Ga naar de hoofdinhoud
Top

Unraveling Heterogeneities in Mindfulness Profiles: a Review and Latent Profile Analysis of the Five Facet Mindfulness Questionnaire Short-Form (FFMQ-SF) in the Spanish Population

  • Open Access
  • 12-07-2022
  • ORIGINAL PAPER
Gepubliceerd in:
share
DELEN

Deel dit onderdeel of sectie (kopieer de link)

  • Optie A:
    Klik op de rechtermuisknop op de link en selecteer de optie “linkadres kopiëren”
  • Optie B:
    Deel de link per e-mail
insite
ZOEKEN

Abstract

Objectives

The Five Facet Mindfulness Questionnaire (FFMQ) is one of the most common self-report instruments used in scientific literature to assess mindfulness. However, mixed evidence has been provided regarding its psychometric properties. Among them, the FFMQ seems to present latent classes or profiles with specific patterns in its facets, which might explain said mixed evidence. This study explores mindfulness profiles in the Spanish population using the short form of the FFMQ (FFMQ-SF) and its relations with relevant constructs (i.e., decentering, self-compassion, psychological well-being, psychopathology, positive and negative states).

Methods

A general population sample of 826 participants completed instruments measuring mindfulness and related constructs. Latent profile analyses were applied to the FFMQ-SF facets, and profile membership of participants was estimated for relations with related constructs.

Results

Three latent profiles were found: General Mindfulness, Judgmentally Observing, and Non-judgmentally Aware. General Mindfulness showed expected relations with other constructs, but the other two profiles showed some relations opposite to prior literature: The Judgmentally Observing profile displayed functional behaviors while the Non-judgmentally Aware profile showed an inverse mitigated pattern. Results could not be explained by gender, age, level of studies, or minimum experience with meditation.

Conclusions

Most people (68%) fall into mindfulness profiles that can be regarded as a continuum (e.g., an overall mindfulness factor). However, the FFMQ-SF shows heterogeneities in its facets due to two unique latent profiles, namely “Judgmentally Observing” (7.4%) and “Non-judgmentally Aware” (24.8%). While the structure of these profiles was replicated, relations with relevant psychological constructs contradicted previous literature. Implications and recommendations for future studies are discussed.

Supplementary Information

The online version contains supplementary material available at https://​doi.​org/​10.​1007/​s12671-022-01939-y.

Publisher's Note

Springer Nature remains neutral with regard to jurisdictional claims in published maps and institutional affiliations.
Mindfulness is defined as present-centered voluntary awareness with a non-judgmental and detached attitude (Kabat-Zinn, 1990). Research on mindfulness has experienced exponential growth in academic literature (Baminiwatta & Solangaarachchi, 2021), with major scientific achievements and applied proposals. Examples of this are meta-analytic evidence on the predictive power of mindfulness, the efficacy of mindfulness-based interventions (MBIs), or nationwide implementations of MBIs (e.g., Carpenter et al., 2019; Creswell, 2017; Galante et al., 2021; MAPPG, 2015; Mattes, 2019; Slemp et al., 2019; van Agteren et al., 2021; Wielgosz et al., 2019). However, the field holds some criticisms and room for improvement (e.g., Van Dam et al., 2018; Walsh, 2016). More concretely, the literature presents a cautionary note on the potential overgrowth of scientific contributions, along with methodological concerns regarding mindfulness assessment (although improving; Goldberg et al., 2017). Since scientific knowledge relies on measurement, and a great deal of mindfulness literature is based on self-report instruments, a deep exploration of mindfulness measurement is key for scientific improvement (Baer, 2019).
The Five Facet Mindfulness Questionnaire (FFMQ; Baer et al., 2006, 2008) is one of the most well-known and used instruments to measure mindfulness (1552 articles on PsychINFO and over 9150 entries on Google Scholar; June 2022). It was developed by combining previous mindfulness profiles into a composite instrument (Baer et al., 2006, 2008). FFMQ items measure dispositional mindfulness (i.e., a general tendency towards present-moment awareness) as an overall mindfulness construct with five main facets, named as follows: “Observe,” as the tendency to observe stimuli (e.g., sensations of the wind in the body), “Describe” as the tendency to describe those stimuli verbally; “Acting with Awareness” as the tendency to attend to one’s activities in the present moment (in contrast with behaving mechanically, or driven by “automatic pilot”); “Non-Judging of Inner Experience” as the tendency to not judge a particular inner experience as good or bad; “Non-Reacting to Inner Experience” as the tendency to not immediately react to a particular inner experience and “take a step back” to gain perspective.
Scientific literature has drawn some criticisms towards the FFMQ, summarized here in construct, external and content validity. Regarding construct validity, a review and replication study showed challenging insights (Lecuona et al., 2020). Most validation studies featured sub-optimal practices, while an attempt to replicate the latent structure of the FFMQ required several modifications. Nevertheless, recent contributions showed the five facets as stable in some contexts, whereas they also propose alternative structures (i.e., six facets without an overall mindfulness factor; Karl et al., 2020; Lecuona et al., 2021). In addition, the Observe facet has shown mixed properties in prior literature, showing negative relations with other facets in clinical and non-meditators (e.g., Carpenter et al., 2019; Diehl et al., 2021). Regarding external validity, recent meta-analyses show a stable positive relationship between FFMQ and life satisfaction, and negative relations with negative affect, anxiety, depression, psychopathology, and psychological inflexibility (Carpenter et al., 2019; Mattes, 2019). However, the Observe facet showed unclear relationships with several variables on both meta-analyses, and even null relations with psychopathology (Diehl et al., 2021); thus, conclusions highlight its uncertain importance. Regarding content validity, some studies show the FFMQ as potentially inconsistent in detecting changes in dispositional mindfulness (Goldberg et al., 2015), and showing content disagreements with Buddhist views of mindfulness (Christopher et al., 2014). This constitutes an ongoing debate on the role and influence of Buddhism in mindfulness literature, where the FFMQ shows unclear contents (Anālayo, 2020; Bodhi, 2011; Purser, 2019; Wright, 2017). Therefore, it seems that there are mixed findings regarding the FFMQ, more concretely, concerning its construct and content validity, although external validity seems robust. In addition, short forms of the FFMQ have been developed, presenting five facets with comparable properties to the long form but with less knowledge available about their psychometric properties (e.g., Bohlmeijer et al., 2011; Tran et al., 2013).
It is important to note that the FFMQ has wide use and impact on academic and applied contexts. As Lecuona et al. (2020) mentioned, this dissonance between mixed evidence and wide applied use can produce misinterpretations in diverse audiences (e.g., skeptics stereotyping the whole mindfulness field as null, or clinicians assuming mindfulness instruments are robust overall). This landscape is compatible with the broader context of the “credibility revolution” (Vazire, 2018), where replicability has been put at the center of scientific endeavors (e.g., Nelson et al., 2018). Thus, a deep study of mindfulness components to map their complexities seems beneficial to the field (e.g., the Observe facet).
A potentially viable solution for the previously mentioned needs is a more person-oriented assessment of mindfulness (Lecuona et al., 2020; Table 1), among others (e.g., exploratory structural equation modeling or psychometric networks). This person-oriented assessment of mindfulness is also known as mindfulness profiles. Suggested by Lilja et al. (2013) and first explored by Pearson et al. (2015), mindfulness profiles can be defined as groups of individuals showing specific patterns of mindfulness facets via latent profile analysis (LPA) or others (e.g., cluster analysis). This technique allows estimating a latent discrete variable (e.g., mindfulness profiles), given a group of continuous items (e.g., mindfulness facets).
Table 1
Studies using latent profile analysis for the FFMQ
Reference
Population
# profiles
Name of profiles
Pearson et al., 2015a
College students
(n = 941)
4
Low Mindfulness, High Mindfulness, Non-judgmentally Aware, Judgmentally Observing
Bravo et al., 2016a
College students
(n = 688)
4
Kimmes et al., 2017a
Couples (young adults)
(n = 542)
4
Bravo et al., 2018a
Military personnel
(n = 407)
College students
(n = 310)
4
Lam et al., 2018b
Cancer patients
(n = 418)
4
Zhang et al., 2019a
Early adolescents
(n = 670)
4
Gu et al., 2020a
Recurrent depression
(n = 683)
4
Ford et al., 2020a
Adults
(n = 715)
4*
 
