Ga naar de hoofdinhoud
Top

A Randomized, Controlled, Preliminary Study to Assess the Efficacy of Logic-Based Therapy in Reducing Anxiety and/or Depression in Family Caregivers

  • Open Access
  • 30-11-2023
Gepubliceerd in:

Abstract

This paper analyzes the findings of a preliminary, controlled efficacy study conducted by the National Philosophical Counseling Association of a prominent modality of philosophical counseling, Logic-Based Therapy (LBT). In this study, the latter modality was compared to a mindfulness activity. The study included 20 caretakers randomly divided into experimental and control groups. The hypothesis investigated was that a one-hour LBT session is more effective in reducing the level of (state or trait) anxiety and/or depression in family caregivers than a one-hour mindfulness session. Utilizing data compiled from study participants’ responses to the State Trait Anxiety Inventory and Beck Depression Inventory-II (BDI-2), two-way mixed ANOVA tests on three variables (state anxiety, trait anxiety, and depression (BDI-2) scores) were performed as well as paired analyses yielding the preliminary conclusion (pending a more extensive study) that LBT shows promise as an effective intervention for reducing state anxiety as compared to the control condition, the mindfulness activity.

Publisher's Note

Springer Nature remains neutral with regard to jurisdictional claims in published maps and institutional affiliations.

Introduction

Controlled efficacy studies of philosophical counseling modalities have rarely, if ever, been conducted, yet there is currently an increasing number of counselors who are practicing philosophical counseling and attracting clients. In fact, philosophical counseling has recently been recognized as a new profession in Romania, including development of a master’s degree program (conducted in English) at West University of Timisoara, as a qualification to practice (Hategan, 2022). The rise of philosophical counseling’s popularity suggests an ethical need for counselors and their associations to provide evidence for their practices. To address this gap, the present study investigates whether a one-hour session of a prominent philosophical counseling approach known as Logic-Based Therapy (LBT) is more effective than a one-hour mindfulness session to reduce the level of state anxiety, trait anxiety, and/or depression, in family caregivers.

Key Distinctions Between LBT and REBT

LBT is a dynamic philosophical counseling modality developed by American philosopher Elliot D. Cohen derived from Rational-Emotive Behavior Therapy (REBT), the first form of cognitive-behavior therapy (CBT) created by psychologist Albert Ellis (Cohen, 1987, 1992, 2021; 2017; Ellis, 2001; DiGiuseppe et al., 2013; Carlson & Knaus, 2014; Knaus, 2014). Consisting of six systematic steps, its keynote is that people create their own behavioral and emotional problems by deducing self-defeating conclusions from irrational premises. It is such self-defeating practical inferences that drive self-defeating emotions such as intense anxiety, guilt, anger, and depression.
LBT syllogizes the ABC model of REBT (Cohen, 1987, 1992). While REBT’s ABC model asserts a causal relationship between activating events (A), beliefs (B), and behavioral and emotional consequences (C) wherein A & B jointly cause C, LBT utilizes a model according to which a conclusion is deduced from a set of premises consisting of a rule and an empirical report (Cohen, 2006, 2021).
Accordingly, the model didactically teaches clients to use critical thinking in addressing a list of faulty thinking errors it calls “Cardinal Fallacies,” which may occur in either the report or the rule premise. This list of fallacies includes irrational thinking identified by REBT; however, it also includes other fallacies typically included in treatments of critical thinking such as jumping on the bandwagon, manipulation (well poisoning, appeal to misery, argument of the club, etc.), personal attacks, and stereotyping, among others (Cohen, 2009a; Newhart, 2018).
LBT also introduces a set of guiding virtues based on an Aristotelian analysis, which it systematically pairs to respective Cardinal Fallacies. These virtues include courage, temperance, tolerance, decisiveness, metaphysical security (security about reality), respect for self, others, world, and life; objectivity, empathy, prudence, authenticity, and empowerment, among others (2009b; Cohen, 2021; Guajardo, 2021; Zinaich, 2019).
LBT further distinguishes itself from REBT by introducing a vast number of “uplifting philosophies” from the various philosophic traditions (East and West), which clients can use to interpret their guiding virtues (Chaukar, 2021; Drake, 2017; Du Plessis, 2019; Newhart, 2020; Patteson, 2015).

Six Steps of LBT

According to LBT, all emotions have intentional objects (O) and ratings (R) (Cohen, 2017; Husserl, 2001; Solomon, 1993). For example, in the present study, some caretakers experienced anxiety about not being able to help relieve their patients’ distress (O) because they believed they would be “unworthy” if this were to happen (R). The six-step approach proceeded as follows:
The LBT facilitator helped participants to:
Step 1: Identify O+R through active listening and reflection, using the latter, in turn, to construct the premises of participants’ valid (modus ponens) inferences (“emotional reasoning”) consisting of an evaluative rule and an empirical report:
Rule
If I don’t manage to improve my patient’s situation if she’s in distress, then I won’t be worthy.
Report
If my patient is in distress, I won’t manage to improve her situation.
Conclusion
I won’t be worthy
Step 2: Identify (the fallacy of) self-damnation in the Rule (“I won’t be worthy”) (Ellis, 1975).
Step 3: Refute this fallacy by demonstrating its absurdity. “If not relieving the distress of your patient makes you unworthy, then what about every other caretaker who is not able to relieve the distress of some of their patients? Wouldn’t that make all caretakers unworthy?”.
Step 4: Match an appropriate “guiding virtue” to self-damnation, in this case self-respect (Cohen, 2017; Ellis, 2005).
Step 5: Find a philosophy that frames self-respect in a manner that resonates with participants’ own world views (Cohen, 2007; 2021). For example, religious participants were free to frame self-respect in terms of being a child of God whose unconditional worth emanates from God’s grace. On the other hand, secular participants were free to take non-religious perspectives such as an existential perspective stressing human subjectivity (the conscious capacity to freely choose) as the seat of self-respect. As such, the LBT facilitator did not impose philosophical perspectives on the participants but instead empowered them to pursue their own philosophical lights in aspiring to virtue.
Step 6: Apply participants’ philosophies by developing and acting on a cognitive-behavioral plan. This plan could include such activities as refuting irrational premises, imagery exercises involving contemplating empowering philosophies instead of self-deprecating premises; shame-attacking exercises; risk-taking exercises; linguistic changes (“I am a child of God” instead of “I am unworthy”), among other cognitive-behavioral assignments (Cohen, 2021; DiGuiseppi, 2013). Participants were, accordingly, asked to practice a set of such activities over the course of the next week.
In contrast to REBT, Step 1 of the above process uses the elements of O+R to construct a practical syllogism, which is a deductive argument with two premises, one being empirical, and the other, an evaluative rule (Hardie, 2011). Steps two through four, and Step 6, proceed like REBT. Unique to LBT are Steps 4 and 5, which, respectively, match an appropriate guiding virtue to the fallacy identified, and frame this virtue in terms of a philosophy that resonates with the client’s worldview (Cohen, 2017, 2021).

Method

In the present study a randomized, controlled trial was conducted to study the efficacy of Logic Based Therapy in reducing anxiety and/or depression among caregivers who cared for others who were ill, disabled, frail, or otherwise incapable of caring for themselves. The primary selection criterion was that of being a caregiver, without regard to whether caregivers cared for patients in their homes, in hospital settings, or cared for their own family members. All methods and materials used in the study, including the protocol, the informed consent form signed by each participant, and assessment inventories, were approved by Advarra (n.d.), an independent institutional review board.
The study included 20 caregivers randomly divided (by flip of a coin) into experimental and control groups. Sample size was limited due to inability to recruit more participants for the study (see section on “Challenges to the Present Study”). Participants in the experimental group received a one-hour LBT session while participants in the control group received a one-hour mindfulness session. Pre-test, post-test, and one-week follow-up tests were given to participants in each group. All LBT sessions and mindfulness sessions were conducted by the same facilitator in Italy. This individual was certified in LBT by the National Philosophical Counseling Association (NPCA), having successfully completed a six-week training course, including a practicum, and a Ph.D. in philosophy (NPCA, n.d.).
The hypothesis investigated was that a one-hour LBT session is more effective in reducing the level of state-trait anxiety and/or depression in family caregivers than a one-hour mindfulness session. More specifically, the hypotheses investigated were:
H1
A one-hour LBT session is more effective than a one-hour mindfulness session in reducing the mean state-anxiety score over time in family caregivers.
H2
A one-hour LBT session is more effective than a one-hour mindfulness session in reducing the mean trait-anxiety score over time in family caregivers.
H3
A one-hour LBT session is more effective than a one-hour mindfulness session in reducing the mean depression score over time in family caregivers.

