Ga naar de hoofdinhoud
Top

Three ‘driving forces’ behind the silence: Social anxiety, autism spectrum symptoms, and language difficulties as correlates of selective mutism in young children

  • Open Access
  • 25-02-2026
  • Original Paper

Abstract

Selective mutism (SM) is an early childhood condition characterized by a consistent lack of speech in challenging social settings (e.g., at school) despite normal speech in other undemanding situations (e.g., at home). This study aimed to examine the relationships between social anxiety, autistic traits, and language difficulties/delay on the one hand, and symptoms of SM on the other hand. Parents of 81 preschool children aged 3 to 6 years - recruited either from the general population (n = 52) or from a clinical setting/special online forum for parents of children with SM (n = 29) - completed the Selective Mutism Questionnaire, the social anxiety subscale of the Preschool Anxiety Scale), the Autism Spectrum Questionnaire, and the Early Language Scale. The results showed that social anxiety and autistic traits were both positively and significantly correlated with SM symptoms, while no significant correlation was found between language difficulties and SM symptoms. However, an additional analysis indicated that language delay was modestly and positively associated with SM symptoms. Regression analysis further revealed that both social anxiety and autistic traits were significant independent predictors, each uniquely contributing to the variance in SM symptom scores. Implications of these findings for the psychological assessment and treatment of children with suspected SM are discussed.

Publisher’s Note

Springer Nature remains neutral with regard to jurisdictional claims in published maps and institutional affiliations.