Sahdra et al., 2017a
Adults
(n = 7884)
4
Average Mindfulness, Moderately Non-judgmental, Non-judgmentally Aware, Judgmentally Observing
Stanmyre et al., 2022c
Adults who gamble
(n = 843)
4
High Mindfulness, Moderate Mindfulness, Low Mindfulness, Judgmentally Unaware
Calvete et al., 2019d
Adolescents
(n = 571)
3
Moderate Mindfulness, Non-judgmentally Aware, Judgmentally Observing
Zhu et al., 2020a
Adults
(n = 1727)
3
Low to Average Mindfulness, Average Mindfulness, High Non-judgmentally Aware
Bronchain et al., 2021b
College students
(n = 1574)
3*
High Mindfulness, Judgmentally Observing, Non-judgmentally Aware
Marques et al., 2020a
Sleep disturbance
(n = 74)
2*
Low Mindfulness, High Mindfulness
Gómez-Odriozola & Calvete, 2021d
Adolescents
(n = 304)
2
Judgmentally Observing, Non-judgmentally Aware
*Implemented cluster analysis; aimplemented the FFMQ; bimplemented the FFMQ-SF; cimplemented the FFMQ-18 (Medvedev et al., 2018); dimplemented the FFMQ-A-SF (Cortazar & Calvete, 2019)
Previous studies have tended to propose four profiles (Table 1): Low Mindfulness (low values in all facets), High Mindfulness (high values in all facets), “Non-judgmentally Aware” (high Non-Judging and Acting with Awareness, and low Observe, Describe and Non-Reacting), and “Judgmentally Observing” (high Observe and Describe, low Non-Judging and Acting with Awareness, and medium Non-Reacting). In this article, we identify High Mindfulness and Low Mindfulness as homogeneous profiles (i.e., profiles with consistent levels in facets, like High Mindfulness or Low Mindfulness), while Non-judgmentally Aware and Judgmentally Observing as heterogeneous profiles (i.e., profiles with simultaneously high and low levels of facets). Several studies have replicated the four profiles in multiple populations, although other studies obtained different structures (Table 1). Nevertheless, most differences relied on combinations of homogeneous profiles of mindfulness (e.g., obtaining one, two, or more homogeneous profiles). The heterogeneous profiles were mostly replicated in all studies but one (Marques et al., 2020). Thus, the most stable proposal for the profile structure of the FFMQ seems to be a combination of homogeneous profiles (from one to four) and one or two heterogeneous profiles (Non-judgmentally Aware and Judgmentally Observing).
As could be expected from reading the prior literature (e.g., Bravo et al., 2018), homogeneous profiles (e.g., High and Low Mindfulness) show the same patterns as studies with traditional mindfulness scores. This is, higher psychological well-being, happiness, life effectiveness, satisfaction, psychological flexibility, self-regulation, self-compassion, and lower psychopathology (e.g., suicidality, trauma, or addiction) and mental discomfort (e.g., anxiety, depression, stress, negative affect, worry, psychological inflexibility) for the High-Mindfulness profile, while vice versa for the Low-Mindfulness profile (e.g., Bravo et al., 2018; Ford et al., 2020; Gu et al., 2020; Marques et al., 2020; Sahdra et al., 2017; Stanmyre et al., 2022).
Heterogeneous profiles (Non-judgmentally Aware and Judgmental Observing) show unique patterns: The Judgmentally Observing profile is reported as showing higher levels of psychological discomfort and psychopathology (e.g., Bravo et al., 2018; Calvete et al., 2019; Sahdra et al., 2017; Stanmyre et al., 2022). However, this profile also shows the highest levels of satisfaction with life, positive affect, life effectiveness, and other similar constructs (e.g., Ford et al., 2020; Kimmes et al., 2017; Sahdra et al., 2017; Stanmyre et al., 2022), as well as intermediate levels of psychological well-being, happiness, and vitality (e.g., Bravo et al., 2016; Ford et al., 2020). In addition, this profile shows low levels of psychological flexibility, non-attachment, and self-regulation, although high levels of cognitive reappraisal and effort control (e.g., Zhang et al., 2019; Zhu et al., 2020). On the other hand, the Non-judgmentally Aware profile displayed low or intermediate levels of psychological discomfort and psychopathology. However, this profile also displays the lowest satisfaction with life, life effectiveness, and other constructs, as well as intermediate levels of psychological well-being, happiness, and vitality. Finally, this profile shows low or intermediate levels of self-regulation constructs. Therefore, it seems that these two profiles are somewhat a mirror-like reflection, with one (Judgmentally Observing) being less functional in some aspects but at the same time more satisfied and successful than the other (Non-judgmentally Aware).
Therefore, the evidence so far suggests a degree of internal and external validity of mindfulness profiles. However, we draw a series of improvements to the field. First, to our knowledge, associations between mindfulness profiles and relevant mindfulness-related constructs (e.g., self-compassion, decentering, or positive states) have only been explored in clinical samples. Hence, it is relevant to explore these associations in the general population. Second, most studies have explored mindfulness profiles using the original long form of the FFMQ, but very few have explored mindfulness profiles using the short form, which can add value regarding replicability and scalability. Third, no studies explored mindfulness profiles in the general Spanish population.
Regarding mindfulness-related constructs, decentering is defined as the ability to observe inner thoughts and feelings as temporary objects of the mind instead of representations of the self or necessary truths (Fresco et al., 2007). This construct holds theoretical and empirical potential since it is featured as a core concept in mindfulness literature and related fields (Bernstein et al., 2019). Self-compassion is defined as a kind and sympathetic attitude towards oneself in instances of suffering, as opposed to a self-critical, harsh, or judgmental attitude (Neff, 2003). This construct seems relevant in mindfulness interventions and a core correlate of mindfulness processes (Rodríguez-Carvajal et al., 2016; Williams & Kabat-Zinn, 2013). Clinical samples display higher levels in the High-Mindfulness profile in both constructs, while other profiles hold similar values (Bravo et al., 2016; Marques et al., 2020). Nevertheless, decentering and self-compassion are highly relevant constructs in the mindfulness literature regardless of specific populations (for a review, see Nilsson & Kazemi, 2016). Therefore, exploring how mindfulness profiles relate to decentering and self-compassion in non-clinical samples seems relevant. In addition, Buddhist models propose the “immeasurable states” as relevant correlates of mindfulness (Desbordes et al., 2015; Isbel & Summers, 2017). These “immeasurable states” or “positive states” are Buddhist constructs of positive affect states towards the self and others (i.e., loving-kindness, compassion, empathetic joy, and equanimity). Scientific evidence points out the “immeasurable states” as relevant correlates of mindfulness (Rodríguez-Carvajal et al., 2016). Therefore, given the close relationship of these constructs (i.e., decentering, self-compassion, and the “immeasurable states” or “positive states”) with mindfulness, their exploration within the framework of mindfulness profiles is relevant.
Regarding the short form of the FFMQ, as we said previously, most studies have explored mindfulness profiles using the original long form of the FFMQ. However, very few have explored mindfulness profiles using the short form. Among five studies that implemented short forms, only two used the most common short form, the FFMQ-SF (Bohlmeijer et al., 2011; Tran et al., 2013; Table 1). Given that short forms could enable compatible measurements with fewer items, they could bring more scalability to the scientific measurement of mindfulness.
Finally, to our knowledge, mindfulness profiles in the Spanish general population have not been thoroughly explored, with only two studies exploring Spanish adolescents (Calvete et al., 2019; Gómez-Odriozola & Calvete, 2021). Therefore, studying mindfulness profiles in the general Spanish population can improve cross-cultural knowledge of mindfulness while also replicability and scalability.
The present study aims to replicate mindfulness profiles to help understand its psychometric properties and expand the evidence in two less explored contexts: the Spanish population and the short form of the FFMQ. In addition, it aims to explore its relations to positive (self-compassion, decentering, positive states, and psychological well-being) and negative (stress, anxiety, depression, and negative states) mental health constructs. Our hypotheses are (1) the 4-profile structure will be replicated in the 5-facet structure of the short form of the FFMQ applied to the Spanish population; (2) mindfulness profiles with consistently high levels on facets will have higher levels of positive mental health (decentering, self-compassion, positive states, and psychological well-being), while lower levels of negative mental health (stress, anxiety, depression, and negative states) and vice versa for profiles with consistently low levels of mindfulness facets; (3) the Non-judgmentally Aware will present intermediate levels of positive mental health and low levels of negative mental health; and (4) the Judgmentally Observing profiles will have intermediate levels of positive mental health and high levels of negative mental health.

Method

Participants

We obtained an overall sample of 826 participants from the Spanish population by merging two samples of attendees from the same mindfulness center before attending an MBSR. Samples were apt for merging due to highly similar characteristics (same mindfulness center, instructors, intervention, procedure, and self-compassion self-reports), only differing in external variables’ self-reports. The first sample consisted of 546 participants. This sample assessed mindfulness, self-compassion, decentering, positive and negative states, and perceived stress. The second sample consisted of 280 participants. In this case, mindfulness, self-compassion, depression, anxiety, stress, and psychological well-being were assessed in this second sample. Most participants identified as women (72.64%), middle-aged (M = 43.26, SD = 10.41), with college studies or above (65.85%), coupled or married (46.85%), and had practiced meditation before at least once (60.29%). No significant differences were found in demographics between samples (p > 0.05) except for age (with a small difference of 2 years older in sample 2) and marital status (with sample 2 displaying more proportions of divorced and fewer single participants). However, some significant differences were found in mindfulness facets (see “Data Analyses”).

Procedure

The university ethics committee approved the research study before participant recruitment. We invited participants to join the study when registering for a mindfulness-based stress reduction (MBSR) program on an official mindfulness center website. The second sample was recruited in the same official mindfulness center but with some different self-reports. More concretely, while the FFMQ and the SCS were common in both samples, the rest of the self-reports differed (see “Measures”). Those who agreed to participate completed an online screening questionnaire on sociodemographic data and inclusion criteria and were asked to sign the informed consent. First, an informed consent form was administered to the participants, which required agreeing to continue the assessments. In addition, all participants made clear their consent and understanding of their voluntary participation, freedom to interrupt the assessments at any moment they would require, and the confidentiality of their data. Then, self-report assessments were administered via Qualtrics. Assessments lasted about 25–30 min via Qualtrics. None of the participants received compensation for their participation. Finally, all participants’ records were stored in a database and anonymized for subsequent uses.

Measures

Five Facet Mindfulness Questionnaire — Short Form (FFMQ-SF)

This instrument aims to measure mindfulness with 21 self-reported items and a Likert response format from 1 (totally disagree) to 5 (totally agree) (Bohlmeijer et al., 2011; Tran et al., 2013; validated in the Spanish population by Asensio-Martínez et al., 2019). As discussed, it has two proposed latent structures of five or six facets (Karl et al., 2020; Lecuona et al., 2020). However, we did not estimate the six-facet model due to not having three items per latent variable or more. Instead, we estimated the five-facet model. Such facets were Observe (tendency to attend external stimuli, such as smells or sounds; ω = 0.83, α = 0.83), Describe (ability to express internal phenomena with words; ω = 0.68, α = 0.67), Acting with Awareness (tendency to perform actions with awareness of them; ω = 0.87, α = 0.88), Non-Judging of inner experience (tendency to not classify inner experiences as good or bad; ω = 0.89, α = 0.88), and Non-Reacting to inner experience (tendency to detach from experiences, without reacting immediately; ω = 0.69, α = 0.70).

Self-Compassion Scale — Short Form (SCS-SF)

This instrument aims to measure self-compassion with 12 self-reported items and a Likert response format from 1 (almost never) to 5 (almost always) (Raes et al., 2011; validated in the Spanish population by Garcia-Campayo et al., 2014). Its latent structure includes an overall Self-Compassion facet and six first-level factors, namely Self-Kindness (e.g., “I try to be loving towards myself when I’m feeling emotional pain”), Self-Judgment (e.g., “I’m disapproving and judgmental about my own flaws and inadequacies”), Common Humanity (e.g., “When things are going badly for me, I see the difficulties as part of life that everyone goes through”), Isolation (e.g., “When I think about my inadequacies, it tends to make me feel more separate and cut off from the rest of the world”), Mindfulness (e.g., “When something upsets me I try to keep my emotions in balance”), and Overidentification (e.g., “When I’m feeling down I tend to obsess and fixate on everything that’s wrong”). Internal consistencies were unavailable for the first-level facets due to not having at least three items per factor, except for the general Self-Compassion factor (ω = 0.90, α = 0.89).

Experiences Questionnaire (EQ)

This instrument aims to measure decentering with 11 self-reported items and a Likert response format from 1 (never) to 5 (all the time) (Fresco et al., 2007; validated in the Spanish population by Soler et al., 2014). Its latent structure includes an overall decentering factor (ω = 0.87, α = 0.87).

