal, and savoring. All these elements boost meta-awareness states related to self-transcendent positive emotions (e.g., awe, compassion, gratitude), where acceptance is essential for its cultivation. Although acceptance can be considered as a potentially beneficial stand-alone strategy during challenging events, future studies should consider what is the reciprocal interplay between acceptance, reappraisal, and other components of this model when dealing with daily negative events, as well as their effect on memory recall.

Limitations and Future Research

Overall, most of the available literature about ER and memory relies on either laboratory-based experiments or retrospective assessments of past events, without taking into consideration neither the context nor the moment in which an event takes place (Colombo et al., 2020; Heininga & Kuppens, 2021). To the best of the authors’ knowledge, this study is unique in addressing the relationship between acceptance and autobiographical memory in real-life settings. Our findings bring innovative insights to understand the relationship between acceptance and memory, and open up new interesting research lines that can further explore how ER can influence the way people recall past events. Nevertheless, some limitations should also be mentioned.
First, this study uses a correlational design; therefore, the conclusions are limited and cannot be made on a causal level. Future studies using ecological assessments could introduce an experimental manipulation, where during the negative event the participants are invited to follow specific ER instructions in order to downregulate the elicited negative emotions. This would allow to establish the causal effect of ER on autobiographical memory recall.
Second, our study only assessed the use of acceptance, but it is possible that individuals spontaneously implemented other strategies which might have affected memory. Furthermore, assessing one’s ER style might also help understand the complex association between memory and acceptance, since trait ER has been suggested to better predict one’s emotional reaction to distressing stimuli (Byrne & Kangas, 2022). Third, although the assessment of the daily negative events was performed in an ecological way, the mean time between the occurrence of the events and their assessment was of about 6 hr. Therefore, the assessment could be considered as ecological, but partially retrospective. Although it is understandable that filling out the assessment in the middle of a negative event can be difficult, future studies could try to decrease this time gap, thus increasing the ecological validity.
Finally, the highest explained variance among our models was relatively small (i.e., 24%). Therefore, the relationship between acceptance and the recall of a negative event is probably influenced by other variables that were not taken into account in the present investigation. Future studies should consider including other factors that might potentially affect memory, such as an individual’s mood at the time of the recall (i.e., mood congruency theory; Mayer et al., 1995), one’s personal involvement in the negative event (Holland & Kensinger, 2010), or one’s ER self-efficacy beliefs (Tamir & Mauss, 2011). Besides, individual differences in terms of mental imagery skills, such as vividness of visual and embodied imagery, are relevant in understanding state and trait acceptance (Kharlas & Frewen, 2016). In this vein, impaired mental imagery (e.g., low vividness, sensory details, accessibility) can negatively influence autobiographical memory (e.g., overgeneral memory), as observed in depression (Holmes et al., 2016; Szollosi et al., 2015). Accordingly, the role of these variables in memory and their interaction with acceptance should be further investigated.
A further variable of interest could also be inhibitory control, defined as “the ability to suppress inappropriate response or attentional tendencies in order to act appropriately” (Shing et al., 2010, p. 2). Inhibitory control has been shown to play a key role in memory retrieval (Levy & Anderson, 2002) and, more specifically, to be responsible for memory recall failures by excluding unpleasant memories from consciousness (Anderson, 2005; Levy & Anderson, 2002). Interestingly, inhibitory control has been found to increase after brief mindfulness trainings (Pozuelos et al., 2019) and to be predicted by higher mindful awareness (Oberle et al., 2011). Since acceptance is part of the broader construct of mindfulness, inhibitory control capacities might also explain the reduced recall of negative memory details in people with high acceptance deployment. Future studies are needed to clarify the role of these factors on the association between memory and acceptance.
Since this study is exploring basic psychology processes related to acceptance deployment and memory recall in healthy individuals, no specific clinical recommendations can be currently provided. However, the findings of this investigation could be related with a common issue in psychopathology, namely, negative memory bias. Negative memory bias corresponds to a selective recall of negative information, making unpleasant memories more accessible and salient than neutral or positive ones (Gotlib & Joormann, 2010). Although negative memory bias has been mainly studied in depression, recent research supports its transdiagnostic nature (Duyser et al., 2020). A replication of the current findings might bring insights into novel research/clinical pathways to target maladaptive cognitive schemas, such as negative memory bias, through the enhancement of acceptance deployment. Furthermore, future research should explore the potential synergies of integrating both acceptance and cognitive reappraisal strategies (Garland & Fredrickson, 2019) to address negative memory bias. The complementarity arises from targeting both strategies: acceptance, focusing on the process, and cognitive reappraisal, focusing on content. According to the model proposed by Garland and Fredrickson (2019), acceptance could facilitate the positive reappraisal of a stressor, thereby positively influencing subsequent memory.