Experimental Group

Participants in this group were informed that LBT is an approach to negative emotions according to which people often upset themselves by deducing self-defeating conclusions from irrational premises; and that the purpose of LBT is to help them (1) identify and overcome these irrational premises; (2) set new positive goals instead; and (3) make constructive life changes in line with these new goals.
Experimental group participants were informed that LBT can be used to try to help people reduce negative emotions arising in contexts of everyday life, such as anxiety, and that it is not the purpose of this study to use it to diagnose or treat mental illness. Following are the (verbatim) instructions the facilitator was given for conducting sessions with experimental group participants:
  • Begin session
    Invite caretaker to discuss a problem related to his or her caretaking responsibilities that is creating significant stress.
  • Take caretaker through the six (6) LBT steps
    Consultant facilitates:
1.
Identification of caretaker’s intentional object, rating of object, and emotional reasoning
 
2.
Identification of irrational [fallacious] premise/s
 
3.
Refutation of the irrational premise/s
 
4.
Identification of guiding virtue/s
 
5.
Caretaker adoption of an uplifting philosophy/ies
 
6.
Caretaker application of philosophy
 
  • Give caretaker daily homework assignment/s that aligns with step 6
    Give caretaker a daily assignment/s to practice applying his or her new philosophy/ies and guiding virtues to his or her life in seeking to overcome caretaking stresses.

Control Group

Control group participants were given a mindfulness exercise consisting of watching a YouTube nature video of nature scenes accompanied by sounds naturally associated with them. Aside from the abundant evidence demonstrating efficacy of mindfulness activities in relieving state anxiety and depression, there is also considerable evidence that stimulation using nature scenes and/or sounds is conducive to relaxation and relief of stress (Hartwell, 2017; Jo et al., 2019a, 2019b; Song, et al., 2021). Accordingly, use of a nature video, as a control in the context of mindfulness practice, appears to provide a meaningful, comparative basis against which to measure the efficacy, or lack thereof, of LBT in reducing stress.
It was explained to the participants that mindfulness is an approach to reducing negative emotions such as anxiety that involves focusing attention on what is happening in the here-and-now, without judging it as good or bad; and that this would allow them to let go of the problems they may be experiencing by keeping their minds focused on the moment. Accordingly, the participants were instructed to calm their minds by focusing their attention on an object in the nature video. Following are the (verbatim) instructions the facilitator was given for conducting the mindfulness session with control group participants:
  • Begin the session
    Ask the caretaker to seat himself/herself comfortably in front of a monitor screen that will display the You Tube nature video. Please preload and test the link in advance and before the caretaker arrives to avoid any technical problems.
  • Give the caretaker the following instructions (5 min):
1.
Seat yourself comfortably in front of the monitor screen that will display the nature video.
 
2.
As soon as the nature video starts, focus your attention on just “seeing” each natural object or collection of natural objects (birds, flowers, turtles, insects, plants, etc.) as it is displayed. Focus your attention on and explore any aspect or aspects of the natural object you want such as the color, shape, size, motion, surrounding environment, relationships to other things in its environment, sounds emitted, music, or any other aspect of the object of experience. It is important that you immerse yourself in the here-and-now experience of the object so that it fills your awareness and there is nothing else but that object occupying your mind.
 
3.
Just observe the objects; do not judge them as good or bad, beautiful or ugly, because this will only distract you from experiencing them as they are, not as you want them to be.
 
4.
While you are focusing on the objects, your mind might start to wander. Thoughts might come into your mind such as problems you are having in your life, past events, or other things that can distract you from focusing on the natural objects. This is not a problem. Simply observe that this is happening and focus your attention back on the objects that are present in the here-and-now.
 
5.
If you become distracted and find yourself unable to focus your attention back on the objects, take a mental break by sitting quietly for a few minutes until you are ready to resume.
 
6.
You will be told when it is time to stop your mindfulness exercise.
 
  • Start the video
  • Stop video in 49 min from start
  • Give caretaker daily homework assignment (1 min)
    Ask the caretaker to continue to practice his or her new mindfulness skill by taking at least a few minutes each day to focus his/her attention on a natural object of his/her choice.

Assessment Measures

All participants were assessed using three inventories:
1.
Beck Depression Inventory -2 (BDI-2)
 
2.
State Trait Anxiety Inventory (STAI)
 
3.
Logic Based Therapy Assessment (LBTA)
 
The LBTA was created specifically to track skills LBT seeks to build. It is not currently a valid instrument, having not before been used. It is therefore not used in assessing the results of the present study.
Both the BDI-2 and STAI were administered to all participants just prior to their sessions (pre-test) and immediately after them (post-test). One week later, follow-up sessions were scheduled in which participants took these two inventories once again to track progress during the week.

Results

The study was conducted with a 2 × 3 mixed factorial design having a between subjects factor of “group” (experimental vs control, i.e. LBT intervention vs. mindfulness exercise) and a repeated measures factor of “time of measurement” (pre-test vs. post-test vs. follow-up). Thus, mixed model two-way ANOVAs were conducted (with type III sum of squares) for all three outcome variables – state anxiety (STAI), trait anxiety (STAI), and depression levels (BDI-2). For each ANOVA analysis, generalized eta-squared (ηG2) effect size was computed (as recommended by Bakeman, 2005; Kline, 2015; Olejnik & Algina, 2003) with 90% confidence intervals. Since effect size estimates, such as generalized eta-squared (ηG2), follow a one-tailed hypothesis test, which means that their obtained value cannot be negative (as compared to other effect size estimates such as Cohen’s d which can be both positive as well as negative), reporting 90% confidence intervals maintains the Type I error rate with the same alpha level α = 0.05 (see Steiger, 2004; Wuensch, 2009, for more detailed discussion).
There were 10 participants in the experimental group and 10 participants in the control group. One participant from the experimental group and two participants from the control group had missing data for the STAI scores (measure for state anxiety & trait anxiety). For BDI-2 scores, two control group participants had missing data, whereas the data from all 10 participants in the experimental group were complete. Since participants with missing data had all observations missing, that is, for all the three time points of measurement, they could not be included in any analyses.

Outlier Detection and Treatment and/or Winsorization

Before the analyses, the variable scores, at different measurement points (pre-test, post-test, and follow-up), were screened for univariate outliers with box & whisker plots. Further, whether these outliers were extreme was identified using the MAD (Median Absolute Deviation) method in ‘Routliers’ package (Delacre & Klein, 2019) as well as Rosner’s Generalized Extreme Studentized Deviate (ESD) test in the ‘EnvStats’ package (Millard, 2013) in R.
The outliers screened & detected through the above methods have been reported in Appendix 1 for state anxiety, trait anxiety, and BDI-2 scores in Tables 11, 12, and 13, respectively.
Winsorization is a robustification procedure used for symmetric modification of extreme values in order to reduce sensitivity of mean and variance to the presence of outliers and to increase statistical efficiency (Ruppert et al., 2006, pp. 8765–8766; Howell, 2009, p. 341). With a small sample size in the current study, in order to retain the power as well as to improve statistical efficiency, Winsorization was favored over removing the extreme scores. Only with respect to BDI-2 scores, however, Winsorizing the data still yielded potential outliers. Hence the analyses on Winsorized data were conducted only for state and trait anxiety scores, respectively, and not for BDI-2 scores.
Since the outlier management strategy was not pre-registered, as per the recommendations of Leys et al., (2019, pp. 7–8), results were also analyzed both with and without including the outliers and have been reported for comparison. Hence, although the subsequent discussions mainly focus on analysis on Winsorized data for state and trait anxiety and with data including the outliers for BDI-2 scores, alternative analysis results obtained by removing or keeping the outliers, respectively (see Appendix 4-6), have also been discussed briefly for the three variables.