Self-Other Four Immeasurables (SOFI)

This instrument aims to measure Buddhist immeasurable states (loving-kindness, compassion, empathetic joy, and equanimity) with 16 self-reported items and a Likert response format from 1 (very slightly or not at all) to 5 (extremely) (Kraus & Sears, 2009). We took the translated items to Spanish from a previously published study (Rodríguez-Carvajal et al., 2016). Its latent structure includes four factors, namely self-positive states (e.g., “I feel friendly towards myself”; ω = 0.85, α = 0.84), self-negative states (e.g., “I feel hateful towards myself”; ω = 0.79, α = 0.79), other-positive states (e.g., “I feel friendly towards others”; ω = 0.69, α = 0.69), and other-negative states (e.g., “I feel hateful towards others”; ω = 0.71, α = 0.70). Two general factors can be extracted, namely positive states (ω = 0.84, α = 0.84) and negative states (ω = 0.81, α = 0.80).

Perceived Stress Scale (PSS)

This instrument aims to measure perceived stress with ten self-reported items and a Likert response format from 0 (never) to 4 (very often) (Cohen et al., 1983; validated in the Spanish population by Remor, 2006; Trujillo & González-Cabrera, 2007). Its latent structure includes an overall perceived stress factor (ω = 0.90, α = 0.89).

Depression, Anxiety, and Stress Scale 21 (DASS-21)

This instrument aims to measure stress, depression, and anxiety symptoms with 21 self-reported items and a Likert response format from 1 (never) to 5 (always) (Lovibond & Lovibond, 1995; validated to Spanish by Daza et al., 2002). Its latent structure includes three factors of Depression (ω = 0.91, α = 0.90), Anxiety (ω = 0.76, α = 0.75), and Stress (ω = 0.83, α = 0.80).

Pemberton Happiness Index (PHI) — Section A

This instrument aims to measure composite psychological well-being with 11 self-reported items and a Likert response format from 0 (totally disagree) to 10 (totally agree) (Hervás & Vázquez, 2013). The instrument measures hedonic and eudaimonic well-being in a psychological well-being composite score. Its latent structure includes an overall psychological well-being factor (ω = 0.92, α = 0.92).

Data Analyses

Descriptive statistics were obtained for all variables with an examination of histograms and bar plots. In addition, bivariate correlations were computed and examined between all self-reports for each self-report (see Supplementary Material).
To estimate scores of FFMQ and which model offered the best fit, we performed confirmatory factor analyses (CFAs) on the FFMQ. We estimated the five-correlated model and compared it to the hierarchical model (we discarded the six-correlated model due to having the short form of the FFMQ, which impedes counting with three or more items per facet). Polychoric correlations were implemented along with a robust estimation method (WLSMV). The fit was assessed with the Comparative Fit Index (CFI), the Tucker-Lewis Index (TLI), the root mean square error approximation (RMSEA), and the standardized root mean residual (SRMR). Good fit was assessed with values > 0.90 for CFI and TLI, and < 0.08 for RMSEA and SRMR (Hu & Bentler, 1999). Model fit was mixed or borderline for the five-correlated model (χ2(160) = 2621.59, p < 0.001, CFI = 0.954, TLI = 0.946, RMSEA = 0.104, SRMR = 0.086). However, the hierarchical model displayed worse fit (χ2(165) = 3187.74, p < 0.001, CFI = 0.933, TLI = 0.923, RMSEA = 0.124, SRMR = 0.105). Thus, we decided to estimate the latent scores of each facet of the FFMQ using refined methods (i.e., using the estimated CFAs) with the estimated Bayesian modal method. All facets were estimated as Z-scores to optimize subsequent analyses.
To explore differences in mindfulness facets across samples, we implemented ANCOVAs with each facet as dependent variables, sample (first vs. second) and meditation experience as independent variables, and gender, age, level of studies, and marital status as covariables. While Observe and Describe displayed non-significant differences between samples, we found significant differences in Acting with Awareness (around 0.28 in z-scores), Non-Judging (around 0.60), and Non-Reacting (around 0.47). Interestingly, we also found a significant interaction between sample and meditation experience in Non-Reacting (difference between experienced and not experienced around 0.50 in the second sample, while there were no differences in the first sample). Thus, subsequent ANCOVAs included the type of sample as a covariable for mindfulness facets and self-compassion, including the interaction between meditation experience and sample for Non-Reacting.
To explore mindfulness profiles in the FFMQ, we applied latent profile analysis (LPA, Williams & Kibowski, 2016) to mindfulness facets, following Ferguson et al. (2020). We included the five facets of the FFMQ to ensure content validity of profiles and study replicability of prior literature. However, our data did not converge for standard estimation methods (i.e., MPlus). Therefore, we estimated an LPA without covariates and obtained its classification estimates for subsequent analysis (e.g., associations with other variables). To obtain the best fitting number of profiles, we estimated LPAs in different types regarding their parameters (i.e., constraining means, variances, and covariances to zero, equal between profiles, or not being constrained). This combination of models leads to a framework of several models, with four types of methods (for details, see Rosenberg et al., 2018): type 1 (equal variances and covariances fixed to zero), type 2 (varying variance and covariances fixed to zero), type 3 (equal variances and covariances), and type 6 (varying variances and varying covariances). Types 4 and 5 were unavailable in our chosen software at the time of the analyses (see Rosenberg et al., 2019). Since our scope is exploratory, we estimated all types of models and selected the ones with the best fit within each type of model to select the best among them. Following literature recommendations (Spurk et al., 2020; Tein et al., 2013), we selected the Bootstrapped Likelihood Ratio Test (BLRT) and the Sample-Adjusted Bayesian Information Criterion (SABIC) as a priority due to marginally high power, and the entropy index, the log-likelihood (LL), the Akaike Information Criterion (AIC), the Bayesian Information Criterion (BIC), and the Corrected Akaike Information Criterion (CAIC) as complements due to lower power. Entropy, LL, AIC, BIC, and CAIC will not be interpreted unless showing consensus or clear deviations from their tendency towards models with more profiles. We based these criteria on simulation results considering our sample size (n = [500; 1000]) and the FFMQ features (around four profiles, five indicators, and average distances between profiles of |d|= 0.56, estimated in Bravo et al., 2016). We considered our sample size adequate since the literature suggests sample sizes above 500 as generally enough (Tein et al., 2013). Interpretation guides for entropy are values > 0.80 as a good fit, although values between 0.60 and 0.80 are suggested as acceptable (Jung & Wickrama, 2008; Muthén, 2004); for BLRT, non-significant values (p > 0.05) for models with one more profile indicate good fit; for BIC, SABIC, and CAIC, lower values indicate better fit. All fit indices were obtained for LPA models for each type of model iteratively increasing the number of profiles. Model selection was two-folded: The best model of each type was selected, to then compare the best of each type and select the best among them. If this process provides ambiguous solutions, the proportion of classified participants was examined, favoring parsimonious models with profiles encompassing 5% of the sample or more (Nagin, 2005).
Once the LPA models were selected, we estimated for each profile its facet means with 95% confidence intervals. We also examined scatterplots of facets for each profile. In addition, we estimated the membership probability of each participant to each profile, where we selected the maximum probability of each participant as the estimated latent profile for subsequent analyses. Relations between profiles and external variables were assessed with one-way ANCOVAs, with latent profiles as the independent variable, meditation practice as a covariable, and each external variable (e.g., self-compassion) as the dependent variable. A power analysis revealed minimum effect sizes of \({\eta }_{p}^{2}\) = [0.02; 0.07], for our sample sizes and 95% confidence and power, (see Supplementary Materials). Means with confidence intervals and significant differences via post hoc comparisons were reported (applying Šidák correction). Both means and post hoc comparisons were bootstrapped with 1000 draws. If dependent variables displayed pronounced skewness, we implemented Kruskal–Wallis tests with DSCF post hoc comparisons and medians with their standard errors using simulation (multiplying by 1.05 the standard error of the mean; for details, see the script in the OSF and https://​influentialpoint​s.​com/​Training/​standard_​error_​of_​median.​htm). In addition, scatterplots of indicators and external variables were examined for each profile. Finally, we interpreted the profiles using all previously obtained information.
Descriptive statistics, correlations, ANCOVAs, and contingency tables were computed with JASP (Jasp Team, 2020) except for the Kruskal–Wallis test with post hoc comparisons computed with Jamovi (Jamovi Project, 2020). CFAs, reliability indices, and LPAs were computed with the lavaan (Rosseel, 2012), MBESS (Kelley, 2007), and tidyLPA packages (Rosenberg et al., 2018, 2019) of the R environment (R Development Core Team, 2020), respectively. Power analyses were computed using G*Power (Faul et al., 2009). All data, scripts, and supplementary materials are available at the Open Science Framework (https://​osf.​io/​f627a).