Introduction

Selective mutism (SM) is a childhood disorder characterized by an inability to speak in specific challenging social situations, while speech is normal in other less demanding settings. For instance, in a school context, a child with SM may not respond verbally to a teacher’s questions or requests, nor engage in verbal interactions with classmates, whereas at home the child speaks freely and confidently with family members (American Psychiatric Association, 2022; World Health Organization, 2022). However, this prototypical description should be interpreted in the light of the current understanding that psychiatric conditions, including SM, are dimensional rather than strictly categorical. Thus, some children with SM may occasionally exchange a few words with their teacher or whisper softly to a nearby friend in class, although their overall speech output remains clearly reduced compared to situations in which they feel more comfortable (Muris and Ollendick 2021a).
SM is a relatively rare disorder, with reported prevalence rates in non-clinical populations ranging between 0.03% and 2%, depending on the assessment method and specific participant characteristics (e.g., age range, immigrant status; Bergman et al., 2002; Elizur & Perednik, 2003; Karakaya et al., 2008; Kopp & Gillberg, 1997; Kumpulainen et al.,1998; Sharkey & McNicolas, 2012). Findings on gender differences are inconsistent: some studies indicate that SM is somewhat more prevalent in girls (Sharkey & McNicolas, 2012), whereas others report an equal gender distribution (Bergman et al., 2002) or even a higher prevalence in boys (Karakaya et al., 2008). SM typically has an early onset, most often emerging during the preschool years, although referrals frequently occur only after school entry (Viana et al., 2009). While the most severe manifestations often diminish over time, longitudinal studies have found that a substantial proportion of children diagnosed with SM continue to display shyness, reduced verbal output, and psychiatric problems – particularly anxiety disorders – during adolescence and adulthood (Koskela et al., 2023; Remschmidt et al., 2001; Steinhausen et al., 2006).
Research on the ‘driving forces’ behind the selective non-speaking of children with SM has focused on three main factors. The first factor, ‘anxiety’, is grounded in the premise that children refrain from speaking in specific situations because these settings elicit substantial fear and apprehension. Evidence consistently indicates that anxiety – and social anxiety in particular – plays a central role in SM (Muris & Ollendick, 2015). For example, Vogel et al. (2019) asked 65 children and adolescents with SM (aged 8–18 years) to describe their main fear in situations where they could not speak. The majority reported social-evaluative fears (i.e., apprehension about the negative evaluation or reactions by others). A follow-up questionnaire revealed that they endorsed social anxiety-related cognitions (e.g., “I don’t speak, because others might think I’m stupid” or “I don’t speak, because I think that others could laugh at me”) at levels comparable to peers diagnosed with social anxiety disorder. In a subsequent study, parent-based surveys indicated that children with SM not only experience fear and anxious cognitions, but also frequently engage in avoidance behaviors, actively attempting to escape or evade social situations that demand verbal responses (Vogel et al., 2024). Other studies have reported strong similarities in the clinical presentation of SM and social anxiety disorder (Manassis et al., 2003; Milic et al., 2020; Poole et al., 2021; Schwenck et al., 2021; Sharp et al., 2007; Yeganeh et al., 2006), and a meta-analysis by Driessen et al. (2020) found that the two conditions are frequently comorbid. In sum, this body of evidence highlights social anxiety as a prominent driving force in SM and supports its classification as an anxiety disorder in current psychiatric nosologies (American Psychiatric Association, 2022; World Health Organization, 2022).
The second factor implicated in SM is ‘autistic traits’, which refer to features of autism spectrum disorder (ASD), a neurodevelopmental condition characterized by aberrant brain development and functioning (Hirota & King, 2023). Muris and Ollendick (2021b) have argued that the core characteristics of ASD may contribute to the selective non-speaking observed in SM. Specifically, the persistent social communication and interaction difficulties experienced by individuals high on the autism spectrum can make it challenging for them to engage in verbal exchanges. In addition, restricted and repetitive behavior patterns, such as rigidity, sensory overstimulation, and demand avoidance, may further limit verbal expressiveness in certain social situations. Over the past decade, evidence supporting a role for ASD in SM has steadily grown.
For example, Steffenburg et al. (2018) retrospectively examined medical records of 97 clinically referred children with SM (aged 4–18 years) and found that 63% met DSM-IV (American Psychiatric Association, 1994) criteria for ASD, with an additional 20% displaying subclinical ASD symptoms. Similarly, Suzuki et al. (2020) compared children aged 4–11 years with SM, children with ASD, and typically developing peers using teacher ratings of autistic traits on the Autism Spectrum Quotient (Baron-Cohen et al., 2001). Children with SM received ratings comparable to those of the ASD group, and both groups scored significantly higher than the typically developing group. Finally, in a mixed clinical and non-clinical sample of 6- to 12-year-olds, Muris et al. (2024), found that children with SM scored as high on a parent-report autism screening tool as a clinical control group, many of whom had an official ASD diagnosis, and marked higher than typically developing peers. Additional analyses showed that 48% of the SM group scored in the highest 10% on the autism screen, with 28% exceeding the clinical cut-off (highest 2%). Altogether, these findings indicate that ASD and autistic traits represent another driving mechanism in SM, potentially contributing to its onset and maintenance (see also Iimura et al., 2024; Keville et al., 2023; Klein et al., 2019; Muris et al., 2021).
The third and final factor, referred to as ‘language difficulties’, relates to the idea that some children remain silent in certain situations due to discomfort stemming from language impairments. Research examining the link between SM and language difficulties is limited. Kristensen (2000) conducted an early investigation involving clinically referred children with SM aged 3–16 years (n = 54) and found that they were more likely to show delays in language development compared to age-, gender-, and socioeconomic status-matched non-clinical controls (n = 108; 51.9% vs. 11.1%). From a diagnostic perspective, half of the children with SM (50%) met DSM-IV criteria for a communication disorder (i.e., expressive language disorder, mixed receptive-expressive language disorder, and phonological disorder) compared with only 11.5% of controls. Subsequent studies using standardized language assessments (such as the Peabody Picture Vocabulary Test) have similarly identified language deficits among children with SM (Klein et al., 2012; Manassis et al., 2007; Nowakowski et al., 2009), particularly when evaluating more advanced and complex linguistic abilities. On the whole, this evidence suggests that language difficulties or delays may contribute to children’s muteness in specific contexts and thus play a role in the development of SM.
Overall, at least three factors have been identified as contributing to the selective non-speaking behavior of children with SM: social anxiety, autistic traits, and language difficulties (Muris and Ollendick 2015, 2021a, b). Most studies, however, have examined the relationship between each factor and SM in isolation, overlooking the fact.
Overlookig the fact that these factors are often interrelated. For instance, research shows that social anxiety frequently co-occurs in children with ASD (Spain et al., 2018) and is also common among young people with language impairments (Brownlie et al., 2016; Voci et al., 2006). Similarly, ASD is associated with a delayed language development and deficits in both language comprehension and expression (Georgiou & Spanoudis, 2021).
Few studies have investigated the relative contributions of social anxiety, autistic traits, and language deficits to SM symptoms. One exception is a study by Manassis et al. (2007) which examined the additive effects of social anxiety and language deficits in 44 children with SM aged 6–10 years, finding that both factors explained a significant portion of the variance in SM symptoms. Starke (2018) conducted a longitudinal study of 30 preschool children at risk for SM over a period of nine months and found that anxiety was the strongest predictor of non-speaking behavior, whereas the effect of language difficulties did not reach statistical significance. More recently, Muris et al. (2021, 2024) explored the unique contributions of social anxiety and autistic traits in two samples of preschool (N = 172) and primary school children (N = 169), including some clinically referred participants. Their findings indicated that social anxiety accounted for most of the variance in SM symptoms, but autistic traits also made a distinct, independent contribution.
From a developmental psychopathology perspective, it is important to recognize that SM may arise through equifinality – that is, different pathways can lead to the same behavioral outcome (Cicchetti, 2016). Identifying the relevant contributing factors has direct clinical relevance, as it can refine diagnostic assessments and support the tailoring of interventions to individual profiles. As noted above, previous studies have examined the distinct roles of social anxiety and language difficulties (Manassis et al., 2007; Starke, 2018), as well as social anxiety and ASD-related traits (Muris et al., 2021, 2024). However, to date, no study has investigated the relative contributions of all three potential ‘driving’ factors – social anxiety, autistic traits, and language difficulties – to SM symptoms. The present investigation aimed to fill this research gap. An online survey was administered to parents of preschool children aged 3 to 6 years (N = 81), recruited either from the general population (n = 52) or a clinical setting/special online forum for parents of children with SM (n = 29). The survey included questionnaires measuring SM symptoms as well as the three hypothesized contributing factors: social anxiety, autistic traits, and language difficulties/delay. It was hypothesized that each factor would be positively associated with SM symptomatology. In addition, regression analyses were conducted to examine the unique contributions of the three factors. It was predicted that social anxiety would account for a significant and substantial proportion of the variance in SM symptoms, whereas autistic traits and language difficulties were expected to make smaller, but still significant unique contributions.