Assumptions of Mixed Model ANOVA

Following tests were conducted to confirm the assumptions of mixed model ANOVA: QQ-plots were screened and Shapiro–Wilk normality tests were conducted in order to check the normality of scores as well as normality of residuals. Homoscedasticity was checked using Levene’s test of equality of variances. Homogeneity of covariance matrices was tested using Box’s M–test (Murrar & Brauer, 2018). The assumption of sphericity in repeated measures analyses was satisfied in most cases. When it was violated, Greenhouse–Geisser correction was used to report adjusted degrees of freedom. The results from the above tests of assumptions are presented in Appendix 2 (with Winsorized data for state anxiety and trait anxiety scores, and the original data of BDI-2 scores including the outliers).
Although there were minor violations of the normality assumption (p < 0.05) in state anxiety scores (Winsorized data) of the experimental group at pre-test and follow-up measurements (see Table 14), the QQ-plots and density plots indicated that both the sets of scores were approximately normal. Furthermore, it has been reported that analysis of variance is a robust statistical procedure even with such violations of normality (Howell, 2009, p. 334; Box, 1953; Boneau, 1960). The sphericity assumption was violated in the follow-up one-way ANOVA to test the simple effect of time, where the adjusted degrees of freedom have been reported. All other assumptions were satisfied, indicating the reliability of the model. Similarly, in the analysis of trait anxiety scores (Winsorized data), all the assumptions were satisfied. For BDI-2 scores, however, there were violations of various assumptions (even when outliers were removed). Hence the results from this specific analysis should be interpreted with caution.

Mixed Model ANOVA

STAI (State Anxiety)

The descriptive statistics for the state anxiety scores on the STAI for both groups at different measurements are shown in Table 1.
Table 1
Descriptive statistics (state anxiety)
Measurement
n
M
SD
Experimental group
9
  
 Pre-test
 
37.22
6.72
 Post-test
 
30.00
4.24
 Follow-up
 
29.00
4.18
Control group
8
  
 Pre-test
 
41.75
6.09
 Post-test
 
38.50
8.18
 Follow-up
 
38.13
6.03
The results from the two-way mixed ANOVA conducted on state anxiety scores from the STAI are shown in Table 2.
Table 2
Two-way mixed ANOVA results for state anxiety
Effect
F ratio
df
p
ηG2
ηG2 90% CI
Group
9.81
1, 15
0.007
0.30
[0.03, 0.55]
Time
9.39
2, 30
0.001
0.18
[0.00, 0.36]
Group x time
1.39
2, 30
0.265
0.03
[0.00, 0.07]
Bolding used to highlight significant data
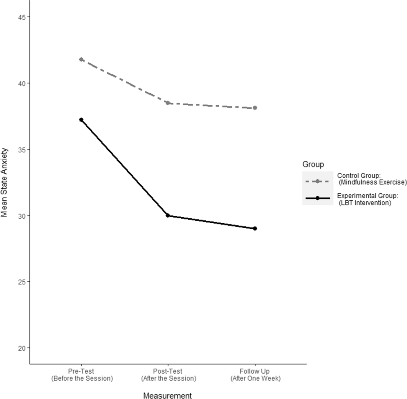
As shown in Table 2, the main effects of both group and time factors were found to be significant. A large effect size was observed for both these effects (Cohen, 1988); however, the 90% CI for the effect of time included the null, and the interaction effect was not significant. Both the significant main effects warranted further interpretation. To understand where exactly the differences were present in the significant main effects, further follow-up tests were conducted (Howell, 2002). Figure 1 shows the interaction plot for the two-way mixed ANOVA.
Fig. 1
Interaction plot for two-way mixed ANOVA (state anxiety)
Afbeelding vergroten
To further analyze the significant main effect of groups, pairwise T-test comparisons were conducted between both groups at each measurement (time point). They are presented in Table 3. The two groups did not have a significant difference at baseline (pre-test). In other words, the state anxiety levels of the experimental and control groups were similar prior to the interventions. However, at post-test, after the LBT intervention, the experimental group showed significantly less state anxiety levels as compared to the control group (p < 0.05), which was engaged in the mindfulness exercise, as a comparable control condition. This difference was even stronger (p < 0.01) at follow-up.
Table 3
Pairwise T-tests with Bonferroni adjustments to p-values: between group comparisons (state anxiety)
Group 1
Group 2
Time
Mean difference
p
95% CI
Lower bound
Upper bound
Experimental
Control
Pre-Test
−4.53
0.168
−11.19
2.14
Experimental
Control
Post-Test
8.50
0.015
15.12
1.89
Experimental
Control
Follow-up
9.13
0.002
14.44
3.81
To also analyze the significant main effect of time, its simple effects in both the groups were computed using one-way repeated measures ANOVAs (Howell, 2002). The results for the same are shown in Table 4. The simple effect of time was found to be significant (p < 0.01) only in the experimental group, also having a large effect size.
Table 4
One-way ANOVAs for simple effects of time in each group (state anxiety)
Group
F ratio
df
p
ηG2
ηG2 90% CI
Experimental
14.80
1.13, 9.03
0.006
0.36
[0.03, 0.58]
Control
1.20
2, 14
0.664
0.06
[0.00, 0.26]
Greenhouse Geisser correction to degrees of freedom was applied in case of non-sphericity. P-values were adjusted with Bonferroni correction
In order to identify whether a significant reduction in state anxiety across time points occurred due to LBT intervention in the experimental group, pairwise comparisons were conducted as shown in Table 5. (The control group pairwise comparisons have also been reported only for the purpose of comparison).
Table 5
Pairwise T-tests with Bonferroni adjustments to p-values: within group comparisons (state anxiety)
Group
Time point 1
Time point 2
Mean difference
p
95% CI
Lower bound
Upper bound
Experimental
Pre-Test
Post-Test
7.22
0.021
1.61
12.84
Experimental
Pre-Test
Follow-up
8.22
0.009
2.63
13.82
Experimental
Post-Test
Follow-up
1.00
0.366
−3.21
5.21
Control
Pre-Test
Post-Test
3.25
0.639
−4.48
10.98
Control
Pre-Test
Follow-up
3.63
0.558
−2.88
10.13
Control
Post-Test
Follow-up
0.38
1.000
−7.33
8.08
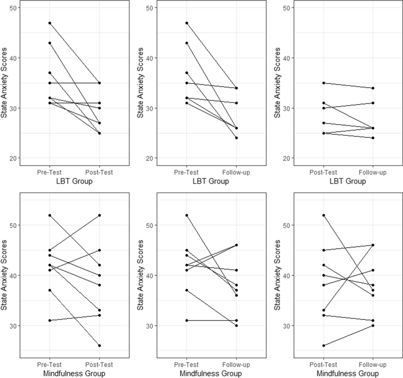
The significant differences in pre-test vs. post-test (p < 0.05), and pre-test vs. follow-up (p < 0.01), in the experimental group, are important to note. Especially, the significant reduction in state anxiety, from the baseline to the follow-up, has promising, positive implications for the LBT intervention. Figure 2 illustrates the before-after plots of individual state-anxiety scores for comparisons between three measurements for both groups. As observed in the plots, a trend of reductions in state anxiety can be observed, especially from pre-test to post-test and pre-test to follow-up, for the LBT intervention group, suggesting improvement in the state-anxiety.
Fig. 2
Before & after Plots for the LBT intervention (experimental) group & mindfulness exercise (control) group between measurements (state anxiety)
Afbeelding vergroten
Taken together, these results suggest that further studies with larger samples, having sufficient power, need to be conducted. In particular, although a significant interaction effect would provide more direct support for LBT’s efficacy in reducing transient anxiety states, i.e. state-anxiety in individuals, the results from the current study are still important in yielding a rationale for LBT as a promising intervention for the same. Still, these results need to be interpreted with caution in the absence of a significant interaction effect as well as the 90% CI of main effect of time including the null.
Similar analysis conducted, removing the outliers from the data, yielded similar results such as above (see Appendix 4). However unlike the above results, when the extreme scores from a single participant across measurements were removed, significant differences for the experimental group (LBT intervention) between time points were not found; possibly indicating the impact of loss of power. Hence further studies with prior sample size calculation may address the current limitations of a small sample, and test further the effectiveness of LBT intervention in reducing state anxiety.