Results

Regarding LPA, fit indices for each model type are displayed in Table 2. The LPA provided mixed evidence. The BLRT provided equal support for three models, while the SABIC showed support for three models, sharing two with the BLRT. The entropy index showed unsatisfactory fit in all cases (all models < 0.80), although three models provided acceptable fit, with two shared with the SABIC. Other fit indices provided conclusions equivalent to the SABIC. Intersecting BLRT, SABIC, and entropy, we selected three models as candidates: model “6;2” (2 profiles, varying variances and covariances), model “3;3” (3 profiles, equal variances, and covariances), and model “2;6” (6 profiles, varying variances and covariances fixed to zero). Models “2;6” and “3;3” showed acceptable entropy, while model “6;2” showed an insufficient entropy even for an acceptable range (< 0.60). Given that this procedure offered ambiguous outputs, we estimated the three profiles and examined the proportion of classes, the parsimony of models, and compatibility with prior literature. Models “3;3” and “6;2” showed good proportions of the smallest profile (7.38% and 26.39%, respectively), while model “2;6” did not (3.75%). In addition, models “3;3” and “2;6” showed patterns compatible with literature, while model “6;2” showed more ambiguous patterns. Therefore, we selected model “3;3” due to having a good proportion of cases in the smallest class, patterns compatible with previous literature, and being more parsimonious than model “2;6”. Model “3;3” is displayed in Fig. 1, while models “2;6” and “6;2” are depicted in Supplementary Materials.
Table 2
Fit indices for LPAs pre-MBSR from 1 to 7 profiles in four different types of models
Model
Profiles
LL
AIC
BIC
CAIC
SABIC
Entropy
BLRT
1
1
 − 5413.25
10,846.50
10,893.66
10,903.66
10,861.91
1
-
2
 − 5167.76
10,367.52
10,442.99
10,458.99
10,392.18
0.64
490.98*
3
 − 5104.25
10,252.50
10,356.26
10,378.26
10,286.40
0.72
127.02*
4
 − 5007.41
10,070.83
10,202.89
10,230.89
10,113.98
0.76
193.67*
5
 − 4980.15
10,028.29
10,188.66
10,222.66
10,080.69
0.72
54.54*
6
 − 4957.87
9995.74
10,184.40
10,224.40
10,057.38
0.68
44.55*
7
 − 4942.83
9977.66
10,194.63
10,240.63
10,048.55
0.72
30.08*
2
1
 − 5413.25
10,846.50
10,893.66
10,903.66
10,861.91
1
-
2
 − 5156.71
10,355.41
10,454.46
10,475.46
10,387.77
0.65
513.09*
3
 − 5096.90
10,257.79
10,408.72
10,440.72
10,307.10
0.76
119.62*
4
 − 4995.21
10,076.42
10,279.23
10,322.23
10,142.68
0.75
203.37*
5
 − 4978.30
10,064.61
10,319.30
10,373.30
10,147.82
0.70
33.81*
6
 − 4940.64
10,011.28
10,317.86
10,382.86
10,111.44
0.72
75.33*
7
 − 4941.42
10,034.84
10,393.30
10,469.30
10,151.95
0.72
-1.56
3
1
 − 4991.12
10,022.24
10,116.57
10,136.57
10,053.06
1
-
2
 − 4989.07
10,030.14
10,152.77
10,178.77
10,070.20
0.33
4.11
3
 − 4943.51
9951.03
10,101.96
10,133.96
10,000.34
0.64
91.11*
4
 − 4941.07
9958.14
10,137.37
10,175.37
10,016.70
0.47
4.89
5
 − 4920.51
9929.01
10,136.54
10,180.54
9996.82
0.66
41.13*
6
 − 4906.86
9913.72
10,149.55
10,199.55
9990.77
0.67
27.29*
7
 − 4902.14
9916.29
10,180.42
10,236.42
10,002.58
0.62
9.44
6
1
 − 4991.12
10,022.24
10,116.57
10,136.57
10,053.06
1
-
2
 − 4904.89
9891.77
10,085.15
10,126.15
9954.95
0.50
172.47*
3
 − 4891.01
9906.02
10,198.45
10,260.45
10,001.56
0.64
27.75
4
 − 4877.50
9921.00
10,312.47
10,395.47
10,048.90
0.61
27.03
5
 − 4859.59
9927.18
10,417.71
10,521.71
10,087.44
0.69
35.81
6
 − 4829.54
9909.07
10,498.65
10,623.65
10,101.69
0.70
60.11*
7
 − 4815.95
9923.90
10,612.53
10,758.53
10,148.88
0.71
27.17
Selected models:
1
6
 − 4957.87
9995.74
10,184.40
10,224.40
10,057.38
0.68
44.55*
2
6
 − 4940.64
10,011.28
10,317.86
10,382.86
10,111.44
0.72
75.33*
3
3
 − 4943.51
9951.03
10,101.96
10,133.96
10,000.34
0.64
91.11*
6
2
 − 4904.89
9891.77
10,085.15
10,126.15
9954.95
0.50
172.47*
Decision (model;profiles)
Not interpreted
6;2, 3;3, 1;6
6;2, 3;3, 1;6
6;2, 3;3, 1;6
6;2, 3;3, 1;6
2;6, 1;6, 3;3
All but 1;6
In the “Models” column: 1 = equal variances, covariances fixed to zero; 2 = varying variances, covariances fixed to zero; 3 = equal variances and equal covariances; 6 = varying variances and varying covariances; SABIC and BLRT labels are bolded to indicate their preference in interpretation. * p < .05; bolded numbers indicate the best fit in that set of models (type 1, 2, 3, or 6). This is, BLRT with p > .05 in the next model, SABIC with the lowest value, entropy > .80, or the smallest number in LL, AIC, BIC, and CAIC apart from tendency to better fit for models with more profiles
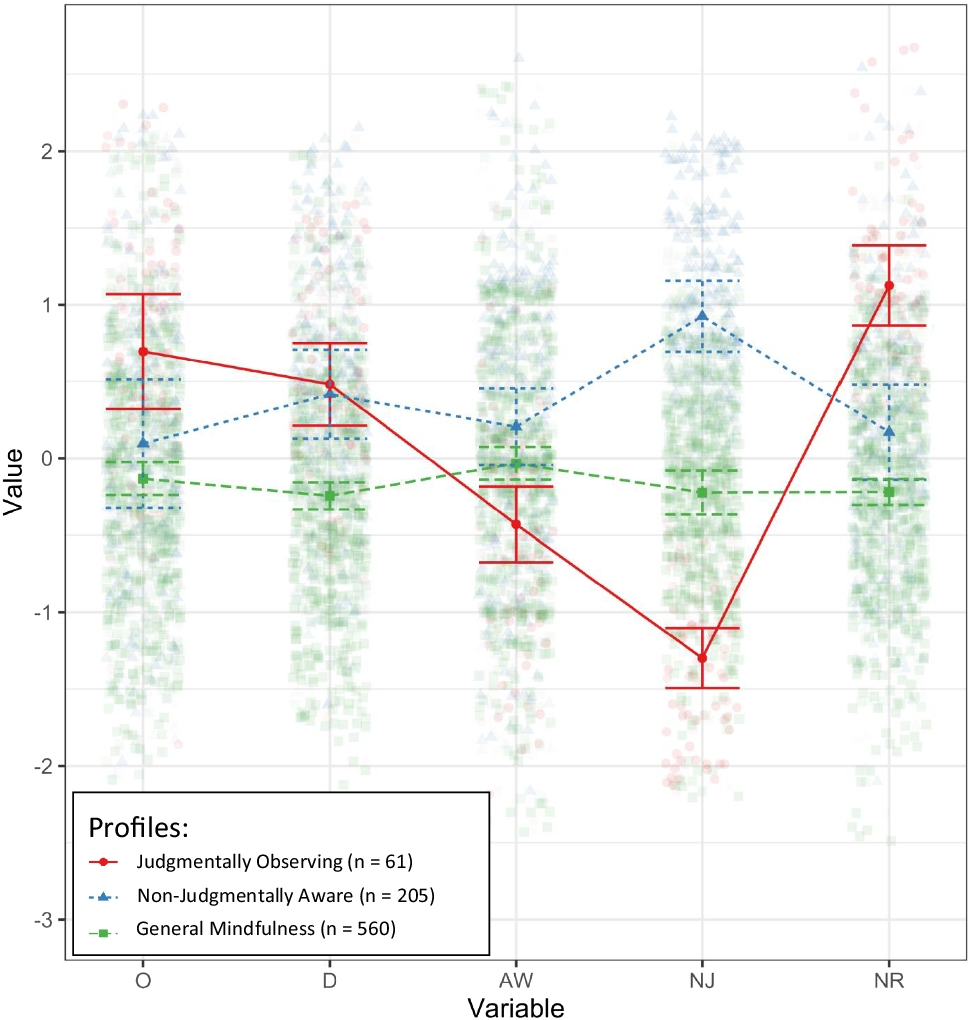
Fig. 1
Depiction of the three-class profiles defined by pattern of standardized means, confidence intervals, and raw data on five facets of mindfulness
Afbeelding vergroten
The selected model (3 latent profiles) is displayed in Fig. 1. The 3-profile solution showed a profile reflecting homogeneous and average scores across the five facets. This profile was named “General Mindfulness” (68.00% of participants) since its means were around zero in z-scores but counted with values in all the range. The other two profiles were as follows: one with high levels of Observe, Describe, and Non-reacting and low levels of Acting with Awareness and Non-Judging (named “Judgmentally Observing,” with 7.40% of participants), and one with medium levels of Observe and Describe, significantly higher levels of Acting with Awareness and Non-Judging, and significantly lower levels of Non-Reacting (named “Non-judgmentally Aware,” with 24.80% of participants).
Scatterplots of mindfulness facets for each profile are displayed in Fig. 2. Compatible with previous literature, the General Mindfulness profile displays a positive linear association between all facets. This is also the case of the Non-judgmentally Aware profile except in one relation (a non-significant correlation between Non-Judging and Describe). The Judgmentally Observing shows positive relations between some facets, but also non-significant ones and even negative relations between Acting with Awareness with Observe and Describe. This mixed behavior of null or even opposite relations is also present in this profile with other constructs (see Supplementary Materials).
Fig. 2
Scatterplots of mindfulness facets separating each latent profile for the 3-profile solution pre-MBSR
Afbeelding vergroten
Table 3 displays the means and post hoc significant comparisons of each latent profile in mindfulness facets, positive and negative mental health variables, and demographics. Superscripts indicate significant differences between profiles in each variable and are ordered in magnitude (details in Table 3). The General Mindfulness profile displayed expectable levels in all variables (i.e., medium levels although somewhat low in self-compassion). Surprisingly and contradictory to literature, the Judgmentally Observing profile displays one of the highest levels of self-compassion and psychological well-being, while also one of the lowest levels of depression, anxiety, and stress. However, positive and negative states displayed intermediate levels, while decentering displayed high but non-significant levels. The Non-judgmentally Aware profile displayed an inverse but mitigated pattern, with low or intermediate levels in self-compassion and psychological well-being, while the highest levels in depression, anxiety, and stress. However, this profile showed the highest level in decentering, while also high levels of positive states and intermediate levels of negative states.
Table 3
Mean comparisons between latent classes on mindfulness facets, psychological constructs, emotional outcomes, and psychological well-being
 