Declarations

Ethical Approval

The protocol of this study was approved by the ethical committee of Jaume I University, Spain (reference: 16/2018) and has therefore been performed in accordance with the ethical standards laid down in the 1964 Declaration of Helsinki and its later amendments.
All participants signed the informed constent before entering the investigation during first face-to-face meeting at the laboratory.

Conflict of Interest

The authors declare no competing interests.

Use of Artificial Intelligence

The authors declare that no AI tools were used to prepare the present manuscript.
Open Access This article is licensed under a Creative Commons Attribution 4.0 International License, which permits use, sharing, adaptation, distribution and reproduction in any medium or format, as long as you give appropriate credit to the original author(s) and the source, provide a link to the Creative Commons licence, and indicate if changes were made. The images or other third party material in this article are included in the article's Creative Commons licence, unless indicated otherwise in a credit line to the material. If material is not included in the article's Creative Commons licence and your intended use is not permitted by statutory regulation or exceeds the permitted use, you will need to obtain permission directly from the copyright holder. To view a copy of this licence, visit http://creativecommons.org/licenses/by/4.0/.

Publisher's Note

Springer Nature remains neutral with regard to jurisdictional claims in published maps and institutional affiliations.
Titel
Recalling Tough Times: Exploring the Effect of Acceptance on Autobiographical Memory in Daily Life
Auteurs
Desirée Colombo
Maja Wrzesien
Rosa María Baños
Publicatiedatum
01-02-2024
Uitgeverij
Springer US
Gepubliceerd in
Mindfulness / Uitgave 3/2024
Print ISSN: 1868-8527
Elektronisch ISSN: 1868-8535
DOI
https://doi.org/10.1007/s12671-024-02301-0
go back to reference Anderson, M. C. (2005). The role of inhibitory control in forgetting unwanted memories: A consideration of three methods. In N. Ohta, C. M. MacLeod, & B. Uttl (Eds.), Dynamic Cognitive Processes (pp. 159–189). Springer Tokyo. https://doi.org/10.1007/4-431-27431-6_8CrossRef
go back to reference Anderson, A. K., Yamaguchi, Y., Grabski, W., & Lacka, D. (2006). Emotional memories are not all created equal: Evidence for selective memory enhancement. Learning & Memory, 13(6), 711–718. https://doi.org/10.1101/LM.388906CrossRef
go back to reference Baddeley, A. (1992). Working memory. Science, 255(5044), 556–559. https://doi.org/10.1126/science.1736359CrossRefPubMed
go back to reference Baer, R. A., Smith, G. T., Hopkins, J., Krietemeyer, J., & Toney, L. (2006). Using self-report assessment methods to explore facets of mindfulness. Assessment, 13(1), 27–45. https://doi.org/10.1177/1073191105283504CrossRefPubMed
go back to reference Baer, R., Gu, J., Cavanagh, K., & Strauss, C. (2019). Differential sensitivity of mindfulness questionnaires to change with treatment: A systematic review and meta-analysis. Psychological Assessment, 31(10), 1247–1263. https://doi.org/10.1037/pas0000744CrossRefPubMedPubMedCentral
go back to reference Baumeister, R. F., & Newman, L. S. (1994). How stories make sense of personal experiences: Motives that shape autobiographical narratives. Personality and Social Psychology Bulletin, 20(6), 676–690. https://doi.org/10.1177/0146167294206006CrossRef