Method

Participants

The sample consisted of 81 parents of children aged 3–6 years (40 girls and 41 boys; M age = 4.35 years, SD = 1.01). The age distribution was as follows: 18 children were 3 years old, 31 were 4 years old, 18 were 5 years old, and 14 were 6 years old. All parents were native Dutch speaking residents of the Netherlands. Parents were recruited in four ways: (1) Eleven parents responded to an invitation distributed through school for a study on ‘children who sometimes do not speak’, (2) Forty-one parents were recruited via snowball sampling within the acquaintance networks of the researchers, (3) Twenty-four parents responded to a call posted on the social media platform of Eustache Sollman, a Dutch clinical expert on SM (www.breekdestilte.nl) who provides psycho-education and counseling to parents of children with this condition, and (4) Five parents were approached in an outpatient treatment clinic where they sought help for their child due to suspected SM. Based on these recruitment methods, two groups were formed: a non-clinical sample (n = 52, recruited via schools or acquaintance networks), and a (sub)clinical sample (n = 29, recruited via the SM expert platform or clinical facility).

Procedure

The procedure was similar for all participants. Parents first received an information letter explaining the objectives and methodology of the study. Importantly, they were informed that participation was open even if their child did not exhibit speaking difficulties, as the study sought to include symptomatic and non-symptomatic cases. This was especially relevant for participants recruited via schools and the acquaintance network of the researchers. These non-symptomatic cases served as a non-clinical comparison group for children with (sub)clinical symptoms of SM, reflecting the dimensional nature of developmental and psychological phenomena such as SM, social anxiety, autistic traits, and language difficulties. The only exclusion criterion was not being between 3 and 6 years of age, meaning that participation was limited to children in that age range. Parents who agreed to participate signed the informed consent form and received an online link to the Qualtrics survey. The survey included basic demographic questions (child’s age, sex, nationality, and home language) and four standardized questionnaires that assessed the key variables of the study: SM (Selective Mutism Questionnaire), social anxiety (subscale of the Preschool Anxiety Scale), autistic traits (Autism Spectrum Questionnaire), and language difficulties/delay (Early Language Scale). The survey completion time ranged from 10 to 20 min. No monetary compensation was provided, but participants could leave an email address to receive a summary of the study results. This research project was officially approved by the Ethical Research Committee of Psychology and Neuroscience (Protocol No. ERCPN 242_122_09_2021).

Measures

Selective Mutism Questionnaire (SMQ)

The SMQ (Bergman et al., 2008) is a widely used parent-report measure assessing children’s speech frequency across different settings, including school, at home or with family, and in other social situations. The SMQ consists of 17 items (e.g., “When appropriate, my child talks to most peers at school”) rated on a 4-point scale from 0 (never) to 3 (always). Item scores are summed to yield a total score, which was reverse-coded in the present study so that higher scores reflected higher levels of SM symptoms. Following Rodrigues Pereira et al. (2024), a cut-off score of 13 was used to identify children at high risk for SM. The SMQ has demonstrated robust reliability and validity across multiple countries (Bergman et al., 2008; Letamendi et al., 2008; Oerbeck et al., 2020; Olivares-Olivares et al., 2021; Rodrigues Pereira et al., 2024). In the present study, the SMQ showed excellent internal consistency, with Cronbach’s alpha = 0.96.

Preschool Anxiety Scale (PAS)

Social anxiety symptoms were measured using the social anxiety subscale of the PAS (Spence et al., 2001). This six-item subscale measures young children’s social-evaluative sensitivities (e.g., “My child worries that he/she will do something to look stupid in front of other people”, “Is afraid to go up to a group of children to join their activities”). Parents are asked to rate each item on a 5-point scale from 0 (not at all true) to 4 (very often true). A total score can be obtained by summing ratings across all items, with higher scores reflecting higher symptom levels of social anxiety. There is abundant support for the psychometric qualities of the PAS (Benga et al., 2010; Broeren & Muris, 2008; Spence et al., 2001; Orgilés et al., 2018). A cut-off score of 11 can be used to identify children with high versus low levels of social anxiety (www.scaswebsite.com). In this study, the PAS social anxiety subscale showed high internal consistency, with a Cronbach’s alpha coefficient of 0.93.