General Mindfulness
Judgmentally Observing
Non-judgmentally Aware
M (SE)
M (SE)
M (SE)
FFMQ-SF — Observe
 − 0.193 (0.04)
0.651 (0.12)
0.062 (0.07)
FFMQ-SF — Describe
 − 0.3032 (0.04)
0.501 (0.06)
0.591 (0.06)
FFMQ-SF — Acting with Awareness
0.032 (0.04)
 − 0.763 (0.11)
0.501 (0.07)
FFMQ-SF — Non-Judging
 − 0.272 (0.04)
 − 1.393 (0.06)
1.101 (0.04)
FFMQ-SF — Non-Reacting
 − 0.203 (0.03)
0.971 (0.11)
0.382 (0.06)
SCS-SF — Self-Compassion
2.773 (0.03)
3.741 (0.10)
3.372 (0.07)
Self-Kindness
2.703 (0.04)
3.711 (0.12)
3.242 (0.07)
Self-Judgment
2.712 (0.05)
3.601 (0.13)
3.341 (0.08)
Common Humanity
2.863 (0.04)
3.781 (0.12)
3.292 (0.07)
Isolation
2.812 (0.05)
3.761 (0.13)
3.531 (0.08)
Mindfulness
3.023 (0.04)
3.971 (0.09)
3.542 (0.08)
Over-Identification
2.542 (0.04)
3.621 (0.14)
3.301 (0.08)
Decentering
2.862 (0.03)
3.571,2 (0.24)
3.431 (0.04)
SOFI — Positive
3.192 (0.03)
3.072 (0.26)
3.761 (0.04)
Self
2.942 (0.04)
2.893 (0.17)
3.671 (0.06)
Others
3.431 (0.03)
3.252 (0.13)
3.841 (0.04)
Psychological Well-Being!
6.912 (0.11)
8.361 (0.17)
5.823 (0.36)
Perceived Stress
3.061 (0.04)
3.211,2 (0.53)
2.452 (0.05)
SOFI — Negative
1.762 (0.04)
1.881,2 (0.33)
1.402 (0.03)
Self
1.811 (0.04)
2.011,2 (0.44)
1.342 (0.04)
Others
1.721 (0.04)
1.751,2 (0.28)
1.462 (0.04)
DASS-21 — Depression!
0.432 (0.05)
0.143 (0.05)
1.141 (0.19)
DASS-21 — Anx!
0.432 (0.04)
0.142 (0.04)
0.571 (0.11)
DASS-21 — Stress!
1.142 (0.04)
0.713 (0.05)
1.571 (0.11)
%Exp. with meditation
56.612
73.771
66.342
%Female
72.51
80.331
70.731
Age
43.141 (0.46)
43.541 (1.29)
43.491 (0.76)
Studies
51 (0.06)
51 (0.09)
51 (0.131)
Judg Obser, Judgmentally Observing; NonJudg Aw, Non-judgmentally Aware; O, Observe; D, Describe; AW, Acting with Awareness; NJ, Non-Judging; NR, Non-Reacting; SC, Overall Self-Compassion; SK, Self-Kindness; SJ, (lack of) Self-Judgment; CH, Common Humanity; I, (lack of) Isolation; M, Mindfulness; OI, (lack of) Over-Identification; Decenter, decentering; PStr, perceived stress; Positive, overall positive states; PosSelf, positive states towards the self; PosOth, positive states towards others; Negative, overall negative states; NegSelf, negative states towards the self; NegOth, negative states towards others; Depr, depression; Anx, anxiety; Happ, happiness; %MedEx, percentage of experience with meditation; %Female, percentage of females; !non-parametric ANOVAs and DSCF post hoc tests were implemented due to high skewness (standard errors were obtained using medians instead of means); superscripts indicate post hoc differences between profiles (different superscripts = significant differences, same superscript = non-significant differences), and ordered in magnitude (.1the profile with highest value, and the others ranked in order)

Discussion

This study aimed to replicate the latent profiles of mindfulness to understand its psychometric properties using the FFMQ-SF with a Spanish population. The study explored whether latent profiles of the FFMQ proposed in the literature were replicated using the short form of the FFMQ in the Spanish population. In addition, the study explored the relationship between mindfulness profiles with several mindfulness-related constructs and with positive and negative mental health.
Our results showed a different but compatible depiction of latent profiles than the main proposal in the literature. Instead of four profiles (High and Low-Mindfulness, Judgmentally Observing, and Non-judgmentally Aware), three profiles were found: a majority of General Mindfulness profile with average levels but a broad range of values, and two heterogeneous profiles present in literature. This General Mindfulness profile was replicated from previous literature (Calvete et al., 2019; Sahdra et al., 2017; Zhu et al., 2020). The heterogeneous profiles were the Judgmentally Observing, and the Non-judgmentally Aware, which were also replicated from most previous studies (Table 1). Since the General Mindfulness profile can be interpreted as homogeneous (i.e., similar levels in all facets and positively correlated between facets), we conclude that the first hypothesis is partially confirmed.
Regarding the heterogeneous profiles, these two profiles may be the reason for the estimation and fit issues of standard latent variable techniques applied to the FFMQ (e.g., confirmatory factor analysis), given that they encompass 32% of participants. They displayed mindfulness levels compatible with previous studies and were detected in all selected LPA models (Fig. 1, and Supplementary Materials for the other two figures). However, we regard two potential differences from previous literature: First, the Judgmentally Observing profile showed more extreme levels than most previous studies (e.g., Sahdra et al., 2017). Second, the Non-judgmentally Aware profile showed more mitigated levels than previous studies (e.g., Bravo et al., 2016). These differences could be due to a combination of two reasons: (1) genuine groups of unique individuals and (2) social desirability, self-deception, and other response biases. The following sections discuss each profile below.
Relations between mindfulness facets and relevant constructs and mental health were consistent with the literature: People with higher levels of mindfulness facets displayed significantly greater levels of decentering, self-compassion, positive states, and psychological well-being, while lower levels of negative states. On the contrary, people with lower levels of mindfulness facets displayed significantly lower levels of decentering, self-compassion, positive states, psychological well-being, and higher levels of negative states and people. This adds evidence to previous claims that mindfulness seems correlated with these constructs (Baer, 2019; Bernstein et al., 2019; Carpenter et al., 2019; Desbordes et al., 2015; Galante et al., 2021; Mattes, 2019; Rodríguez-Carvajal et al., 2016; Williams & Kabat-Zinn, 2013). However, it is relevant to note some variability in these associations between profiles (Supplementary Materials), especially regarding the Observe facet and psychopathology.

General Mindfulness Profile

The General Mindfulness profile can be interpreted as a homogeneous profile. More concretely, it provides medium average levels in all facets, although a broad range of values (thus the name of “General” instead of “Average” or “Intermediate”). Hence, we interpret it as a continuum of overall mindfulness, encompassing most of the sample. Relations with other variables were mostly compatible with prior literature. This is, average levels and positive relations between mindfulness facets, positive relations with decentering, self-compassion, positive states, and psychological well-being, while negative relations with stress and negative states. The only exception was psychopathology, with mixed relations (possibly due to floor effects).
It is important to note that the second hypothesis could not be fully tested since there was only one homogeneous profile in the results. Future studies could explore the degree of empirical and theoretical likelihood of splitting mindfulness scores in homogeneous profiles or (like this study) if it is more robust to contemplate a single homogeneous profile.

Judgmentally Observing

Participants with a Judgmentally Observing profile in our sample could be presenting themselves as intensely aligned with a Western narrative of functionality: a focused and sharp mindset inward and outward (i.e., high observing and describing), thoughtful labeling of thoughts and affects as morally good or bad (i.e., very low non-judging), but also a reflexive and calm perspective, aimed at perspective-taking (i.e., high non-reacting). Taking the famous quote by Immanuel Kant, these individuals regard their existence as “the starry heavens above me and the moral law within me.” However, they would also present a low Acting with Awareness, this is, acting with “automatic pilot,” proposed in early mindfulness literature as Western societies’ main maladaptive cultural feature due to multitasking and frantic societal demands (Kabat-Zinn, 1990). This profile also presented high levels of positive mental health (i.e., self-compassion and psychological well-being) and low negative mental health (i.e., depression, anxiety, and stress). This result is surprising since previous literature points out the Judgmentally Observing group with opposite patterns in these variables (e.g., Bravo et al., 2016; Pearson et al., 2015; Sahdra et al., 2017). It also denotes that the fourth hypothesis is contradicted. However, some studies offer potential explanations, like the Judgmentally Observing profile showing high scores in life satisfaction (Ford et al., 2020; Sahdra et al., 2017). A possible explanation is that, in our sample, the Judgmentally Aware profile might show high levels of specific self-regulation skills, which could explain the positive and negative mental health outcomes, for example, cognitive reappraisal, or effort control, as suggested by literature (Calvete et al., 2019; Zhang et al., 2019). This resonates with recent literature, which proposes self-regulation mechanisms to explain how mindfulness promotes well-being (Lundwall et al., 2019). Finally, it is also notorious that this profile showed mixed and inconsistent relations between mindfulness facets and other relevant constructs. This could suggest that this profile is a product of answering the FFMQ with the notion of each facet from a Western perspective, not relating them as parts of a unitary construct (i.e., mindfulness). However, this should be incompatible with having meditation experience (which is the case of the majority of members of this profile, 73% while 66% in the Non-judgmentally Aware and 56% in the General Mindfulness profile). Future studies should gather evidence on self-regulation skills to test this hypothesis.

Non-judgmentally Aware

In contrast, participants with a Non-judgmentally Aware profile in our sample could be presenting themselves as a more dispersed group than the Judgmentally Observing since patterns in mindfulness facets were less extreme. This could be due to genuine features (e.g., lack of introspection) or a bias towards the neutral response categories due to a lack of understanding of items. In any case, this group showed a response mostly inverse pattern to the Judgmentally Observing. It also denotes that the third hypothesis is contradicted. We interpreted this from a cultural perspective. Instead of being culturally aligned with a Western view of functionality, the Non-judgmentally Aware profile could self-present as aligned with a Western “alternative” view of functionality. More concretely, the “going with the flow” set of values is proximate to “alternative” Western narratives such as the New Age movement. This is, the recent construction of alternative spirituality in Western societies, with shared ideas with Buddhism but a lack of depth in their narratives and practices (Huss, 2014; Rindfleish, 2005). This could explain the high levels of positive states, decentering, and self-compassion and low levels of negative states. Therefore, this profile could be seen as “prey of the becoming”: Their high Non-Judging would expose them to be open to more experiences, ideas, and stimuli than most individuals, with perhaps more exposure to suffering. This could explain why this profile shows high scores in anxiety, depression, stress, and low scores in psychological well-being.
In sum, our results partially replicate previous literature on latent profiles: The short form of the FFMQ has presented relevant latent profiles in its internal structure (i.e., the overall mindfulness factor). This could explain its mixed psychometric results in the literature. We view that most participants answered to the FFMQ-SF as a continuum of general mindfulness. Nevertheless, two latent profiles show heterogeneous behaviors: the Judgmentally Observing and Non-judgmentally Aware profiles. The psychometric properties of these two groups remain unclear. While previous literature generally suggests the Judgmentally Observing group suffers from maladaptive behaviors, our results suggest the contrary. The Non-judgmentally Aware profile, while suggested as functional, showed more dysfunctional patterns. However, both profiles showed intermediate levels of self-compassion and positive affect. These results could not be explained by gender, age, level of studies, or minimum experience with meditation. Therefore, we conclude that the replicability of mindfulness profiles is somewhat uncertain, and more research is needed to achieve a robust and stable portrait of said profiles. From an applied point of view, mindfulness profiles could be estimated, but they must be put into context with more variables to get a solid interpretation.