go back to reference Berntsen, D. (2002). Tunnel memories for autobiographical events: Central details are remembered more frequently from shocking than from happy experiences. Memory & Cognition, 30(7), 1010–1020. https://doi.org/10.3758/bf03194319CrossRef
go back to reference Bishop, S. R., Lau, M., Shapiro, S., Carlson, L., Anderson, N. D., Carmody, J., Segal, Z. V., Abbey, S., Speca, M., Velting, D., & Devins, G. (2004). Mindfulness: A proposed operational definition. Clinical Psychology: Science and Practice, 11(3), 230–241. https://doi.org/10.1093/clipsy.bph077CrossRef
go back to reference Britton, W. B., Desbordes, G., Acabchuk, R., Peters, S., Lindahl, J. R., Canby, N. K., Vago, D. R., Dumais, T., Lipsky, J., Kimmel, H., Sager, L., Rahrig, H., Cheaito, A., Acero, P., Scharf, J., Lazar, S. W., Schuman-Olivier, Z., Ferrer, R., & Moitra, E. (2021). From self-esteem to selflessness: An evidence (gap) map of self-related processes as mechanisms of mindfulness-based interventions. Frontiers in Psychology, 12, 730972. https://doi.org/10.3389/fpsyg.2021.730972CrossRefPubMedPubMedCentral
go back to reference Brown, R., & Kulik, J. (1977). Flashbulb memories. Cognition, 5(1), 73–99. https://doi.org/10.1016/0010-0277(77)90018-XCrossRef
go back to reference Brown, K. W., & Ryan, R. M. (2003). The benefits of being present: Mindfulness and its role in psychological well-being. Journal of Personality and Social Psychology, 84(4), 822. https://doi.org/10.1037/0022-3514.84.4.822CrossRefPubMed
go back to reference Bryant, F. B. (2003). Savoring Beliefs Inventory (SBI): A scale for measuring beliefs about savouring. Journal of Mental Health, 12(2), 175–196. https://doi.org/10.1080/0963823031000103489CrossRef
go back to reference Byrne, A., & Kangas, M. (2022). Emotion regulation and memory in response to a trauma analogue: An online experimental comparison of humor and acceptance. Journal of Contextual Behavioral Science, 24, 23–30. https://doi.org/10.1016/j.jcbs.2022.03.002CrossRef
go back to reference Cahill, L., & McGaugh, J. L. (1995). A novel demonstration of enhanced memory associated with emotional arousal. Consciousness and Cognition, 4(4), 410–421. https://doi.org/10.1006/CCOG.1995.1048CrossRefPubMed
go back to reference Campbell-Sills, L., Barlow, D. H., Brown, T. A., & Hofmann, S. G. (2006). Effects of suppression and acceptance on emotional responses of individuals with anxiety and mood disorders. Behaviour Research and Therapy, 44(9), 1251–1263. https://doi.org/10.1016/J.BRAT.2005.10.001CrossRefPubMed
go back to reference Cheavens, J. S. (2014). Back to basics: A naturalistic assessment of the experience and regulation of emotion. Emotion, 14(5), 878–891. https://doi.org/10.1037/a0037231CrossRefPubMed
go back to reference Chiesa, A. (2013). The difficulty of defining mindfulness: Current thought and critical issues. Mindfulness, 4(3), 255–268. https://doi.org/10.1007/S12671-012-0123-4CrossRef
go back to reference Clore, G. L., & Storbeck, J. (2006). Affect as information about liking, efficacy, and importance. In J. P. Forgas (Ed.), Affect in social thinking and behavior (pp. 123–141). Psychology Press. https://doi.org/10.4324/9780203720752CrossRef
go back to reference Clore, G. L., Wyer, R. S., Dienes, B., Gasper, K., Gohm, C., & Isbell, L. (2001). Affective feelings as feedback: Some cognitive consequences. In L. L. Martin & G. L. Clore (Eds.), Theories of mood and cognition: A user’s guidebook (pp. 27–62). Lawrence Erlbaum Associates Publishers.