Autism Spectrum Questionnaire (ASQ)

The ASQ (Van der Ploeg & Scholte, 2014) is a parent-report screening tool for autistic traits, consisting of two 12-item subscales: (1) interactive and communicative skills (e.g., “My child recognizes how others feel or what they think”, “My child senses when someone else needs help”), which corresponds directly to the social communication and interaction deficits characteristic of ASD; and (2) restrictive and repetitive behaviors (e.g., “My child finds it difficult to switch tasks”, “My child sometimes suffers from strange, repeating behaviors”), which represent atypical sensory responses and intense and atypical interests and activities associated with ASD. Parents rate each item on a 5-point scale (1 = not at all true for my child; 5 = very much true for my child). For the interactive and communicative skills subscale, ratings are reversed so that higher scores indicate greater difficulties. Scores are summed to produce subscale totals and an overall total score. Psychometric evaluations indicate that the ASQ is highly reliable, with Cronbach’s alphas around 0.90 and test-retest correlations between 0.84 and 0.91. It has also demonstrated strong validity: in a sample of 254 children with ASD and 1,569 typically developing children, the ASQ total score distinguished between groups with 85% sensitivity, 91% specificity, 9% false positives, and 15% false negatives, and correlated strongly (r = .73) with an alternative measure of ASD symptoms (Van der Ploeg & Scholte, 2014). In the current study, we used a cut-off score of 70 for the ASQ total score to identify children in the highest 10% of autistic traits. Internal consistency in our sample was good, with Cronbach’s alphas of 0.88 for interactive-communicative difficulties, 0.85 for restrictive-repetitive behaviors, and 0.89 for total autistic traits.

Early Language Scale (ELS)

The ELS (Bochane, 2021) is a parent-based rating scale designed to identify language difficulties in children aged 1 to 6 years. It comprises 26 dichotomous (yes/no) items that assess developmentally ordered milestones in both language comprehension (e.g., “Does your child understand when you ask him/her something? For example: Shall we read a book?”) and language production, including vocabulary (e.g., “Can your child name four or more pictures of animals? For example: dog, cat, horse, cow”) and grammar (e.g., “Does your child make good past tense forms? For example: ‘drunk’ instead of ‘dranked’”). In the present study, two scores were derived from the ELS: (1) a total language difficulties score, reflecting the number of items for which parents indicated that the child had not reached the language milestone, and (2) a categorical variable of language delay, which accounted for the child’s age to determine whether the number of failed milestones was age-appropriate (indicating no language delay) or exceeded expectations (potential language delay). Nonparametric Item Response Theory analyses have demonstrated that the 26 ELS milestones are highly scalable and constitute a strong unidimensional measure (Visser-Bochane et al., 2020). Comparisons with an extended battery of language tests indicated that the ELS has reasonable sensitivity (0.63) and excellent specificity (0.93) (Visser-Bochane et al., 2021). In this study, the ELS demonstrated a Cronbach’s alpha of 0.54, indicating limited internal consistency.

Statistical analyses

The Statistical Package for the Social Sciences (SPSS, version 25) was used to compute descriptive statistics for all questionnaires, including means, standard deviations, and Cronbach’s alpha reliability coefficients. Independent samples t-test were conducted to compare non-clinical and (sub)clinical groups, and correlations among the primary constructs were calculated. The graphs-chart builder function was used to create grouped scatterplots illustrating correlations between SM symptoms (SMQ) on the one hand, and social anxiety (PAS), autistic traits (ASQ), and language difficulties (ELS) on the other hand. Associations between categorical indicators of SM and other constructs were also examined by means of chi square analyses. Children with and without (high risk of) SM were identified using Rodrigues Pereira et al.’s (2024) clinical cut-off score for the SMQ. Finally, linear regression analyses were performed to examine the unique contributions of social anxiety, autistic traits, and language difficulties in predicting SM symptom severity. Additionally, binary logistic regression analyses assessed whether categorical indicators of social anxiety, autistic traits, and language delay (based on established cut-offs) independently predicted SM status according to the SMQ clinical threshold.

Results

General findings

Before presenting the main results, several general findings are worth noting. First, tests of normality indicated that all assessed variables were somewhat positively skewed – a common pattern for psychopathology indices; Hopwood et al., 2023) – with the exception of the ELS, which showed notably high skewness and kurtosis values (i.e., 1.58 and 2.30). Second, unpaired t-tests revealed no significant sex differences across any of the variables [all t(79)’s ≤ 1.16, p’s ≥ 0.25]. Third, in the total sample, the percentage of children scoring above the (clinical) cut-off on various questionnaires was 50.6% for SM, 49.4% for social anxiety, 18.5% for autistic traits, and 14.8% for language delay. Fourth, as expected, parents in the (sub)clinical group rated their children significantly higher than parents in the non-clinical group on selective mutism [t(47.36adj df) = 6.62, p < .001], social anxiety [t(79) = 6.56, p < .001], total autistic traits [t(79) = 2.62, p < .05], and especially interactive-communicative difficulties [t(79) = 3.74, p < .001] Table 1). Interestingly, however, parents in the non-clinical group reported more language difficulties on the ELS than those in the (sub)clinical group [t(78.80adj df) = 2.00, p < .05].
Table 1
Descriptive statistics for various questionnaires as computed for the total sample (N = 81) and the samples of non-clinical (n = 52) and the (sub)clinical (n = 29) children separately
 