STAI (Trait Anxiety)

The descriptive statistics for the trait anxiety scores on the STAI for both groups at different measurements are shown in Table 6.
Table 6
Descriptive statistics (trait anxiety)
Measurement
n
M
SD
Experimental group
9
  
 Pre-test
 
35.78
7.53
 Post-test
 
36.00
12.17
 Follow-up
 
35.67
6.86
Control group
8
  
 Pre-test
 
44.88
3.52
 Post-test
 
43.63
7.19
 Follow-up
 
40.88
10.13
The results from the two-way mixed ANOVA, conducted on trait anxiety scores from the STAI, are shown in Table 7.
Table 7
Two-way mixed ANOVA results for trait anxiety
Effect
F ratio
df
p
ηG2
ηG2 90% CI
Group
4.68
1, 15
0.047
0.18
[0.00, 0.45]
Time
0.58
2, 30
0.566
0.01
[0.00, 0.08]
Group x time
0.49
2, 30
0.618
0.01
[0.00, 0.07]
It can be observed in Table 6 that the mean scores for trait anxiety in the control group were found to be relatively higher across measurements. On similar lines, the two-way mixed ANOVA (Table 7) indicated a significant main effect of group. However, no effect was found for time as well as interaction. In order to understand where exactly the differences were, between the groups, pairwise comparisons across three measurements were conducted. The results for the same are shown in Table 8.
Table 8
Pairwise T-tests with Bonferroni adjustments to p-values: Between Group Comparisons (Trait Anxiety)
Group 1
Group 2
Time
Mean difference
p
95% CI
Lower bound
Upper bound
Experimental
Control
Pre-Test
−9.10
0.007
−15.31
−2.88
Experimental
Control
Post-Test
−7.63
0.143
−18.14
2.89
Experimental
Control
Follow-up
−5.21
0.229
−14.06
3.64
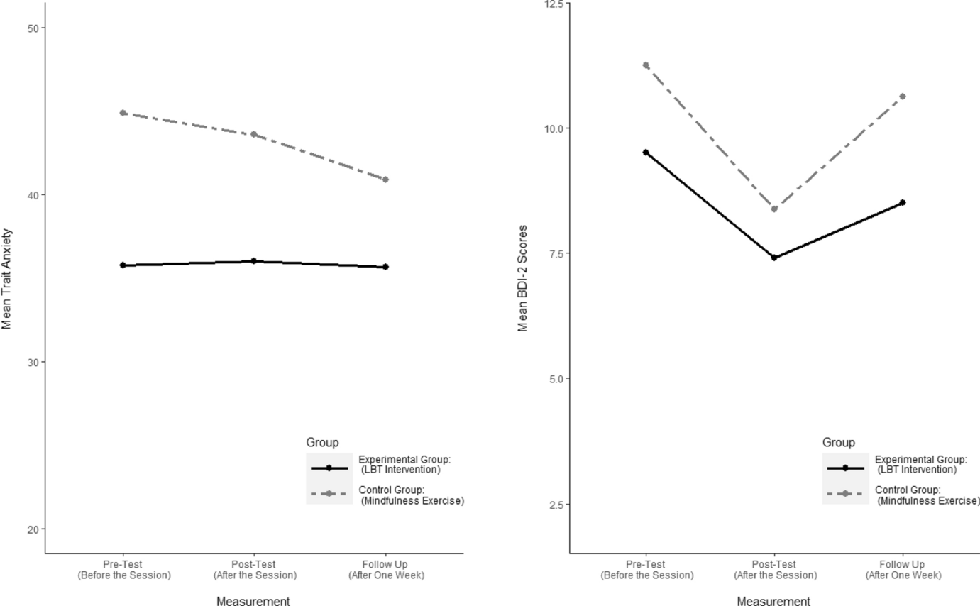
The significant difference between the groups in trait anxiety scores (p < 0.01) was observed only at the baseline. The trait-anxiety remained constant in the LBT group (as one would expect with trait-level factors). Similarly, although there was a steady decline in the control group, it was not significant across measurements. The heightened baseline trait-anxiety in the case of the control group might be the effect of the sample characteristics or some uncontrolled bias; hence this significant difference at baseline between the groups was not interpreted further. The interaction plot for the analysis is presented in Appendix 3 (Fig. 3) for reference.
Other than the significant difference in trait-anxiety between both groups at baseline, the scores of both groups across measurements were in line with the notion that traits are relatively stable characteristics in individuals. This also indicated that the LBT intervention (at least with the design followed in this study, such as the amount of exposure to the intervention) is not as effective in reducing trait anxiety as it is in reducing state anxiety. Further research to test the potential effects of more prolonged exposure to LBT, in reducing trait anxiety, is needed.
The analysis conducted after removing the outliers yielded similar results as the above. The analyses output with and without outlier removal is presented in Appendix 5 for comparison.

BDI-2

The descriptive statistics for the BDI-2 scores for both groups at different measurements are shown in Table 9.
Table 9
Descriptive statistics (BDI-2)
Measurement
n
M
SD
Experimental group
10
  
 Pre-test
 
9.50
8.64
 Post-test
 
7.40
8.06
 Follow-up
 
8.50
7.28
Control group
8
  
 Pre-test
 
11.25
11.13
 Post-test
 
8.38
8.45
 Follow-up
 
10.63
10.51
The results, from the two-way mixed ANOVA conducted on BDI-2 scores, are shown in Table 10.
Table 10
Two-way mixed ANOVA results for BDI-2
Effect
F ratio
df
p
ηG2
ηG2 90% CI
Group
0.16
1, 16
0.695
0.01
[0.00, 0.19]
Time
2.51
2, 32
0.097
0.02
[0.00, 0.09]
Group x time
0.13
2, 32
0.875
0.00
[0.00, 0.00]
As seen in Table 10, neither the main effects (of group or time), nor the interaction effect, were found to be significant—indicating no difference in the LBT and the mindfulness control group to cause improvements in BDI-2 scores across measurements. The interaction plot for this analysis is also presented in Appendix 3 (Fig. 3) for reference.
Similar analysis conducted after removing the outliers provided no different results than the above (see Appendix 6). Both models had various assumptions violated, as stated above, and therefore should be interpreted carefully.
It is also important to note that a total of six scores were identified as extreme cases during outlier detection. Three of these scores were from the experimental group of the same participant who had extreme state anxiety scores across measurements. Due to such a pattern of high scores, these three extreme scores were removed before the analysis. However, three other scores by different participants in the control group (pre-test measurement) were also identified as extreme scores (see Table 13 in Appendix 1). Due to lack of a theoretical rationale for dropping these cases, as well as the limitation of an already small sample size in the control group (n = 8), these outliers were retained in the analysis. Hence the analysis should only be considered for the purpose of comparison.