go back to reference Colombo, D., Fernández-Álvarez, J., Suso-Ribera, C., Cipresso, P., Valev, H., Leufkens, T., Sas, C., Garcia-Palacios, A., Riva, G., & Botella, C. (2020). The need for change: Understanding emotion regulation antecedents and consequences using ecological momentary assessment. Emotion, 20(1), 30–36. https://doi.org/10.1037/emo0000671CrossRefPubMed
go back to reference Colombo, D., Serino, S., Suso-Ribera, C., Fernández-álvarez, J., Cipresso, P., García-Palacios, A., Riva, G., & Botella, C. (2021). The moderating role of emotion regulation in the recall of negative autobiographical memories. International Journal of Environmental Research and Public Health, 18(13), 7122. https://doi.org/10.3390/IJERPH18137122CrossRefPubMedPubMedCentral
go back to reference Conway, M. A. (1987). Verifying autobiographical facts. Cognition, 26(1), 39–58. https://doi.org/10.1016/0010-0277(87)90013-8CrossRefPubMed
go back to reference Cowan, E. T., Schapiro, A. C., Dunsmoor, J. E., & Murty, V. P. (2021). Memory consolidation as an adaptive process. Psychonomic Bulletin & Review, 28, 1796–1810. https://doi.org/10.3758/S13423-021-01978-XCrossRef
go back to reference D’Argembeau, A., Comblain, C., & van der Linden, M. (2003). Phenomenal characteristics of autobiographical memories for positive, negative, and neutral events. Applied Cognitive Psychology, 17(3), 281–294. https://doi.org/10.1002/acp.856CrossRef
go back to reference Dan-Glauser, E. S., & Gross, J. J. (2013). Emotion regulation and emotion coherence: Evidence for strategy-specific effects. Emotion, 13(5), 832–842. https://doi.org/10.1037/A0032672CrossRefPubMedPubMedCentral
go back to reference Dillon, D. G., Ritchey, M., Johnson, B. D., & LaBar, K. S. (2007). Dissociable effects of conscious emotion regulation strategies on explicit and implicit memory. Emotion, 7(2), 354. https://doi.org/10.1037/1528-3542.7.2.354CrossRefPubMed
go back to reference Dominguez, E., Casagrande, M., & Raffone, A. (2022). Autobiographical memory and mindfulness: A critical review with a systematic search. Mindfulness, 13(7), 1614–1651. https://doi.org/10.1007/s12671-022-01902-xCrossRef
go back to reference Dunn, B. D., Billotti, D., Murphy, V., & Dalgleish, T. (2009). The consequences of effortful emotion regulation when processing distressing material: A comparison of suppression and acceptance. Behaviour Research and Therapy, 47(9), 761–773. https://doi.org/10.1016/j.brat.2009.05.007CrossRefPubMedPubMedCentral
go back to reference Duyser, F. A., van Eijndhoven, P. F. P., Bergman, M. A., Collard, R. M., Schene, A. H., Tendolkar, I., & Vrijsen, J. N. (2020). Negative memory bias as a transdiagnostic cognitive marker for depression symptom severity. Journal of Affective Disorders, 274, 1165–1172. https://doi.org/10.1016/j.jad.2020.05.156CrossRefPubMed
go back to reference Eifert, G. H., & Heffner, M. (2003). The effects of acceptance versus control contexts on avoidance of panic-related symptoms. Journal of Behavior Therapy and Experimental Psychiatry, 34(3–4), 293–312. https://doi.org/10.1016/j.jbtep.2003.11.001CrossRefPubMed
go back to reference Fivush, R., & Grysman, A. (2022). Accuracy and reconstruction in autobiographical memory: (Re)consolidating neuroscience and sociocultural developmental approaches. Wiley Interdisciplinary Reviews: Cognitive Science, 14(3), e1620. https://doi.org/10.1002/wcs.1620CrossRefPubMed
go back to reference Ford, J. H., Addis, D. R., & Giovanello, K. S. (2012). Differential effects of arousal in positive and negative autobiographical memories. Memory, 20(7), 771–778. https://doi.org/10.1080/09658211.2012.704049CrossRefPubMedPubMedCentral
go back to reference Gable, P. A., & Harmon-Jones, E. (2010). The effect of low versus high approach-motivated positive affect on memory for peripherally versus centrally presented information. Emotion, 10(4), 599–603. https://doi.org/10.1037/a0018426CrossRefPubMed