Total sample
M (SD)
α
Sample 1
Non-clinical
M (SD)
Sample 2
(Sub)clinical
M (SD)
(1) SMQ Selective mutism
16.68 (13.22)
0.96
10.56 (9.40)
27.66 (12.01)***
(2) PAS Social anxiety
11.84 (6.62)
0.93
8.92 (5.31)
17.07 (5.43)***
(3) ASQ Autistic traits total score
56.53 (12.63)
0.89
53.88 (12.01)
61.28 (12.54)*
(4) ASQ Interactive-communicative difficulties
28.68 (7.30)
0.88
26.58 (6.85)
32.45 (6.63)***
(5) ASQ Restricted-repetitive behaviors
27.85 (7.57)
0.85
27.31 (6.93)
28.83 (8.64)
(6) ELS Language difficulties
1.02 (1.34)
0.54
1.21 (1.54)
0.69 (0.81)*
Note. SMQ = Selective Mutism Questionnaire, PAS = Preschool Anxiety Scale, ASQ = Autism Spectrum Questionnaire, ELS = Early Language Scale. Asterisks indicate significant differences between both samples:
*p < .05, ***p < .001

Correlations between SM, social anxiety, ASD symptoms, and language difficulties

Correlations among the various questionnaires scores are presented in Table 2. SMQ scores were positively and significantly correlated with PAS scores and, to a lesser extent, with ASQ total scores (r’s being 0.83 and 0.60; Z = 3.40, p < .001), indicating that higher levels of SM symptoms were associated with higher social anxiety and autistic traits. Within the autistic traits domain, SM symptoms were more strongly related to interactive-communicative difficulties (r = .70) than to restricted-repetitive behaviors (r = .34; Z = 3.86, p < .001). No significant correlation was noted between SMQ scores and language difficulties as indexed by the ELS (r = .06).
Table 2
Correlations among the constructs that were measured in this study
 
(1)
(2)
(3)
(4)
(5)
(1) SMQ Selective mutism
     
(2) PAS Social anxiety
0.83***
    
(3) ASQ Autistic traits total score
0.60***
0.42***
   
(4) ASQ Interactive-communicative difficulties
0.70***
0.59***
0.84***
  
(5) ASQ Restricted-repetitive behaviors
0.34**
0.14
0.86***
0.44***
 
(6) ELS Language difficulties
0.06
− 0.07
0.26*
0.25*
0.19
Note. N = 81. SMQ = Selective Mutism Questionnaire, PAS = Preschool Anxiety Scale, ASQ = Autism Spectrum Questionnaire, ELS = Early Language Scale. *p < .05, **p < .01, ***p < .001
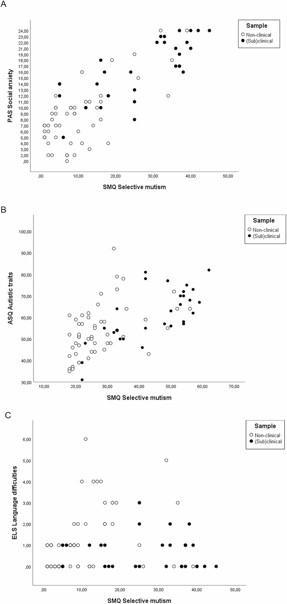
Inspection of the scatterplots (Fig. 1) revealed a robust linear relationship between SM and social anxiety symptoms, with (sub)clinical children primarily in the upper-right quadrant, indicating high levels of both conditions. The scatterplot for SM and autistic traits showed a positive but more diffuse relationship, with some children exhibiting high SM symptoms alongside low autistic traits, and vice versa. The scatterplot for SM and language difficulties confirmed the lack of a general association; however, a positive trend emerged when focusing on non-clinical children, which was confirmed by a positive Pearson correlation in this subgroup (r = .37, p < .01).
Fig. 1
Scatterplots of the correlations (split by sample) between SM and social anxiety (panel A), SM and autistic traits (panel B), and SM and language difficulties (panel C). Note. SMQ = Selective Mutism Questionnaire, PAS = Preschool Anxiety Scale, ASQ = Autism Spectrum Questionnaire, ELS = Early Language Scale
Afbeelding vergroten
Additional expected correlations were also observed. PAS social anxiety symptoms were positively correlated with ASQ autistic traits (r = .42, p < .001), particularly interactive-communicative difficulties (r = .59, p < .001). Furthermore, ASQ autistic traits, and again especially interactive-communicative difficulties, were positively correlated with ELS language difficulties (r’s being 0.26 and 0.25, respectively, both p’s < 0.05). No significant correlation was found between PAS social anxiety and ELS language difficulties (r = − .07).