Discussion

While there appears to be an increasing number of clients seeking out philosophical counselors to help them deal with the stresses of ordinary life, there has been little or no empirical evidence that such counseling modalities have efficacy (Love, 2021). The results of this study strike a consonant chord for the prospects of philosophical counseling in suggesting that LBT, a form of philosophical counseling derived from REBT, may have a positive impact on the level of state anxiety individuals experience due to emotionally challenging life circumstances—in the present case, those experienced by caregivers. However, these preliminary results need to be taken with caution. As noted, the 90% CI for effect size estimates for the significant main effect of time, on state anxiety, did include the null. Additionally, if the interaction effect had been found significant, it would have provided more direct support for the efficacy of the LBT intervention in reducing state anxiety. However, the interaction effect was found to be insignificant, possibly due to an insufficient sample size.
Follow up tests on significant main effects, however, did indicate promise for LBT as an effective intervention for reducing state anxiety. These results included significantly less state anxiety in the LBT group as compared to the mindfulness (control) group at post-test and follow-up – even though both the groups were comparable at baseline. Furthermore, the significant simple effect of time with a large effect size only in the LBT group was also supported by the pairwise comparisons between different measurements indicating a significant decrease in state anxiety from pre-test to post-test as well as pre-test to follow-up. Both these trends, when compared to the control group, provide a supporting rationale for further studies to test the effectiveness of LBT in reducing state anxiety (see Fig. 3).
There was no evidence found, however, for LBT’s efficacy in reducing depression scores on the BDI-2. In fact, baseline scores of both control and experimental groups, except for one participant in the former group and one in the latter group, were in the range of 0 to 13, which is interpreted as “minimal,” meaning below the level of depression (Beck et al., 1996). However, it appears that “the minimal clinically important difference (MCID)” in the BDI-2 is dependent on baseline severity (Button et al., 2015). This suggests that it would be unlikely to find an MCID from such low baseline scores. Hence, needed is a more diversified sample that includes a sufficient number of participants across both control and experimental groups with baseline scores in the range of 14 to 63, which would include levels of depression ranging from mild to severe.
While the results of the present study point to the need for further studies based on larger sample sizes, there is also some qualitative evidence that appears to support the efficacy of LBT. This evidence is provided below.

A New Way of Reasoning

Some participants in the experimental group spoke of “relief due to a new way of reasoning” they had learned in their sessions. Such an expression of “relief,” presumably from the experience of anxiety, is consistent with the fact that state anxiety levels in the experimental group were less than in the control group at both post-test and follow-up.
In this regard, it is significant that the latter result pertains to state assessment, not trait assessment. While the former measures how participants feel at the time (for example, calm, secure, tense, strained), the latter measures how they generally feel (for example, pleasant, nervous, restless, satisfied with themselves, not as happy as others). Indeed, based on the results of the present study, one week of follow-up after an LBT session does not appear to be efficacious in reducing trait anxiety. This may be unremarkable, however, “because in order to replace a habit we need to practice it more often than the old habit and sustain this practice relatively consistently for a period of time” (Wirga et al., 2020, p. 406). Accordingly, subsequent studies could incorporate a more extended time period for participants in the experimental group to practice the skills learned in their LBT sessions before follow-up occurs, for example, several weeks.

Challenges to the Present Study

Randomization in this trial proceeded by way of the facilitator flipping a coin. Once a group reached 10 participants, the remaining participants were assigned to the other group. However, randomization of baseline factors might have produced a more representative sample. For example, some participants in the study worked in hospitals while others were caretakers in homes. While it is not clear that this factor, among others, affected study outcomes, stratified randomization could have been used to randomize such potentially significant factors.
While the number of participants in each group was initially 10, incomplete data among some participants required their elimination, thereby leading to groups with unequal numbers of participants. It is not clear that participants who were missing data varied from other participants in ways that could affect outcomes. For example, one participant reported having forgotten to complete everything. Nevertheless, given the small sample of participants, the elimination of one or two participants from the groups further reduced the statistical power. This challenge can be addressed in the next study with a prior power analysis and a justified sample size. One factor that presented a challenge to achieving the latter was finding participants who were willing to participate in the study. Caregivers who did express an interest often did not follow up. This was the case despite a concerted effort to recruit caregivers for the study across eight different cities in the United States (Northcutt, 2018).
Another consideration has been whether to use a placebo with no apparent therapeutic potential instead of a mindfulness exercise. Inasmuch as this was an initial study of a modality of counseling not previously studied, the use of such a placebo might have been preferrable. In a subsequent study, the latter alteration in protocol could prove to be constructive.
A further issue, arising in the present study, was that some participants spoke Spanish as their native language whereas the inventory questions were in Italian. Although the facilitator offered help with translation, when participants had difficulties with comprehending specific questions, it is not clear whether and to what extent this affected outcomes.
Cultural and subcultural distinctions may have also played a role in outcomes, and it is not clear how generalizable they are across other cultures. Further, since subcultural distinctions (for instance, Hispanic versus non-Hispanic Italians) were not taken as baseline data to be randomized, it is not clear whether this also had an effect on outcomes.

Conclusion

Controlled, efficacy studies have rarely, if ever, been performed on modalities of philosophical counseling. In this study, two-way mixed ANOVA tests were conducted on three variables (state anxiety, trait anxiety, and depression scores) to test the hypothesis that a one-hour LBT session is more effective in reducing the level of (state or trait) anxiety and/or depression in family caregivers than a one-hour mindfulness session.
State anxiety levels were found to be significantly less in the LBT experimental group than the control group at post-test as well as follow-up. There was also a substantial decrease in state anxiety scores due to the LBT intervention across time as found in the statistically significant main effect of time. When this significant main effect was further examined with simple effects in each group, the significant decrease was only found in the group that received LBT (the experimental group). However, these optimistic results should be interpreted with caution; and support from further studies is necessary to reach a strong conclusion, regarding the same, due to factors previously noted in the discussion.
There was no evidence of LBT’s efficacy in reducing trait anxiety. Since traits are relatively stable characteristics acquired over time, further study that includes more extended follow-up may shed further light on whether LBT has efficacy in reducing trait anxiety.
There was also no evidence found for LBT’s efficacy in reducing depression scores on the BDI-2. However, as suggested, this may have been due to failure of the sample to include enough baseline scores that were high enough to show minimal clinically important improvement at post-test and follow-up. Stratified randomization of baseline factors might have produced a more representative sample.
Accordingly, the results of this preliminary study are encouraging regarding the efficacy of LBT to reduce state anxiety. They are also instructive regarding how to arrange further, future investigation into its efficacy.

Declarations

Conflict of interest

Author Elliot D. Cohen is Executive Director of National Philosophical Counseling Association.

Ethical Approval

An independent psychological statistician reviewed the protocol for this study and three independent statisticians analyzed the data. The National Philosophical Counseling Association also retained an independent ethics consultant who advised regarding the ethics of the study.
The study received oversight by a commercial IRB and all subjects provided informed consent.
Open Access This article is licensed under a Creative Commons Attribution 4.0 International License, which permits use, sharing, adaptation, distribution and reproduction in any medium or format, as long as you give appropriate credit to the original author(s) and the source, provide a link to the Creative Commons licence, and indicate if changes were made. The images or other third party material in this article are included in the article's Creative Commons licence, unless indicated otherwise in a credit line to the material. If material is not included in the article's Creative Commons licence and your intended use is not permitted by statutory regulation or exceeds the permitted use, you will need to obtain permission directly from the copyright holder. To view a copy of this licence, visit http://creativecommons.org/licenses/by/4.0/.