go back to reference Gallagher, S. (2000). Philosophical conceptions of the self: Implications for cognitive science. Trends in Cognitive Sciences, 4(1), 14–21. https://doi.org/10.1016/S1364-6613(99)01417-5CrossRefPubMed
go back to reference Garland, E. L., & Fredrickson, B. L. (2019). Positive psychological states in the arc from mindfulness to self-transcendence: Extensions of the Mindfulness-to-Meaning Theory and applications to addiction and chronic pain treatment. Current Opinion in Psychology, 28, 184–191. https://doi.org/10.1016/j.copsyc.2019.01.004CrossRefPubMedPubMedCentral
go back to reference Giommi, F., Bauer, P. R., Berkovich-Ohana, A., Barendregt, H., Brown, K. W., Gallagher, S., Nyklíček, I., Ostafin, B., Raffone, A., Slagter, H. A., Trautwein, F.-M., & Vago, D. R. (2023). The (in)flexible self: Psychopathology, mindfulness, and neuroscience. International Journal of Clinical and Health Psychology, 23(4), 100381. https://doi.org/10.1016/j.ijchp.2023.100381CrossRefPubMedPubMedCentral
go back to reference Gotlib, I. H., & Joormann, J. (2010). Cognition and depression: Current status and future directions. Annual Review of Clinical Psychology, 6, 285–312. https://doi.org/10.1146/annurev.clinpsy.121208.131305CrossRefPubMedPubMedCentral
go back to reference Gratz, K. L., & Tull, M. T. (2010). Emotion regulation as a mechanism of change in acceptance- and mindfulness-based treatments. In R. A. Baer (Ed.), Assessing mindfulness and acceptance processes in clients: Illuminating the theory and practice of change. Context Press/New Harbinger Publications. https://doi.org/10.1037/a0022144CrossRef
go back to reference Gross, J. J. (2015). Emotion regulation: Current status and future prospects. Psychological Inquiry, 26(1), 1–26. https://doi.org/10.1080/1047840X.2014.940781MathSciNetCrossRef
go back to reference Gross, J. J., & Thompson, R. (2007). Emotion regulation: Conceptual foundations. In J. J. Gross (Ed.), Handbook of emotion regulation (pp. 3–24). The Guilford Press. https://doi.org/10.1080/00140130600971135CrossRef
go back to reference Hayes, S. C., Wilson, K. G., Gifford, E. V., Follette, V. M., & Strosahl, K. (1996). Experiential avoidance and behavioral disorders: A functional dimensional approach to diagnosis and treatment. Journal of Consulting and Clinical Psychology, 64(6), 1152–1168. https://doi.org/10.1037/0022-006x.64.6.1152CrossRefPubMed
go back to reference Hayes, S. C., Strosahl, K. D., & Wilson, K. G. (1999). Acceptance and commitment therapy: An experiential approach to behavior change. Guilford Press.
go back to reference Hayes, S. C., Luoma, J. B., Bond, F. W., Masuda, A., & Lillis, J. (2006). Acceptance and commitment therapy: Model, processes and outcomes. Behaviour Research and Therapy, 44(1), 1–25. https://doi.org/10.1016/j.brat.2005.06.006CrossRefPubMed
go back to reference Hayes, J. P., Morey, R. A., Petty, C. M., Seth, S., Smoski, M. J., McCarthy, G., & LaBar, K. S. (2011). Staying cool when things get hot: Emotion regulation modulates neural mechanisms of memory encoding. Frontiers in Human Neuroscience, 4, 230. https://doi.org/10.3389/fnhum.2010.00230CrossRef
go back to reference Hayes, S. C., Levin, M. E., Plumb-Vilardaga, J., Villatte, J. L., & Pistorello, J. (2013). Acceptance and commitment therapy and contextual behavioral science: Examining the progress of a distinctive model of behavioral and cognitive therapy. Behavior Therapy, 44(2), 180–198. https://doi.org/10.1016/j.beth.2009.08.002CrossRefPubMed
go back to reference Heininga, V. E., & Kuppens, P. (2021). Psychopathology and positive emotions in daily life. Current Opinion in Behavioral Sciences, 39, 10–18. https://doi.org/10.1016/J.COBEHA.2020.11.005CrossRef
go back to reference Holland, A. C., & Kensinger, E. A. (2010). Emotion and autobiographical memory. Physics of Life Reviews, 7(1), 88–131. https://doi.org/10.1016/j.plrev.2010.01.006CrossRefPubMedPubMedCentral