Categorical analysis of the relation between SM and other constructs

To further examine the relationship between SM and the three constructs, chi square analyses were conducted to compare children with and without a high risk of SM (identified using the SMQ cut-off score of 13; n’s being 41 and 40, respectively) in terms of elevated social anxiety, autistic traits, and language delay. As shown in Fig. 2, children with (or at high risk of) SM more frequently exhibited elevated levels of social anxiety [c2(1) = 37.37, p < .001], autistic traits [c2(1) = 13.44, p < .001], as well as language delay [c2(1) = 6.03, p < .05], compared to children without SM.
Fig. 2
Percentages of children with/without SM (as defined by the SMQ clinical cut-off score) who displayed elevated scores on measures of social anxiety (PAS), autistic traits (ASQ), and language delay (ELS). Note. SMQ = Selective Mutism Questionnaire, PAS = Preschool Anxiety Scale, ASQ = Autism Spectrum Questionnaire, ELS = Early Language Scale
Afbeelding vergroten

Unique contributions of the three ‘driving’ constructs to SM

To assess the unique contributions of the three constructs to SM symptoms, a linear regression analysis was performed with PAS social anxiety, ASQ total autistic traits, and ELS language difficulties entered as predictor variables, and SMQ scores as the dependent variable. Together, the three predictors explained 76% of the variance in SMQ scores [F(3,77) = 82.09, p < .001]. As shown in Fig. 3, PAS social anxiety (β = 0.70, p < .001) and ASQ total autistic traits (β = 0.30, p < .001) each made a unique and significant positive contribution to SM symptom scores, whereas ELS language difficulties did not (β = 0.03, p = .57).
Fig. 3
Main results of the regression analysis in which SM symptoms as indexed by the SMQ were predicted from PAS social anxiety, ASQ autistic traits (panel A: total score; panel B: separate subscales of interactive-communicative difficulties and restrictive-repetitive behaviors), and ELS language difficulties. Note. SMQ = Selective Mutism Questionnaire, PAS = Preschool Anxiety Scale, ASQ = Autism Spectrum Questionnaire, ELS = Early Language Scale, IC difficulties = Interactive-Communicative difficulties, RR behaviors = Restricted-Repetitive behaviors. *p < .05, **p < .01, ***p < .001
Afbeelding vergroten
A second regression analysis, in which the two separate ASQ subscales replaced the total score while PAS social anxiety and ELS language difficulties remained as predictors, yielded highly similar results. The percentage of explained variance again reached 76% [F(4,76) = 61.46, p < .001]. PAS social anxiety (β = 0.67, p < .001), ASQ interactive-communicative difficulties (β = 0.23, p < .01), and ASQ restricted-repetitive behaviors (β = 0.14, p < .05) each contributed uniquely and significantly to SM symptom scores.
Finally, a binary logistic regression revealed that categorical indicators of social anxiety, autistic traits, and language delay jointly had significant predictive value for SM status [c2(3) = 51.58, p < .001], with Nagelkerke R2 = 0.63, indicating strong explanatory power of the model. High social anxiety [Exp(B) = 25.20, Wald = 23.52, p < .001] and autistic traits [Exp(B) = 11.00, Wald = 3.89, p < .05] significantly increased the odds of scoring above the SMQ clinical cut-off, whereas language delay did not [Exp(B) = 4.36, Wald = 1.99, p = .16].