Publisher's Note

Springer Nature remains neutral with regard to jurisdictional claims in published maps and institutional affiliations.
Titel
A Randomized, Controlled, Preliminary Study to Assess the Efficacy of Logic-Based Therapy in Reducing Anxiety and/or Depression in Family Caregivers
Auteurs
Elliot D. Cohen
Barbara Piozzini
Chinmay Bapat
Jiuqing Cheng
Pablo Tagore Palma Soza
Vishakha N. Punjani
Himani Chaukar
Publicatiedatum
30-11-2023
Uitgeverij
Springer US
Gepubliceerd in
Journal of Rational-Emotive & Cognitive-Behavior Therapy / Uitgave 3/2024
Print ISSN: 0894-9085
Elektronisch ISSN: 1573-6563
DOI
https://doi.org/10.1007/s10942-023-00532-z

Appendix 1 Outliers

See Tables 11, 12, 13.
Table 11
Outliers detected (State anxiety scores)
State anxiety
Box & Whisker Plot (Screening)
Rosner’s Generalized (ESD) Test
Median Absolute Deviation (MAD)
Direction
Experimental
Pre-test
S532 = 63
S532 = 63
S532 = 63
Higher
Experimental
Post-test
S532 = 56
S532 = 56
S532 = 56
Higher
Experimental
Follow-up
S532 = 50
S532 = 50
S532 = 50
Higher
Control
Pre-test
None
None
None
NA
Control
Post-test
None
None
None
NA
Control
Follow-up
None
None
None
NA
Bold values indicate that the extreme cases have either undergone outlier treatment or Winsorization in the respective analyses
Table 12
Outliers detected (trait anxiety scores)
Trait anxiety
Box & whisker plot (screening)
Rosner’s generalized (ESD) test
Median Absolute Deviation (MAD)
Direction
Experimental
Pre-test
S532 = 63
S532 = 63
S532 = 63
Higher
Experimental
Post-test
None
None
None
NA
Experimental
Follow-up
None
None
None
NA
Control
Pre-test
B013 = 63
None
B013 = 63
Higher
Control
Post-test
B013 = 58
None
None
NA
Control
Follow-up
None
None
None
NA
Bold values indicate that the extreme cases have either undergone outlier treatment or Winsorization in the respective analyses
Table 13
Outliers detected (BDI-2 scores)
Depression (BDI-2) score
Box & whisker plot (Screening)
Rosner’s generalized (ESD) test
Median absolute deviation (MAD)
Direction
Experimental
Pre-test
S532 = 30
S532 = 30
None
Higher
Experimental
Post-test
S532 = 28
S532 = 28
S532 = 28
Higher
Experimental
Follow-up
S532 = 26
S532 = 26
S532 = 26
Higher
Control
Pre-test
B013 = 37
B013 = 37, W431 = 01, LY727 = 02
B013 = 37, W431 = 01, LY727 = 02
1 Higher, 2 Lower respectively
Control
Post-test
B013 = 26
None
None
NA
Control
Follow-up
None
None
None
NA
Bold values indicate that the extreme cases have either undergone outlier treatment or Winsorization in the respective analyses

Appendix 2 Tests of Assumptions Tables

See Tables 14, 15, 16, 17, 18, 19, 20, 21.
Table 14
Shapiro–wilk test of normality (state anxiety scores—winsorized data)
Group
Time
Statistic
p
Experimental
Pre-test
0.824
0.04
Control
Pre-test
0.957
0.79
Experimental
Post-test
0.855
0.08
Control
Post-test
0.991
1.00
Experimental
Follow-up
0.794
0.02
Control
Follow-up
0.925
0.48
Table 15
Levene's test of equality of variances (state anxiety scores—winsorized data)
Time
df
Statistic
p
Pre-test
1, 15
0.401
0.54
Post-test
1, 15
2.460
0.14
Follow-up
1, 15
0.440
0.52
Table 16
Shapiro–wilk test of normality (trait anxiety scores—winsorized data)
Group
Time
Statistic
p
Experimental
Pre-test
0.902
0.26
Control
Pre-test
0.895
0.26
Experimental
Post-test
0.915
0.35
Control
Post-test
0.919
0.42
Experimental
Follow-up
0.911
0.32
Control
Follow-up
0.941
0.62
Table 17
Levene's test of equality of variances (trait anxiety scores—winsorized data)
Time
df
Statistic
p
Pre-test
1, 15
3.410
0.08
Post-test
1, 15
2.070
0.17
Follow-up
1, 15
0.750
0.40
Table 18
Shapiro–wilk test of normality (BDI-2 scores—outliers kept)
Group
Time
Statistic
p
Experimental
Pre-test
0.855
0.07
Control
Pre-test
0.731
 < 0.01
Experimental
Post-test
0.750
 < 0.01
Control
Post-test
0.829
0.06
Experimental
Follow-up
0.846
0.05
Control
Follow-up
0.893
0.25
Table 19
Levene's test of equality of variances (BDI-2 scores—outliers kept)
Time
df
Statistic
p
Pre-Test
1, 16
0.001
0.98
Post-Test
1, 16
0.079
0.78
Follow-up
1, 16
0.943
0.35
Table 20
Shapiro–wilk normality test of residuals
Two-way mixed ANOVA model
Statistic
p
State anxiety (winsorized data)
0.984
0.72
Trait anxiety (winsorized data)
0.978
0.45
BDI-2 (outliers kept)
0.8508
 < 0.001
Table 21
Box's M-test of homogeneity of covariance matrices
Variable
Statistic
P
State anxiety (winsorized data)
0.153
0.696
Trait anxiety (winsorized data)
0.794
0.373
BDI-2 (outliers kept)
1.270
0.260

Appendix 3 Additional Figures—Interaction Plots for Trait Anxiety & BDI-2 Analysis

See Fig. 3.
Fig. 3
Interaction plots for two way mixed ANOVAs: trait anxiety & BDI-2 scores
Afbeelding vergroten

Appendix 4 Alternative Analysis Results (State Anxiety)

4.1. Analysis on State Anxiety Scores with Outliers Dropped from the Data

See Tables 22, 23, 24, 25, 26.
Table 22
Descriptive statistics (state anxiety—outliers removed)
Measurement
n
M
SD
Experimental group
8
   
 Pre-test
 
35.75
6.30
 Post-test
 
29.13
4.29
 Follow-up
 
27.50
5.29
Control group
8
   
 Pre-test
 
41.75
6.09
 Post-test
 
38.50
8.18
 Follow-up
 
38.13
6.03
Table 23
Two-way mixed ANOVA results (state anxiety—outliers removed)
Effect
F ratio
df
p
ηG2
ηG2 90% CI
Group
13.35
1, 14
0.003
0.36
[0.06, 0.61]
Time
7.08
2, 28
0.003
0.17
[0.00, 0.36]
Group x time
1.00
2, 28
0.380
0.03
[0.00, 0.06]
Table 24
Pairwise T-tests with Bonferroni adjustments to p-values: between group comparisons (state anxiety—outliers removed)
Group 1
Group 2
Time
Mean difference
p
95% CI
Lower bound
Upper bound
Experimental
Control
Pre-Test
−6.00
0.073
−12.64
0.64
Experimental
Control
Post-Test
9.38
0.012
16.38
2.37
Experimental
Control
Follow-up
10.63
0.002
16.71
4.54
Table 25
One-way ANOVAs for simple effects of time in each group (state anxiety—outliers removed)
Group
F ratio
df
p
ηG2
ηG2 90% CI
Experimental
8.01
1.22, 8.54
0.036
0.34
[0.00, 0.57]
Control
1.20
2, 14
0.664
0.06
[0.00, 0.26]
Greenhouse Geisser correction to degrees of freedom was applied in case of non-sphericity. P-values were adjusted with Bonferroni correction
Table 26
Pairwise T-tests with Bonferroni adjustments to p-values: within group comparisons (state anxiety—outliers removed)
Group
Time point 1
Time point 2
Mean difference
p
95% CI
Lower bound
Upper bound
Experimental
Pre-Test
Post-Test
6.63
0.090
0.85
12.40
Experimental
Pre-Test
Follow-up
8.25
0.056
2.01
14.49
Experimental
Post-Test
Follow-up
1.63
0.462
−3.54
6.79
Control
Pre-Test
Post-Test
3.25
0.639
−4.48
10.98
Control
Pre-Test
Follow-up
3.63
0.558
−2.88
10.13
Control
Post-Test
Follow-up
0.38
1.000
−7.33
8.08