go back to reference Holmes, E. A., Blackwell, S. E., Burnett Heyes, S., Renner, F., & Raes, F. (2016). Mental imagery in depression: Phenomenology, potential mechanisms, and treatment implications. Annual Review of Clinical Psychology, 12, 249–280. https://doi.org/10.1146/annurev-clinpsy-021815-092925CrossRefPubMed
go back to reference Johnson, M. K., Foley, M. A., Suengas, A. G., & Raye, C. L. (1988). Phenomenal characteristics of memories for perceived and imagined autobiographical events. Journal of Experimental Psychology: General, 117(4), 371–376. https://doi.org/10.1037/0096-3445.117.4.371CrossRefPubMed
go back to reference Kharlas, D. A., & Frewen, P. (2016). Trait mindfulness correlates with individual differences in multisensory imagery vividness. Personality and Individual Differences, 93, 44–50. https://doi.org/10.1016/j.paid.2015.09.027CrossRef
go back to reference Kohl, A., Rief, W., & Glombiewski, J. A. (2012). How effective are acceptance strategies? A meta-analytic review of experimental results. Journal of Behavior Therapy and Experimental Psychiatry, 43(4), 988–1001. https://doi.org/10.1016/j.jbtep.2012.03.004CrossRefPubMed
go back to reference Langeslag, S. J. E., & Surti, K. (2017). The effect of arousal on regulation of negative emotions using cognitive reappraisal: An ERP study. International Journal of Psychophysiology, 118, 18–26. https://doi.org/10.1016/j.ijpsycho.2017.05.012CrossRefPubMed
go back to reference Levi, U., & Rosenstreich, E. (2018). Mindfulness and memory: A review of findings and a potential model. Journal of Cognitive Enhancement, 3(3), 302–314. https://doi.org/10.1007/S41465-018-0099-7CrossRef
go back to reference Levine, L. J., & Bluck, S. (2004). Painting with broad strokes: Happiness and the malleability of event memory. Cognition and Emotion, 18(4), 559–574. https://doi.org/10.1080/02699930341000446CrossRef
go back to reference Levy, B. J., & Anderson, M. C. (2002). Inhibitory processes and the control of memory retrieval. Trends in Cognitive Sciences, 6(7), 299–305. https://doi.org/10.1016/S1364-6613(02)01923-xCrossRefPubMed
go back to reference Lindsay, E. K., & Creswell, J. D. (2017). Mechanisms of mindfulness training: Monitor and acceptance theory. Clinical Psychology Review, 51, 48–59. https://doi.org/10.1016/j.cpr.2016.10.011CrossRefPubMed
go back to reference Lindsay, E. K., & Creswell, J. D. (2019). Mindfulness, acceptance, and emotion regulation: Perspectives from monitor and acceptance theory (MAT). Current Opinion in Psychology, 28, 120–125. https://doi.org/10.1016/j.copsyc.2018.12.004CrossRefPubMed
go back to reference Mayer, J. D., McCormick, L. J., & Strong, S. E. (1995). Mood-congruent memory and natural mood: New evidence. Personality and Social Psychology Bulletin, 21(7), 736–746. https://doi.org/10.1177/0146167295217008CrossRef
go back to reference Mickley, K. R., & Kensinger, E. A. (2009). Phenomenological characteristics of emotional memories in younger and older adults. Memory, 17(5), 528–543. https://doi.org/10.1080/09658210902939363CrossRefPubMedPubMedCentral
go back to reference Mitchell, T. R., Thompson, L., Peterson, E., & Cronk, R. (1997). Temporal adjustments in the evaluation of events: The “Rosy View.” Journal of Experimental Social Psychology, 33(4), 421–448. https://doi.org/10.1006/jesp.1997.1333CrossRefPubMed
go back to reference Oberle, E., Schonert-Reichl, K. A., Lawlor, M. S., & Thomson, K. C. (2011). Mindfulness and inhibitory control in early adolescence. The Journal of Early Adolescence, 32(4), 565–588. https://doi.org/10.1177/0272431611403741CrossRef
go back to reference Pascuzzi, D., & Smorti, A. (2017). Emotion regulation, autobiographical memories and life narratives. New Ideas in Psychology, 45, 28–37. https://doi.org/10.1016/j.newideapsych.2016.12.001CrossRef
go back to reference Pegalajar, J., Acosta, A., Castillo, M., Higueras, L., & Padilla, J. L. (2015). Spanish adaptation of the Memory Characteristics Questionnaire (MCQ). The Spanish Journal of Psychology, 18, E101. https://doi.org/10.1017/sjp.2015.91CrossRefPubMed