Discussion

The present study investigated three potential underlying mechanisms – social anxiety, autistic traits, and language difficulties – thought to drive the selective non-speaking behavior of children with SM. Parents of preschool children, recruited from both the general population and a clinical setting/specialized online forum for parents of children with SM, completed a survey comprising standardized questionnaires assessing the relevant constructs. The findings provided clear evidence that social anxiety is a prominent feature of SM (Muris & Ollendick, 2015). Specifically, PAS social anxiety scores showed a strong positive correlation with SM symptom levels in this sample of 3- to 6-year-olds. The corresponding scatterplot revealed a clear linear trend, with children from the (sub)clinical group clustering in the upper-right quadrant, indicating the co-occurrence of high SM symptoms and high social anxiety (see also Muris et al., 2024, for similar results in children aged 6–12 years). Moreover, 83% of children with SMQ scores in the clinical range also displayed elevated social anxiety scores.
Regression analyses further confirmed the central role of social anxiety: across all models examining the relative contributions of the three constructs, social anxiety consistently emerged as a significant predictor, with the largest β or odd ratio. This indicates that, independent of autistic traits and language difficulties, social anxiety accounted for a substantial proportion of the variance in SM symptoms (Muris et al., 2021, 2024). These findings underscore the importance of social anxiety in the selective non-speaking behavior of children (Viana et al., 2009; Muris & Ollendick, 2015; Sharp et al., 2007) and lend further support to the classification of SM as an anxiety disorder (American Psychiatric Association, 2022; World Health Organization, 2022).
Consistent with previous studies (Steffenburg et al., 2018; Suzuki et al., 2020; Iimura et al., 2024; Keville et al., 2023; Klein et al., 2019), the present findings indicate that autistic traits are implicated in at least a subset of children with SM. SMQ scores were positively associated with ASQ scores, and this was not only true for the total autistic traits score but also for the subscales of interactive-communicative difficulties and restricted-repetitive behaviors. Notably, 34% of children with SMQ scores in the clinical range (34%) also scored in the top 10% of ASQ total scores. Furthermore, in regression models controlling for the other constructs, autistic traits – particularly interactive-communicative difficulties and to a lesser extent restricted-repetitive behaviors – remained a statistically significant predictor of SM symptoms.
This finding aligns with results from our similar study in a mixed clinical/non-clinical sample of older children aged 6–12 years (Muris et al., 2024), but contrasts somewhat with Muris et al. (2021), who reported that the unique association between ASD an SM was primarily driven by the interactive-communicative difficulties. It is worth noting, however, that the latter study included only non-clinical children, who likely exhibited low levels of – and therefore limited variability in – restricted-repetitive behaviors. Overall, the present findings add to the evidence that, in addition to social anxiety, the social deficits and behavioral characteristics associated with ASD may also contribute to the selective non-speaking of children with SM (Muris and Ollendick 2021b).
Support for our hypothesis that language difficulties would be positively associated with SM symptoms was limited. The correlation between SMQ and ELS scores was not statistically significant, although an association did emerge when using the categorical measure of language delay (which accounted for the child’s age). Specifically, 24% of children with SMQ scores in the clinical range displayed a language delay, compared to only 5% of those in the normative range. However, a logistic regression analysis controlling for social anxiety and autistic traits revealed no unique contribution of language delay, suggesting that the observed association was largely carried by overlap with these other variables. This aligns with previous studies showing that the link between language difficulties and SM is not always straightforward (Manassis et al., 2007; Nowakowski et al., 2009).
Meanwhile, several factors may explain why the present study was not optimally suited to demonstrate this link. The instruments used to assess language deficits and delay (including the ELS) often have limited evidence for validity (So & To, 2022). Furthermore, characteristics of the present sample may have reduced our ability to detect an effect: ELS scores were generally low, with a maximum observed score of 6 on a scale ranging from 0 to 26, and – unexpectedly – (sub)clinical children were reported by parents to have fewer than one language difficulty on average. Including more children diagnosed with a developmental language disorder might have increased variability in ELS scores, improving the ability to test the hypothesized relationship with SM symptoms. Encouragingly, when (sub)clinical cases were excluded from the present sample, the correlation between ELS and SMQ scores became positive and statistically significant.
Several additional findings emerged in this study that merit brief discussion. First, ASD symptoms were positively and significantly associated with both social anxiety symptoms and language difficulties, consistent with previous research linking these clinical phenomena (Georgiou & Spanoudis, 2021; Spain et al., 2018). No significant correlation was observed between language difficulties and social anxiety, which contrasts with prior literature (Brownlie et al., 2016; Voci et al., 2006). This discrepancy may be due to the relatively young age of the children in the current sample; social anxiety may emerge later when children with language difficulties become more self-conscious and fear negative evaluation (Higa et al., 2008). Second, while children in the (sub)clinical group generally scored higher on the SMQ and most other measures compared to those in the non-clinical group, not all of them displayed clinically elevated SM levels. This may be due to the fact that it is unknown whether some had already received treatment for the condition. Furthermore, a notable proportion of the non-clinical group exhibited elevated levels of psychopathology. Specifically, 30.8% of non-clinical children had SMQ scores in the clinical range and/or elevated scores on other indices (PAS social anxiety: 28.8%, ASQ total symptoms: 11.5%, and ELS language delay: 17.3%). This may reflect the study’s recruitment framing (‘children who sometimes do not speak’), which could have attracted parents of children with some behavioral concerns. Third, most scales demonstrated good internal consistency. The exception was the ELS, which yielded a relatively low Cronbach’s alpha of 0.54. Because alpha depends on inter-item correlations, this likely reflects the few positive endorsements on this measure and the resulting limited variability in scores (Tavakol & Dennick, 2011).

Limitations

Several limitations of the present study should be acknowledged. The sample size was relatively small, particularly for the (sub)clinical group and only five participants were recruited through a clinical setting. Inclusion of more clinically referred children, especially those with a formal diagnosis of SM, would have strengthened the study. The distinction between the non-clinical and (sub)clinical groups was based on recruitment strategies rather than diagnostic confirmation, as no clinical interviews were conducted to establish SM or other psychopathology. Future studies should adopt a two-step approach, using the SMQ as an initial screen followed by a structured clinical interview to confirm diagnosis and assess common comorbidities.
This study relied solely on parent-report data. Given the young age of the children, self-report was not a feasible, but teacher report scales could have been included to corroborate the parental perspectives (Martinez et al., 2015). Furthermore, autistic traits were assessed using the ASQ, a relatively unknown screening instrument outside the Netherlands. While the ASQ has undergone empirical scrutiny locally (Van der Ploeg & Scholte, 2014), screening tools of this type often have limitations in differentiating between ASD and social anxiety (Capriola-Hall et al., 2021; Tyson & Crues, 2012). Encouragingly, regression analyses indicated that autistic traits uniquely contributed to SM symptoms, even when controlling for social anxiety.
Another limitation is the cross-sectional design. Although social anxiety, autistic traits, and language difficulties were analyzed as predictors of SM symptoms, the data are correlational and cannot establish causality. Unassessed third variables, such as ‘behavioral inhibition to the unfamiliar’ (Kagan, 1997), may also have contributed to observed relationships (Gensthaler et al., 2016; Muris et al., 2021).
The sample consisted exclusively of native Dutch participants, and demographic details such as socio-economic status were not reported. This is relevant because SM prevalence is higher among children from immigrant and low-income families (Elizur & Perednik, 2003; Slobodin et al., 2024). Finally, the study did not assess oppositionality, an externalizing behavior that some researchers consider a potential driver of SM symptomatology (Cohan et al., 2008; Diliberto & Kearney, 2016). It is possible that oppositional behaviors in children with SM reflect anxiety or responses to overstimulation associated with ASD (Garland & Garland, 2001; Mandy et al., 2014). Future study examining oppositionality along with social anxiety and autistic traits could clarify whether anger, noncompliance, and irritability symptoms contribute uniquely to SM symptoms.