4.2. Analysis on State Anxiety Scores with Outliers Kept in the Data

See Tables 27, 28, 29, 30.
Table 27
Descriptive statistics (state anxiety—outliers kept)
Measurement
n
M
SD
Experimental group
9
   
 Pre-test
 
38.78
10.83
 Post-test
 
32.11
9.82
 Follow-up
 
30.00
8.99
Control group
8
   
 Pre-test
 
41.75
6.09
 Post-test
 
38.50
8.18
 Follow-up
 
38.13
6.03
Table 28
Two-way mixed ANOVA results (state anxiety—outliers kept)
Effect
F ratio
df
p
ηG2
ηG2 90% CI
Group
2.41
1, 15
0.141
0.12
[0.00, 0.39]
Time
8.39
2, 30
0.001
0.10
[0.00, 0.26]
Group x time
1.34
2, 30
0.277
0.02
[0.00, 0.10]
Table 29
One-way ANOVAs for simple effects of time in each group (state anxiety—outliers kept)
Group
F ratio
df
p
ηG2
ηG2 90% CI
Experimental
10.82
1.27, 10.16
0.012
0.14
[0.00, 0.37]
Control
1.20
2, 14
0.664
0.06
[0.00, 0.26]
Greenhouse Geisser correction to degrees of freedom was applied in case of non-sphericity. P-values were adjusted with Bonferroni correction
Table 30
Pairwise T-tests with Bonferroni adjustments to p-values: within group comparisons (state anxiety—outliers kept)
Group
Time point 1
Time point 2
Mean difference
p
95% CI
Lower bound
Upper bound
Experimental
Pre-Test
Post-Test
6.67
0.044
3.66
16.99
Experimental
Pre-Test
Follow-up
8.78
0.021
1.16
18.72
Experimental
Post-Test
Follow-up
2.11
0.217
−7.29
11.52
Control
Pre-Test
Post-Test
3.25
0.639
−4.48
10.98
Control
Pre-Test
Follow-up
3.63
0.558
−2.88
10.13
Control
Post-Test
Follow-up
0.38
1.000
−7.33
8.08

Appendix 5 Alternative Results (Trait Anxiety)

5.1. Analysis on Trait Anxiety Scores with Outliers Dropped from the Data

See Tables 31, 32, 33.
Table 31
Descriptive statistics (trait anxiety—outliers removed)
Measurement
n
M
SD
Experimental group
8
   
 Pre-test
 
34.25
6.84
 Post-test
 
34.00
11.31
 Follow-up
 
34.00
5.01
Control group
7
   
 Pre-test
 
43.43
5.00
 Post-test
 
41.57
4.58
 Follow-up
 
39.14
9.58
Table 32
Two-way mixed ANOVA results (trait anxiety—outliers removed)
Effect
F ratio
df
p
ηG2
ηG2 90% CI
Group
5.99
1, 13
0.029
0.21
[0.00, 0.50]
Time
0.54
2, 26
0.591
0.02
[0.00, 0.11]
Group x time
0.43
2, 26
0.655
0.01
[0.00, 0.09]
Table 33
Pairwise T-tests with Bonferroni adjustments to p-values: between group comparisons (trait anxiety—outliers removed)
Group 1
Group 2
Time
Mean difference
p
95% CI
Lower bound
Upper bound
Experimental
Control
Pre-Test
9.18
0.012
15.95
2.40
Experimental
Control
Post-Test
−7.57
0.123
−17.48
2.34
Experimental
Control
Follow-up
−5.14
0.207
−13.50
3.22

5.2. Analysis on Trait Anxiety Scores with Outliers Kept in the Data

See Tables 34, 35.
Table 34
Descriptive statistics (Trait anxiety—outliers kept)
Measurement
n
M
SD
Experimental group
9
   
 Pre-test
 
37.44
11.52
 Post-test
 
36.00
12.17
 Follow-up
 
35.67
6.86
Control group
8
   
 Pre-test
 
45.88
8.32
 Post-test
 
43.63
7.19
 Follow-up
 
40.88
10.13
Table 35
Two-way mixed ANOVA results (trait anxiety—outliers kept)
Effect
F ratio
df
p
ηG2
ηG2 90% CI
Group
3.04
1, 15
0.102
0.13
[0.00, 0.40]
Time
1.41
2, 30
0.260
0.02
[0.00, 0.12]
Group x time
0.34
2, 30
0.712
0.01
[0.00, 0.03]

Appendix 6 Alternative Results (BDI-2)

With a Pattern of Extreme Scores (Outliers) in Experimental Group Dropped from the Data

See Tables 36, 37.
Table 36
Descriptive statistics (BDI-2—Outliers removed)
Measurement
n
M
SD
Experimental group
9
   