go back to reference Phelps, E. A., & Sharot, T. (2008). How (and why) emotion enhances the subjective sense of recollection. Current Directions in Psychological Science, 17(2), 147–152. https://doi.org/10.1111/J.1467-8721.2008.00565.xCrossRefPubMedPubMedCentral
go back to reference Pozuelos, J. P., Mead, B. R., Rueda, M. R., & Malinowski, P. (2019). Short-term mindful breath awareness training improves inhibitory control and response monitoring. Progress in Brain Research, 244, 137–163. https://doi.org/10.1016/bs.pbr.2018.10.019CrossRefPubMed
go back to reference Reisberg, D., & Heuer, F. (2004). Memory for emotional events. In D. Reisberg & P. Hertel (Eds.), Memory and emotion (pp. 3–41). Oxford University Press. https://doi.org/10.1093/acprof:oso/9780195158564.003.0001CrossRef
go back to reference Richards, J. M., & Gross, J. J. (2000). Emotion regulation and memory: The cognitive costs of keeping one’s cool. Journal of Personality and Social Psychology, 79(3), 410–424. https://doi.org/10.1037/0022-3514.79.3.410CrossRefPubMed
go back to reference Richards, J. M., Butler, E. A., & Gross, J. J. (2003). Emotion regulation in romantic relationships: The cognitive consequences of concealing feelings. Journal of Social and Personal Relationships, 20(5), 599–620. https://doi.org/10.1177/02654075030205002CrossRef
go back to reference Riepenhausen, A., Wackerhagen, C., Reppmann, Z. C., Deter, H. C., Kalisch, R., Veer, I. M., & Walter, H. (2022). Positive cognitive reappraisal in stress resilience, mental health, and well-being: A comprehensive systematic review. Emotion Review, 14(4), 310–331. https://doi.org/10.1177/17540739221114642CrossRef
go back to reference Robinson, J. A. (1986). Autobiographical memory: A historical prologue. In D. C. Rubin (Ed.), Autobiographical memory (pp. 19–24). Cambridge University Press. https://doi.org/10.1017/cbo9780511558313.005CrossRef
go back to reference Rogers, T. B., Kuiper, N. A., & Kirker, W. S. (1977). Self-reference and the encoding of personal information. Journal of Personality and Social Psychology, 35(9), 677–688. https://doi.org/10.1037/0022-3514.35.9.677CrossRefPubMed
go back to reference Ruocco, A. C., & Direkoglu, E. (2013). Delineating the contributions of sustained attention and working memory to individual differences in mindfulness. Personality and Individual Differences, 54(2), 226–230. https://doi.org/10.1016/j.paid.2012.08.037CrossRef
go back to reference Shafir, T., Tsachor, R. P., & Welch, K. B. (2016). Emotion regulation through movement: Unique sets of movement characteristics are associated with and enhance basic emotions. Frontiers in Psychology, 6, 2030. https://doi.org/10.3389/fpsyg.2015.02030CrossRefPubMedPubMedCentral
go back to reference Sharot, T., Martorella, E. A., Delgado, M. R., & Phelps, E. A. (2007). How personal experience modulates the neural circuitry of memories of September 11. Proceedings of the National Academy of Sciences of the United States of America, 104(1), 389–394. https://doi.org/10.1073/pnas.0609230103CrossRefPubMed
go back to reference Sheppes, G., Scheibe, S., Suri, G., & Gross, J. J. (2011). Emotion-regulation choice. Psychological Science, 22(11), 1391–1396. https://doi.org/10.1177/0956797611418350CrossRefPubMed
go back to reference Shing, Y. L., Lindenberger, U., Diamond, A., Li, S. C., & Davidson, M. C. (2010). Memory maintenance and inhibitory control differentiate from early childhood to adolescence. Developmental Neuropsychology, 35(6), 679–697. https://doi.org/10.1080/87565641.2010.508546CrossRefPubMedPubMedCentral
go back to reference Stein, N. L., Wade, E., & Liwag, M. D. (2018). A theoretical approach to understanding and remembering emotional events. In N. L. Stein, C. J. Brainerd, B. Tversky, & P. A. Ornstein (Eds.), Memory for Everyday and Emotional Events (pp. 15–47). Routledge. https://doi.org/10.4324/9781315789231-2CrossRef
go back to reference Storbeck, J., & Clore, G. L. (2005). With sadness comes accuracy; with happiness, false memory: Mood and the false memory effect. Psychological Science, 16(10), 785–791. https://doi.org/10.1111/j.1467-9280.2005.01615.xCrossRefPubMed