Limitations and Future Studies

This study has some limitations. First and foremost, the cross-sectional nature of our data hinders our capacity to observe longitudinal patterns and causal interpretations. Future studies should explore temporal effects on mindfulness profiles, like an MBI. Since participants were recruited as voluntary assistants to the MBSR in the Spanish population, self-selection bias and social desirability could alter the sample’s representativity. Regarding measurements, all instruments were self-reported, which exposes our data to same-method inflation. This is, potential overestimation of common variance between measurements due to being measured using the same methods. In addition, our instruments could also not capture our tested constructs well, especially mindfulness. Future studies should aim to build or implement behavioral measurements of mindfulness (e.g., Amir et al., 2021; Isbel et al., 2020; Petranker & Eastwood, 2021; Shepherd et al., 2016) and explore the replicability of results comparing methods. In addition, since we gathered our data from the general population, we encountered potential ceiling and floor effects in some self-reports, like the DASS-21. This is, the majority of data grouped in extreme or near-to-extreme values (e.g., most participants self-reporting low psychopathology), limiting our capacity to discriminate between participants. This is a common limitation with psychopathology constructs. Future studies should implement instruments designed for the general population or with more moderate contents to avoid ceiling or floor effects. Finally, regarding our analyses, we could not test the 6-facet structure of the FFMQ due to implementing the short form. Future studies could measure the full form of the FFMQ and test if the 6-facet model provides consistent or differing evidence.

Acknowledgements

The authors want to thank Gustavo Díex and the Nirakara Mindfulness Institute for collaborating in sample collection, and Pablo Roca and Carmelo Vázquez (Universidad Complutense de Madrid) for collaborating in the collection of the second sample.

Declarations

Ethical Approval

All procedures performed in this study followed the ethical standards of Complutense University of Madrid and the Helsinki declaration and its later amendments or comparable ethical standards.
Informed consent was obtained from all individual participants included in the studies.

Conflict of Interest

The authors declare no competing interests.
Open AccessThis article is licensed under a Creative Commons Attribution 4.0 International License, which permits use, sharing, adaptation, distribution and reproduction in any medium or format, as long as you give appropriate credit to the original author(s) and the source, provide a link to the Creative Commons licence, and indicate if changes were made. The images or other third party material in this article are included in the article's Creative Commons licence, unless indicated otherwise in a credit line to the material. If material is not included in the article's Creative Commons licence and your intended use is not permitted by statutory regulation or exceeds the permitted use, you will need to obtain permission directly from the copyright holder. To view a copy of this licence, visit http://​creativecommons.​org/​licenses/​by/​4.​0/​.

Publisher's Note

Springer Nature remains neutral with regard to jurisdictional claims in published maps and institutional affiliations.

Onze productaanbevelingen

BSL Psychologie Totaal

Met BSL Psychologie Totaal blijf je als professional steeds op de hoogte van de nieuwste ontwikkelingen binnen jouw vak. Met het online abonnement heb je toegang tot een groot aantal boeken, protocollen, vaktijdschriften en e-learnings op het gebied van psychologie en psychiatrie. Zo kun je op je gemak en wanneer het jou het beste uitkomt verdiepen in jouw vakgebied.

BSL Academy Accare GGZ collective

BSL GOP_opleiding GZ-psycholoog

share
DELEN

Deel dit onderdeel of sectie (kopieer de link)

  • Optie A:
    Klik op de rechtermuisknop op de link en selecteer de optie “linkadres kopiëren”
  • Optie B:
    Deel de link per e-mail
Titel
Unraveling Heterogeneities in Mindfulness Profiles: a Review and Latent Profile Analysis of the Five Facet Mindfulness Questionnaire Short-Form (FFMQ-SF) in the Spanish Population
Auteurs
Oscar Lecuona
Carlos García-Rubio
Sara de Rivas
Jennifer E. Moreno-Jiménez
Raquel Rodríguez-Carvajal
Publicatiedatum
12-07-2022
Uitgeverij
Springer US
Gepubliceerd in
Mindfulness / Uitgave 8/2022
Print ISSN: 1868-8527
Elektronisch ISSN: 1868-8535
DOI
https://doi.org/10.1007/s12671-022-01939-y