 Pre-Test
 
7.22
5.07
 Post-Test
 
5.11
3.76
 Follow-up
 
6.56
4.13
Control group
8
   
 Pre-Test
 
11.25
11.13
 Post-Test
 
8.38
8.45
 Follow-up
 
10.63
10.51
Table 37
Two-way mixed ANOVA results (BDI-2—Outliers removed)
Effect
F ratio
df
p
ηG2
ηG2 90% CI
Group
1.22
1, 15
0.287
0.07
[0.00, 0.32]
Time
2.38
2, 30
0.110
0.02
[0.00, 0.12]
Group x time
0.07
2, 30
0.930
0.00
[0.00, 0.00]
go back to reference Bakeman, R. (2005). Recommended effect size statistics for repeated measures designs. Behavior Research Methods, 37(3), 379–384. https://doi.org/10.3758/bf03192707CrossRefPubMed
go back to reference Beck, A. T., Steer, R. A., & Brown, G. K. (1996). Manual for the beck depression inventory-II. Psychological Corporation.
go back to reference Boneau, C. A. (1960). The effects of violations of assumptions underlying the T test. Psychological Bulletin, 57(1), 49–64. https://doi.org/10.1037/h0041412CrossRefPubMed
go back to reference Box, G. E. (1953). Non-normality and tests on variances. Biometrika, 40(3/4), 318. https://doi.org/10.2307/2333350CrossRef
go back to reference Button, K. S., Kounali, D., Thomas, L., Wiles, N. J., Peteers, T. J., Welton, N. J., Ades, A. E., & Lewis, G. (2015). Minimal clinically important difference on the beck depression inventory - II according to the patient’s perspective. Psychological Medicine, 45(15), 3269–3279. https://doi.org/10.1017/S0033291715001270CrossRefPubMedPubMedCentral
go back to reference Chaukar, H. (2021). Constructing Indian philosophical antidotes for the cardinal fallacies. International Journal of Philosophical Practice, 7(1), 41–60. https://doi.org/10.5840/ijpp2021714CrossRef
go back to reference Cohen, E. D. (1987). Use of syllogism in rational-emotive therapy. Journal of Counseling & Development, 66(1), 37–39.CrossRef
go back to reference Cohen, J. (1988). Statistical power analysis for the behavioral sciences (2nd ed.). Lawrence Earlbaum associates.
go back to reference Cohen, E. D. (1992). Syllogizing RET: Applying formal logic in rational-emotive therapy. Journal of Rational-Emotive & Cognitive Behavior Therapy, 10(4), 235–252.CrossRef
go back to reference Cohen, E. D. (2009). The new rational therapy: Thinking your way to serenity, success, and profound happiness. Rowman & Littlefield.
go back to reference Cohen, E. D. (2009). Critical thinking unleashed: Elements of philosophy. Rowman & Littlefield.
go back to reference Cohen, E. D. (2017). Logic-based therapy and everyday emotions: A case-based approach. Lexington Books.
go back to reference Cohen, E. D. (2021). Cognitive-behavioral Interventions for self-defeating thoughts: Helping clients to overcome the tyranny of “I can’t.” Routledge.CrossRef
go back to reference Cohen, E.D. (2006) Logic-based therapy: The new philosophical frontier for REBT. REBT network. http://www.rebtnetwork.org/essays/logic.html
go back to reference Delacre, M. & Klein, O. (2019). Routliers: Robust outliers detection. R package version 0.0.0.3. CRAN.R-project.org/package=Routliers
go back to reference DiGuiseppi, J. (2013). A practitioner’s guide to rational emotive behavior therapy (3rd ed.). Oxford University Press.CrossRef
go back to reference Drake, K.M. (2017). Demystification: An identity focused revision to logic-based therapy (Doctoral thesis, Texas A & M University, College Station, U.S.). Retrieved from https://oaktrust.library.tamu.edu/bitstream/handle/1969.1/165876/DRAKE-DISSERTATION-2017.pdf?sequence=1&isAllowed=y
go back to reference Ellis, A. (1975). A new guide to rational living. Prentice-Hall.
go back to reference Ellis, A. (2001). New directions for rational-emotive behavior therapy: Overcoming destructive beliefs, feelings, and behaviors. Prometheus Books.
go back to reference Ellis, A. (2005). The myth of self-esteem: How rational emotive behavior therapy can change your life forever. Prometheus Books.
go back to reference Fox, J., & Weisberg, S. (2019). An R companion to applied regression (3rd ed.). USA: SAGE Publications.
go back to reference Guajardo, I. (2021). Self-love in logic-based therapy. International Journal of Philosophical Practice, 7(1), 61–78. https://doi.org/10.5840/ijpp2021715CrossRef
go back to reference Hardie, W. F. R. (2011). Note on the practical syllogism, Aristotle’s ethical theory (online). USA: Oxford Academic.
go back to reference Hartwell, C. (2017). Researchers reveal how sounds of nature relax the brain. USA: Study Finds.
go back to reference Hategan, V. (2022). Philosophical counseling: A new profession in Romania. Interdisciplinary Research in Counseling, Ethics, and Philosophy, 2(4), 17–27.CrossRef
go back to reference Howell, D. C. (2009). Statistical methods for psychology (7th ed.). Wadsworth Cengage Learning Inc.
go back to reference Howell, D. C. (2002). Multiple comparisons with repeated measures. Multiple comparisons with repeated measures. Retrieved October 20, 2021, from https://www.uvm.edu/~statdhtx/StatPages/More_Stuff/RepMeasMultComp/RepMeasMultComp.html
go back to reference Husserl, E. (2001). The shorter logical investigations. Routledge.
go back to reference Jo, H., Song, C., Ikei, H., Enomoto, S., Kobayashi, H., & Miyazaki, Y. (2019b). Physiological and psychological effects of forest and urban sounds using high-resolution sound sources. International Journal of Environmental Research and Public Health, 16(15), 2649. https://doi.org/10.3390/ijerph16152649CrossRefPubMedPubMedCentral
go back to reference Jo, H., Song, C., & Miyazaki, Y. (2019a). Physiological benefits of viewing nature: A systematic review of indoor experiments. International Journal of Environmental Research and Public Health, 16(23), 4739. https://doi.org/10.3390/ijerph16234739CrossRefPubMedPubMedCentral
go back to reference Kline, R. B. (2015). Beyond significance testing: Statistics reform in the behavioral sciences. USA: American Psychological Association.
go back to reference Knaus, W. J. (2014). The cognitive behavioral workbook for anxiety. New Harbinger Publications.
go back to reference Leys, C., Delacre, M., Mora, Y. L., Lakens, D., & Ley, C. (2019). How to classify, detect, and manage univariate and multivariate outliers, with emphasis on pre-registration. International Review of Social Psychology. https://doi.org/10.5334/irsp.289CrossRef
go back to reference Love, S. (2021) The philosopher will see you now: Some philosophical counselors offer useful help with problems of living; others aren’t sure mental illness is real. What will their field become? Vice. https://www.vice.com/en/article/qjbdvx/why-some-people-are-talking-to-philosophers-instead-of-therapists
go back to reference Millard, S. P. (2013). EnvStats: An R package for environmental statistics. Springer.CrossRef
go back to reference Murrar, S., & Brauer, M. (2018). Mixed Model Analysis of Variance. The SAGE Encyclopedia of Educational Research, Measurement, and Evaluation, 1, 1075–1078.
go back to reference National Philosophical counseling association (NPCA) (n.d.). Training. https://npcassoc.org/training/
go back to reference Newhart, L. (2018). Logic-based therapy and civil discourse in fractious times. APA blog. American Philosophical Association.
go back to reference Newhart, L. (2020). Logic-based therapy and consultation for mentally strong women. International Journal of Philosophical Practice, 6(1), 1–14. https://doi.org/10.5840/ijpp2020611CrossRef
go back to reference Northcutt, J. (2018). New caregiver stress study conducted by Dr. Elliot D. Cohen and the national philosophical counseling assn. Partners with Caregiverlist for caregiver participant search. Cision. https://www.prweb.com/releases/new_caregiver_stress_study_conducted_by_dr_elliot_d_cohen_and_the_national_philosophical_counseling_assn_partners_with_caregiverlist_for_caregiver_participant_search/prweb15790410.htm
go back to reference Olejnik, S., & Algina, J. (2003). Generalized eta and omega squared statistics: Measures of effect size for some common research designs. Psychological Methods, 8(4), 434–447. https://doi.org/10.1037/1082-989x.8.4.434CrossRefPubMed
go back to reference Patteson, J. D. (2015). Rational Buddhism: Antidotes to the eleven cardinal fallacies presented in Elliot D. Cohen’s the new rational therapy from Buddha and some of his greatest disciples. International Journal of Philosophical Practice. https://doi.org/10.5840/ijpp2015337CrossRef
go back to reference Du Plessis, G. (2019). An existential perspective on addiction treatment: A logic-based therapy case study. International Journal of Philosophical Practice, 5(1), 1–32. https://doi.org/10.5840/ijpp2019511CrossRef
go back to reference Ruppert, D. (2006). Trimming And Winsorization In S. Kotz, N. Balakrishnan, C. B. Read, & B. Vidakovic (Eds.), Encyclopedia of Statistical Sciences (Vol. 14, pp. 8765–8766). essay, Wiley-Interscience.
go back to reference Solomon, R. (1993). The passions: Emotions and the meaning of life. Hackett Publishing.
go back to reference Song, C., Ikei, H., & Miyazaki, Y. (2021). Effects of forest-derived visual, auditory, and combined stimuli. Urban Forestry & Urban Greening, 64, 127253. https://doi.org/10.1016/j.ufug.2021.127253CrossRef
go back to reference Steiger, J. H. (2004). Beyond the F test: Effect size confidence intervals and tests of close fit in the analysis of variance and contrast analysis. Psychological Methods, 9(2), 164–182. https://doi.org/10.1037/1082-989x.9.2.164CrossRefPubMed
go back to reference Wirga, M., DeBernardi, M., Wirga, A., Wirga, M. L., Wirga, M. B., & Fuller, O. G. (2020). Maultsby’s rational behavior therapy: Background, description, practical applications, and Recent Developments. J Rat-Emo Cognitive-Behav Ther, 38, 399–423. https://doi.org/10.1007/s10942-020-00341-8CrossRef
go back to reference Wuensch, K. (2009). Confidence intervals for squared effect size estimates in ANOVA: What confidence coefficient should be employed? Retrieved October 27, 2021, from http://core.ecu.edu/psyc/wuenschk/docs30/CI-Eta2-Alpha.doc
go back to reference Zinaich, S. (2019). Cohen on logic-based therapy and virtue. International Journal of Philosophical Practice, 5(1), 33–47. https://doi.org/10.5840/ijpp2019512CrossRef