go back to reference Symons, C. S., & Johnson, B. T. (1997). The self-reference effect in memory: A meta-analysis. Psychological Bulletin, 121(3), 371–394. https://doi.org/10.1037/0033-2909.121.3.371CrossRefPubMed
go back to reference Szollosi, Á., Pajkossy, P., & Racsmány, M. (2015). Depressive symptoms are associated with the phenomenal characteristics of imagined positive and negative future events. Applied Cognitive Psychology, 29(5), 762–767. https://doi.org/10.1002/acp.3144CrossRef
go back to reference Talarico, J. M., Labar, K. S., & Rubin, D. C. (2004). Emotional intensity predicts autobiographical memory experience. Memory & Cognition, 32(7), 1118–1132. https://doi.org/10.3758/bf03196886CrossRef
go back to reference Talarico, J. M., Berntsen, D., & Rubin, D. C. (2009). Positive emotions enhance recall of peripheral details. Cognition and Emotion, 23(2), 380–398. https://doi.org/10.1080/02699930801993999CrossRefPubMed
go back to reference Tamir, M., & Mauss, I. B. (2011). Social cognitive factors in emotion regulation: Implications for well-being. In I. Nykliček, A. Vingerhoets, & M. Zeelenberg (Eds.), Emotion regulation and well-being (pp. 31–47). Springer Science + Business Media. https://doi.org/10.1007/978-1-4419-6953-8_3CrossRef
go back to reference Troy, A. S., Shallcross, A. J., Brunner, A., Friedman, R., & Jones, M. C. (2018). Cognitive reappraisal and acceptance: Effects on emotion, physiology, and perceived cognitive costs. Emotion, 18(1), 58–74. https://doi.org/10.1037/emo0000371CrossRefPubMed
go back to reference Twohig, M. P. (2012). Introduction: The basics of acceptance and commitment therapy. Cognitive and Behavioral Practice, 19(4), 499–507. https://doi.org/10.1016/j.cbpra.2012.04.003CrossRef
go back to reference Tyra, A. T., Fergus, T. A., & Ginty, A. T. (2023). Emotion suppression and acute physiological responses to stress in healthy populations: A quantitative review of experimental and correlational investigations. Health Psychology Review, 1–25. https://doi.org/10.1080/17437199.2023.2251559
go back to reference Vanderveren, E., Bijttebier, P., & Hermans, D. (2020). Autobiographical memory coherence in emotional disorders: The role of rumination, cognitive avoidance, executive functioning, and meaning making. PLoS ONE, 15(4), e0231862. https://doi.org/10.1371/journal.pone.0231862CrossRefPubMedPubMedCentral
go back to reference Watkins, E., & Teasdale, J. D. (2001). Rumination and overgeneral memory in depression: Effects of self-focus and analytic thinking. Journal of Abnormal Psychology, 110(2), 353–357. https://doi.org/10.1037/0021-843X.110.2.333CrossRefPubMed
go back to reference Webb, T. L., Miles, E., & Sheeran, P. (2012). Dealing with feeling: A meta-analysis of the effectiveness of strategies derived from the process model of emotion regulation. Psychological Bulletin, 138(4), 775–808. https://doi.org/10.1037/a0027600CrossRefPubMed
go back to reference Williams, J. C., & Lynn, S. J. (2010). Acceptance: An historical and conceptual review. Imagination, Cognition and Personality, 30(1), 5–56. https://doi.org/10.2190/IC.30.1.CCrossRef
go back to reference Wilson, A. E., & Ross, M. (2003). The identity function of autobiographical memory: Time is on our side. Memory, 11(2), 137–149. https://doi.org/10.1080/741938210CrossRefPubMed
go back to reference Wojnarowska, A., Kobylinska, D., & Lewczuk, K. (2020). Acceptance as an emotion regulation strategy in experimental psychological research: What we know and how we can improve that knowledge. Frontiers in Psychology, 11, 242. https://doi.org/10.3389/FPSYG.2020.00242CrossRefPubMedPubMedCentral
go back to reference Wolgast, M., Lundh, L. G., & Viborg, G. (2011). Cognitive reappraisal and acceptance: An experimental comparison of two emotion regulation strategies. Behaviour Research and Therapy, 49(12), 858–866. https://doi.org/10.1016/j.brat.2011.09.011CrossRefPubMed