Supplementary Information

Below is the link to the electronic supplementary material.
go back to reference Amir, I., Ruimi, L., & Bernstein, A. (2021). Simulating thoughts to measure and study internal attention in mental health. Scientific Reports, 11, 2251. https://​doi.​org/​10.​1038/​s41598-021-81756-wCrossRefPubMedCentralPubMed
go back to reference Anālayo, B. (2020). The myth of McMindfulness. Mindfulness, 11(2), 472–479. https://​doi.​org/​10.​1007/​s12671-019-01264-xCrossRef
go back to reference Asensio-Martínez, Á., Masluk, B., Montero-Marin, J., Olivan-Blázquez, B., Navarro-Gil, M. T., García-Campayo, J., & Magallón-Botaya, R. (2019). Validation of Five Facets Mindfulness Questionnaire – Short form, in Spanish, general health care services patients sample: Prediction of depression through mindfulness scale. PLoS ONE, 14(4), 1–17. https://​doi.​org/​10.​1371/​journal.​pone.​0214503CrossRef
go back to reference Baer, R. A. (2019). Assessment of mindfulness by self-report. Current Opinion in Psychology, 28, 42–48. https://​doi.​org/​10.​1016/​j.​copsyc.​2018.​10.​015CrossRefPubMed
go back to reference Baer, R. A., Smith, G. T., Hopkins, J., Krietemeyer, J., & Toney, L. (2006). Using self-report assessment methods to explore facets of mindfulness. Assessment, 13(1), 27–45. https://​doi.​org/​10.​1177/​1073191105283504​CrossRefPubMed
go back to reference Baer, R. A., Smith, G. T., Lykins, E., Button, D., Krietemeyer, J., Sauer, S., Walsh, E., Duggan, D., & Williams, J. M. G. (2008). Construct validity of the five facet mindfulness questionnaire in meditating and nonmeditating samples. Assessment, 15(3), 329–342. https://​doi.​org/​10.​1177/​1073191107313003​CrossRefPubMed
go back to reference Baminiwatta, A., & Solangaarachchi, I. (2021). Trends and developments in mindfulness research over 55 years: A bibliometric analysis of publications indexed in Web of Science. Mindfulness, 12(9), 2099–2116. https://​doi.​org/​10.​1007/​s12671-021-01681-xCrossRefPubMedCentralPubMed
go back to reference Bernstein, A., Hadash, Y., & Fresco, D. M. (2019). Metacognitive processes model of decentering: Emerging methods and insights. Current Opinion in Psychology, 28, 245–251. https://​doi.​org/​10.​1016/​j.​copsyc.​2019.​01.​019CrossRefPubMedCentralPubMed
go back to reference Bodhi, B. (2011). What does mindfulness really mean? A canonical perspective. Contemporary Buddhism, 12(1), 19–39. https://​doi.​org/​10.​1080/​14639947.​2011.​564813CrossRef
go back to reference Bohlmeijer, E., Klooster, P. M., Fledderus, M., Veehof, M., & Baer, R. (2011). Psychometric properties of the five facet mindfulness questionnaire in depressed adults and development of a short form. Assessment, 18(3), 308–320. https://​doi.​org/​10.​1177/​1073191111408231​CrossRefPubMed
go back to reference Bravo, A. J., Boothe, L. G., & Pearson, M. R. (2016). Getting personal with mindfulness: A latent profile analysis of mindfulness and psychological outcomes. Mindfulness, 7(2), 420–432. https://​doi.​org/​10.​1007/​s12671-015-0459-7CrossRef
go back to reference Bravo, A. J., Pearson, M. R., & Kelley, M. L. (2018). Mindfulness and psychological health outcomes: A latent profile analysis among military personnel and college students. Mindfulness, 9(1), 258–270. https://​doi.​org/​10.​1007/​s12671-017-0771-5CrossRefPubMed
go back to reference Bronchain, J., Raynal, P., & Chabrol, H. (2021). Dispositional mindfulness profiles and cannabis use in young adults. Journal of Rational-Emotive & Cognitive-Behavior Therapy, 39(4), 509–521. https://​doi.​org/​10.​1007/​s10942-020-00382-zCrossRef
go back to reference Calvete, E., Fernández-González, L., Echezarraga, A., & Orue, I. (2019). Dispositional mindfulness profiles in adolescents and their associations with psychological functioning and hypothalamic-pituitary-adrenal axis hormones. Journal of Youth and Adolescence, 49, 1406–1419. https://​doi.​org/​10.​1007/​s10964-019-01128-6CrossRefPubMed
go back to reference Carpenter, J. K., Conroy, K., Gomez, A. F., Curren, L. C., & Hofmann, S. G. (2019). The relationship between trait mindfulness and affective symptoms: A meta-analysis of the Five Facet Mindfulness Questionnaire (FFMQ). Clinical Psychology Review, 74, 101785. https://​doi.​org/​10.​1016/​j.​cpr.​2019.​101785CrossRefPubMedCentralPubMed
go back to reference Christopher, M. S., Woodrich, L. E., & Tiernan, K. A. (2014). Using cognitive interviews to assess the cultural validity of state and trait measures of mindfulness among zen buddhists. Mindfulness, 5(2), 145–160. https://​doi.​org/​10.​1007/​s12671-012-0160-zCrossRefPubMed
go back to reference Cohen, S., Kamarck, T., & Mermelstein, R. (1983). A global measure of perceived stress. Journal of Health and Social Behavior, 24, 385–396. https://​doi.​org/​10.​2307/​2136404CrossRefPubMed
go back to reference Cortazar, N., & Calvete, E. (2019). Dispositional mindfulness and its moderating role in the predictive association between stressors and psychological symptoms in adolescents. Mindfulness, 10(10), 2046–2059. https://​doi.​org/​10.​1007/​s12671-019-01175-xCrossRef
go back to reference Creswell, J. D. (2017). Mindfulness interventions. Annual Review of Psychology, 68, 491–516. https://​doi.​org/​10.​1146/​annurev-psych-042716-051139CrossRefPubMed
go back to reference Daza, P., Novy, D. M., Stanley, M. A., & Averill, P. (2002). The depression anxiety stress scale-21: Spanish translation and validation with a Hispanic sample. Journal of Psychopathology and Behavioral Assessment, 24(3), 195–205. https://​doi.​org/​10.​1023/​A:​1016014818163CrossRef
go back to reference Desbordes, G., Gard, T., Hoge, E. A., Hölzel, B. K., Kerr, C., Lazar, S. W., Olendzki, A., & Vago, D. R. (2015). Moving beyond mindfulness: Defining equanimity as an outcome measure in meditation and contemplative research. Mindfulness, 6(2), 356–372. https://​doi.​org/​10.​1007/​s12671-013-0269-8CrossRef
go back to reference Diehl, J. M., Rodriguez-Seijas, C., Thompson, J. S., Dalrymple, K., Chelminski, I., & Zimmerman, M. (2021). Exploring the optimal factor structure of the Five Facet Mindfulness Questionnaire: Associations between mindfulness facets and dimensions of psychopathology.Journal of Personality Assessment, 1–11. https://​doi.​org/​10.​1080/​00223891.​2021.​1998080
go back to reference Faul, F., Erdfelder, E., Buchner, A., & Lang, A. (2009). Statistical power analyses using G*Power 3.1: Tests for correlation and regression analyses. Behavior Research Methods, 41, 1149–1160. https://​doi.​org/​10.​3758/​BRM.​41.​4.​1149CrossRefPubMed
go back to reference Ferguson, S. L. G., Moore, E. W., & Hull, D. M. (2020). Finding latent groups in observed data: A primer on latent profile analysis in Mplus for applied researchers. International Journal of Behavioral Development, 44(5), 458–468. https://​doi.​org/​10.​1177/​0165025419881721​CrossRef
go back to reference Ford, C. G., Wilson, J. M., Altman, N., Strough, J. N., & Shook, N. J. (2020). Profiles of mindfulness across adulthood. Mindfulness, 11, 1557–1569. https://​doi.​org/​10.​1007/​s12671-020-01372-zCrossRef
go back to reference Fresco, D. M., Moore, M. T., van Dulmen, M. H. M., Segal, Z. V., Ma, S. H., Teasdale, J. D., & Williams, J. M. G. (2007). Initial psychometric properties of the experiences questionnaire: Validation of a self-report measure of decentering. Behavior Therapy, 38(3), 234–246. https://​doi.​org/​10.​1016/​j.​beth.​2006.​08.​003CrossRefPubMed
go back to reference Galante, J., Friedrich, C., Dawson, A. F., Modrego-Alarcón, M., Gebbing, P., Delgado-Suárez, I., Gupta, R., Dean, L., Dalgleish, T., White, I. R., & Jones, P. B. (2021). Mindfulness-based programmes for mental health promotion in adults in non-clinical settings: A systematic review and meta-analysis of randomised controlled trials. PLoS Medicine, 18(1), e1003481. https://​doi.​org/​10.​1371/​journal.​pmed.​1003481CrossRefPubMedCentralPubMed
go back to reference Garcia-Campayo, J., Navarro-Gil, M., Andrés, E., Montero-Marin, J., López-Artal, L., & Demarzo, M. M. P. (2014). Validation of the Spanish versions of the long (26 items) and short (12 items) forms of the Self-Compassion Scale (SCS). Health and Quality of Life Outcomes, 12, 4. https://​doi.​org/​10.​1186/​1477-7525-12-4CrossRefPubMedCentralPubMed
go back to reference Goldberg, S. B., Wielgosz, J., Dahl, C., Schuyler, B., MacCoon, D. S., Rosenkranz, M., Lutz, A., Sebranek, C. A., & Davidson, R. J. (2015). Does the five facet mindfulness questionnaire measure what we think it does? Construct validity evidence from an active controlled randomized clinical trial. Psychological Assessment, 28(8), 1009–1014. https://​doi.​org/​10.​1037/​pas0000233CrossRefPubMedCentralPubMed
go back to reference Goldberg, S. B., Tucker, R. P., Greene, P. A., Simpson, T. L., Kearney, D. J., & Davidson, R. J. (2017). Is mindfulness research methodology improving over time? A systematic review. PLoS ONE, 12(10), e0187298. https://​doi.​org/​10.​1371/​journal.​pone.​0187298CrossRefPubMedCentralPubMed
go back to reference Gómez-Odriozola, J., & Calvete, E. (2021). The role of dispositional mindfulness profiles as predictors of sleep problems through rumination in adolescents over time. Personality and Individual Differences, 180, 110966. https://​doi.​org/​10.​1016/​j.​paid.​2021.​110966CrossRef
go back to reference Gu, J., Karl, A., Baer, R., Strauss, C., Barnhofer, T., & Crane, C. (2020). Latent profile analysis of the Five Facet Mindfulness Questionnaire in a sample with a history of recurrent depression. Assessment, 27(1), 149–163. https://​doi.​org/​10.​1177/​1073191117715114​CrossRefPubMed
go back to reference Hervás, G., & Vázquez, C. (2013). Construction and validation of a measure of integrative well-being in seven languages: The Pemberton Happiness Index. Health and Quality of Life Outcomes, 11, 66. https://​doi.​org/​10.​1186/​1477-7525-11-66CrossRefPubMedCentralPubMed
go back to reference Hu, L., & Bentler, P. M. (1999). Cut-off criteria for fit indexes in covariance structure analysis: Conventional criteria versus new alternatives. Structural Equation Modeling: A Multidisciplinary Journal, 6(1), 1–55. https://​doi.​org/​10.​1080/​1070551990954011​8CrossRef
go back to reference Huss, B. (2014). Spirituality: The emergence of a new cultural category and its challenge to the religious and the secular. Journal of Contemporary Religion, 29(1), 47–60. https://​doi.​org/​10.​1080/​13537903.​2014.​864803CrossRef
go back to reference Isbel, B., & Summers, M. J. (2017). Distinguishing the cognitive processes of mindfulness: Developing a standardized mindfulness technique for use in longitudinal randomized control trials. Consciousness and Cognition, 52, 75–92. https://​doi.​org/​10.​1016/​j.​concog.​2017.​04.​019CrossRefPubMed
go back to reference Isbel, B., Stefanidis, K., & Summers, M. J. (2020). Assessing mindfulness: Experimental support for the discriminant validity of breath counting as a measure of mindfulness but not self-report questionnaires. Psychological Assessment, 32(12), 1184–1190. https://​doi.​org/​10.​1037/​pas0000957CrossRefPubMed
go back to reference Jamovi project. (2020). jamovi (Version 1.6) [Computer Software]. Retrieved from https://​www.​jamovi.​org. Accessed 08/07/2022
go back to reference Jasp Team (2020). jasp (version 0.13.1) [Computer software] (0.13.1). https://​jasp.​stats.​org/​
go back to reference Jung, T., & Wickrama, K. A. (2008). An introduction to latent class growth analysis and growth mixture modeling. Social and Personality Psychology Compass, 2(1), 302–317. https://​doi.​org/​10.​1111/​j.​1751-9004.​2007.​00054.​xCrossRef
go back to reference Kabat-Zinn, J. (1990). Full catastrophe living: Using the wisdom of your body and mind to face stress, pain, and illness. Bantam Dell.
go back to reference Karl, J. A., Méndez Prado, S. M., Gračanin, A., Verhaegen, P., Ramos, A., Prasun Mandal, S., Michalak, J., Zhang, C.-Q., Schmidt, C., Tran, U. S., Druica, E., Solem, S., Astani, A., Liu, X., Luciano, J. V., Tkalčić, M., Lilja, J. L., Dundas, I., Wong, S.Y.-S., & Fischer, R. (2020). The cross-cultural validity of the Five-Facet Mindfulness Questionnaire across 16 countries. Mindfulness, 11, 1226–1237. https://​doi.​org/​10.​1007/​s12671-020-01333-6CrossRef
go back to reference Kelley, K. (2007). Methods for the behavioral, educational, and social sciences: An R package. Behavior Research Methods, 39(4), 979–984. https://​doi.​org/​10.​3758/​BF03192993CrossRefPubMed
go back to reference Kimmes, J. G., Durtschi, J. A., & Fincham, F. D. (2017). Perception in romantic relationships: A latent profile analysis of trait mindfulness in relation to attachment and attributions. Mindfulness, 8(5), 1328–1338. https://​doi.​org/​10.​1007/​s12671-017-0708-zCrossRef
go back to reference Kraus, S., & Sears, S. (2009). Measuring the immeasurables: Development and initial validation of the self-other four immeasurables (SOFI) scale based on Buddhist teachings on loving-kindness, compassion, joy, and equanimity. Social Indicators Research, 92(1), 169–181. https://​doi.​org/​10.​1007/​s11205-008-9300-1CrossRef
go back to reference Lam, K. F. Y., Lim, H. A., Kua, E. H., Griva, K., & Mahendran, R. (2018). Mindfulness and cancer patients’ emotional states: A latent profile analysis among newly diagnosed cancer patients. Mindfulness, 9(2), 521–533. https://​doi.​org/​10.​1007/​s12671-017-0794-yCrossRef
go back to reference Lecuona, O., García-Garzón, E., García-Rubio, C., & Rodríguez-Carvajal, R. (2020). A psychometric review and conceptual replication study of the Five Facets Mindfulness Questionnaire latent structure. Assessment, 27(5), 859–872. https://​doi.​org/​10.​1177/​1073191119873718​CrossRefPubMed
go back to reference Lecuona, O., García-Rubio, C., de Rivas, S., Moreno-Jiménez, J. E., & Rodríguez-carvajal, R. (2021). A network analysis of the Five Facet Mindfulness Questionnaire. Mindfulness, 12, 2281–2294. https://​doi.​org/​10.​1007/​s12671-021-01704-7CrossRef
go back to reference Lilja, J. L., Lundh, L. G., Josefsson, T., & Falkenström, F. (2013). Observing as an essential facet of mindfulness: A comparison of FFMQ patterns in meditating and non-meditating individuals. Mindfulness, 4(3), 203–212. https://​doi.​org/​10.​1007/​s12671-012-0111-8CrossRef
go back to reference Lovibond, P. F., & Lovibond, S. H. (1995). The structure of negative emotional states: Comparison of the Depression Anxiety Stress Scales (DASS) with the Beck depression and anxiety inventories. Behaviour Research and Therapy, 33(3), 335–343. https://​doi.​org/​10.​1016/​0005-7967(94)00075-UCrossRefPubMed
go back to reference Lundwall, C., Fairborn, S., Quinones-Camacho, L., Estep, J., & Davis, E. (2019). Self-regulation mechanisms explain how dispositional mindfulness promotes well-being. Journal of Positive School Psychology, 3(2), 153–164.
go back to reference MAPPG. (2015). Mindful Nation UK. In The Mindfulness All-Party Parliamentary Group (Issue October). Retrieved from: https://​www.​themindfulnessin​itiative.​org/​mindful-nation-report. Accessed 08/07/2022
go back to reference Marques, D. R., Gomes, A. A., & Pereira, A. S. (2020). Mindfulness profiles in a sample of self-reported sleep disturbance individuals. Journal of Contextual Behavioral Science, 15, 219–224. https://​doi.​org/​10.​1016/​j.​jcbs.​2020.​01.​008CrossRef
go back to reference Mattes, J. (2019). Systematic review and meta-analysis of correlates of FFMQ mindfulness facets. Frontiers in Psychology, 10, 2684. https://​doi.​org/​10.​3389/​fpsyg.​2019.​02684CrossRefPubMedCentralPubMed
go back to reference Medvedev, O. N., Titkova, E. A., Siegert, R. J., Hwang, Y. S., & Krägeloh, C. U. (2018). Evaluating short versions of the Five Facet Mindfulness Questionnaire using Rasch analysis. Mindfulness, 9(5), 1411–1422. https://​doi.​org/​10.​1007/​s12671-017-0881-0CrossRef
go back to reference Muthén, B. (2004). Latent variable analysis: Growth mixture modeling and related techniques for longitudinal data. In D. Kaplan (Ed.), Handbook of quantitative methodology for the social sciences (pp. 345–368). Sage. https://​doi.​org/​10.​4135/​9781412986311.​n19
go back to reference Nagin, D. S. (2005). Group-based modeling of development. Harvard University Press.CrossRef
go back to reference Neff, K. (2003). Self-compassion: An alternative conceptualization of a healthy attitude toward oneself. Self and Identity, 2(2), 85–101. https://​doi.​org/​10.​1080/​15298860309032CrossRef
go back to reference Nelson, L. D., Simmons, J., & Simonsohn, U. (2018). Psychology’s renaissance. Annual Review of Psychology, 69, 511–534. https://​doi.​org/​10.​1146/​annurev-psych-122216-011836CrossRefPubMed
go back to reference Nilsson, H., & Kazemi, A. (2016). Reconciling and thematizing definitions of mindfulness: The big five of mindfulness. Review of General Psychology, 20(2), 183–193. https://​doi.​org/​10.​1037/​gpr0000074CrossRef
go back to reference Pearson, M. R., Lawless, A. K., Brown, D. B., & Bravo, A. J. (2015). Mindfulness and emotional outcomes: Identifying subgroups of college students using latent profile analysis. Personality and Individual Differences, 76, 33–38. https://​doi.​org/​10.​1016/​j.​paid.​2014.​11.​009CrossRefPubMedCentralPubMed
go back to reference Petranker, R., & Eastwood, J. D. (2021). Sitting with it: An investigation of the relationship between trait mindfulness and sustained attention. Consciousness and Cognition, 90, 103101. https://​doi.​org/​10.​1016/​j.​concog.​2021.​103101CrossRefPubMed
go back to reference Purser, R. E. (2019). McMindfulness: How mindfulness became the new capitalist spirituality. Repeater.
go back to reference Development Core Team, R. (2020). R: A language and environment for statistical computing (4.0.3). R Foundation for Statistical Computing. http://​www.​r-project.​org/​
go back to reference Raes, F., Pommier, E., Neff, K. D., & Van Gucht, D. (2011). Construction and factorial validation of a short form of the Self-Compassion Scale. Clinical Psychology & Psychotherapy, 18(3), 250–255. https://​doi.​org/​10.​1002/​cpp.​702CrossRef
go back to reference Remor, E. (2006). Psychometric properties of a European Spanish version of the Perceived Stress Scale (PSS). The Spanish Journal of Psychology, 9(1), 86–93. https://​doi.​org/​10.​1017/​S113874160000600​4CrossRefPubMed
go back to reference Rindfleish, J. (2005). Consuming the self: New age spirituality as “social product” in consumer society. Consumption Markets & Culture, 8(4), 343–360. https://​doi.​org/​10.​1080/​1025386050024193​0CrossRef
go back to reference Rodríguez-Carvajal, R., García-Rubio, C., Paniagua, D., García-Diex, G., & De Rivas, S. (2016). Mindfulness integrative model (MIM): Cultivating positive states of mind towards oneself and the others through mindfulness and self-compassion. Anales De Psicologia, 32(3), 749–760. https://​doi.​org/​10.​6018/​analesps.​32.​3.​261681CrossRef
go back to reference Rosenberg, J. M., Beymer, P., Anderson, D., van Lissa, C. J., & Schmidt, J. (2018). tidyLPA: An R package to easily carry out Latent Profile Analysis (LPA) using open-source or commercial software. Journal of Open Source Software, 3(30), 978. https://​doi.​org/​10.​21105/​joss.​00978CrossRef
go back to reference Rosenberg, J. M., van Lissa, C. J., Beymer, P. N., Anderson, D. J., Schell, M. J., & Schmidt, J. A. (2019). tidyLPA: Easily carry out Latent Profile Analysis (LPA) using open-source or commercial software [R package]. Retrieved from: https://​data-edu.​github.​io/​tidyLPA/​. Accessed 08/07/2022
go back to reference Rosseel, Y. (2012). lavaan: An R package for structural equation modeling. Journal of Statistical Software, 48(2), 1–36. Retrieved from: http://​www.​jstatsoft.​org/​v48/​i02/​. Accessed 08/07/2022
go back to reference Sahdra, B. K., Ciarrochi, J., Parker, P. D., Basarkod, G., Bradshaw, E. L., & Baer, R. (2017). Are people mindful in different ways? Disentangling the quantity and quality of mindfulness in latent profiles and exploring their links to mental health and life effectiveness. European Journal of Personality, 31(4), 347–365. https://​doi.​org/​10.​1002/​per.​2108CrossRef
go back to reference Shepherd, K. A., Coifman, K. G., Matt, L. M., & Fresco, D. M. (2016). Development of a self-distancing task and initial validation of responses. Psychological Assessment, 28(7), 841–855. https://​doi.​org/​10.​1037/​pas0000297CrossRefPubMedCentralPubMed
go back to reference Slemp, G. R., Jach, H. K., Chia, A., Loton, D. J., & Kern, M. L. (2019). Contemplative interventions and employee distress: A meta-analysis. Stress and Health, 35(3), 227–255. https://​doi.​org/​10.​1002/​smi.​2857CrossRefPubMed
go back to reference Soler, J., Franquesa, A., Feliu-Soler, A., Cebolla, A., García-Campayo, J., Tejedor, R., Demarzo, M., Baños, R., Pascual, J. C., & Portella, M. J. (2014). Assessing decentering: Validation, psychometric Properties, and clinical usefulness of the experiences questionnaire in a Spanish sample. Behavior Therapy, 45(6), 863–871. https://​doi.​org/​10.​1016/​j.​beth.​2014.​05.​004CrossRefPubMed
go back to reference Spurk, D., Hirschi, A., Wang, M., Valero, D., & Kauffeld, S. (2020). Latent profile analysis: A review and “how-to” guide of its application within vocational behavior research. Journal of Vocational Behavior, 120, 103445. https://​doi.​org/​10.​1016/​j.​jvb.​2020.​103445CrossRef
go back to reference Stanmyre, J. F., Mills, D. J., Anthony, W. L., & Nower, L. (2022). Mindfulness profiles among gamblers: Exploring differences in gambling behaviors, motivations, cognitions, and mental health. Mindfulness, 13, 339–350. https://​doi.​org/​10.​1007/​s12671-021-01791-6CrossRef
go back to reference Tein, J. Y., Coxe, S., & Cham, H. (2013). Statistical power to detect the correct number of classes in latent profile analysis. Structural Equation Modeling, 20(4), 640–657. https://​doi.​org/​10.​1080/​10705511.​2013.​824781CrossRefPubMedCentralPubMed
go back to reference Tran, U. S., Glück, T. M., & Nader, I. W. (2013). Investigating the Five Facet Mindfulness Questionnaire (FFMQ): Construction of a short form and evidence of a two-factor higher order structure of mindfulness. Journal of Clinical Psychology, 69(9), 951–965. https://​doi.​org/​10.​1002/​jclp.​21996CrossRefPubMed
go back to reference Trujillo, H. M., & Gonzalez-Cabrera, J. M. (2007). Psychometric properties of the Spanish version of the Perceived Stress Scale (PSS). Psicologia Conductual, 15(3), 457–477.
go back to reference Van Agteren, J., Iasiello, M., Lo, L., Bartholomaeus, J., Kopsaftis, Z., Carey, M., & Kyrios, M. (2021). A systematic review and meta-analysis of psychological interventions to improve mental well-being. Nature Human Behaviour, 5(5), 631–652. https://​doi.​org/​10.​1038/​s41562-021-01093-wCrossRefPubMed
go back to reference Van Dam, N. T., Van Vugt, M. K., Vago, D. R., Schmalzl, L., Saron, C. D., Olendzki, A., Meissner, T., Lazar, S. W., Kerr, C. E., Gorchov, J., Fox, K. C. R., Field, B. A., Britton, W. B., Brefczynski-Lewis, J. A., & Meyer, D. E. (2018). Mind the hype: A critical evaluation and prescriptive agenda for research on mindfulness and meditation. Perspectives on Psychological Science, 13(1), 36–61. https://​doi.​org/​10.​1177/​1745691617709589​CrossRefPubMed
go back to reference Vazire, S. (2018). Implications of the credibility revolution for productivity, creativity, and progress. Perspectives on Psychological Science, 13(4), 411–417. https://​doi.​org/​10.​1177/​1745691617751884​CrossRefPubMed
go back to reference Walsh, Z. (2016). A meta-critique of mindfulness critiques: from McMindfulness to critical mindfulness. In R. E. Purser, D. Forbes, & A. Burke (Eds.), Handbook of Mindfulness. Mindfulness in Behavioral Health. Springer. https://​doi.​org/​10.​1007/​978-3-319-44019-4_​11
go back to reference Wielgosz, J., Goldberg, S. B., Kral, T. R. A., Dunne, J. D., & Davidson, R. J. (2019). Mindfulness meditation and psychopathology. Annual Review of Clinical Psychology, 15, 285–316. https://​doi.​org/​10.​1146/​annurev-clinpsy-021815-093423CrossRefPubMed
go back to reference Williams, J. M., & Kabat-Zinn, J. (2013). Mindfulness: Diverse perspectives on its meaning, origins, and applications. Routledge.CrossRef
go back to reference Williams, G., & Kibowski, F. (2016). Latent class analysis and latent profile analysis. In D. S. Glenwick (Ed.), Handbook of methodological approaches to community-based research: Qualitative, quantitative, and mixed methods (pp. 143–152). Oxford University Press.
go back to reference Wright, R. (2017). Why Buddhism is true: The science and phlosophy of meditation and enlightenment. Simon & Schuster.
go back to reference Zhang, J., Deng, X., Huang, L., Zeng, H., Wang, L., & Wen, P. (2019). Profile of trait mindfulness and its association with emotional regulation for early adolescents. Personality and Individual Differences, 147, 12–17. https://​doi.​org/​10.​1016/​j.​paid.​2019.​04.​008CrossRef
go back to reference Zhu, L., Wang, J., & Schroevers, M. J. (2020). Looking beyond the value of individual facets of mindfulness: A person-centered examination of mindfulness. Mindfulness, 11(10), 2349–2359. https://​doi.​org/​10.​1007/​s12671-020-01452-0CrossRef