Conclusions and implications

The present study supports the notion that anxiety plays a central role in SM, consistent with its current classification as an anxiety disorder (American Psychiatric Association, 2022; World Health Organization, 2022). At the same time, we found that autistic traits are present in a substantial proportion of children with high levels of SM symptoms. This is is line with Kearney and Rede’s (2021) characterization of SM as a “multifaceted and heterogenous” condition that shares features with neurodevelopmental disorders (p. 1). Historically, classification systems have not acknowledged this overlap, which has limited clinicians’ readiness to diagnose SM and ASD concurrently, resulting in delays for families in accessing appropriate guidance and interventions (Keville et al., 2023). While the DSM-5 now recognizes that SM and ASD can co-occur (American Psychiatric Association, 2022), the ICD-11 continues to consider ASD as an exclusion criterion for SM (World Health Organization, 2022).
Recognizing the potential comorbidity of SM and ASD has important implications for both assessment and treatment. Clinically, children presenting with selective non-speaking behavior should be evaluated not only for (social) anxiety but also for autistic traits (Muris and Ollendick 2021a). Although language difficulties and delay were not uniquely predictive of SM symptoms in this study and thus appear less critical, it remains prudent for clinicians to monitor these areas and, when appropriate, incorporate targeted interventions (e.g., speech therapy) to address them.
Treatment approaches also require adaptation: while anxiety-focused interventions such as behavior therapy (Bergman et al., 2013; Hipolito et al., 2023; Oerbeck et al., 2014) and, in persistent cases (from around age eight) pharmacotherapy with selective serotonin reuptake inhibitors (Kaakay & Stumpf, 2008; Manassis et al., 2015) are effective for children with SM, those with comorbid autistic traits may benefit from additional strategies targeting social cognition, social skills, and social motivation (Muris and Ollendick 2021b; Pallathra et al. 2019). Furthermore, interventions should extend beyond the clinic. Teachers, peers, parents, siblings, and other family members need to be involved to support gradual skill implementation and ensure generalization across settings (Carruthers et al., 2020; Omdal, 2008). For children with both SM and ASD, the additional diagnosis should also inform a more comprehensive individualized education plan, providing increased accommodations, guidance, and support to help them remain socially and academically on track (Boneff-Peng et al., 2023).

Acknowledgements

The authors thank the children’s parents for their participation in the present study. Special thanks goes to Eustache Sollman who kindly shared the online link to our survey via his special website “Breek de stilte” (“Break the silence”) for parents of children with SM.

Declarations

Informed consent was obtained from all participants involved in this study.

Conflict of interest

The authors declare no conflicts of interest.
Open Access This article is licensed under a Creative Commons Attribution 4.0 International License, which permits use, sharing, adaptation, distribution and reproduction in any medium or format, as long as you give appropriate credit to the original author(s) and the source, provide a link to the Creative Commons licence, and indicate if changes were made. The images or other third party material in this article are included in the article’s Creative Commons licence, unless indicated otherwise in a credit line to the material. If material is not included in the article’s Creative Commons licence and your intended use is not permitted by statutory regulation or exceeds the permitted use, you will need to obtain permission directly from the copyright holder. To view a copy of this licence, visit http://creativecommons.org/licenses/by/4.0/.

Publisher’s Note

Springer Nature remains neutral with regard to jurisdictional claims in published maps and institutional affiliations.
Titel
Three ‘driving forces’ behind the silence: Social anxiety, autism spectrum symptoms, and language difficulties as correlates of selective mutism in young children
Auteurs
Peter Muris
Bo Starmans
Shana de Jonge
Cor Meesters
Jeffrey Roelofs
Publicatiedatum
25-02-2026
Uitgeverij
Springer US
Gepubliceerd in
Journal of Child and Family Studies
Print ISSN: 1062-1024
Elektronisch ISSN: 1573-2843
DOI
https://doi.org/10.1007/s10826-026-03282-5
go back to reference American Psychiatric Association. (1994). Diagnostic and Statistical Manual of Mental Disorders, fourth edition (DSM-IV). American Psychiatric Association.
go back to reference American Psychiatric Association. (2022). Diagnostic and Statistical Manual of Mental Disorders, fifth edition-text revision (DSM-5-TR). American Psychiatric Association.
go back to reference Baron-Cohen, S., Wheelwright, S., Skinner, R., Martin, J., & Clubley, E. (2001). The Autism Spectrum Quotient (AQ): Evidence from Asperger syndrome/high-functioning autism, male and females, scientists and mathematicians. Journal of Autism and Developmental Disorders, 31, 5–17.PubMedCrossRef
go back to reference Benga, O., Tincas, I., & Visu-Petra, L. (2010). Investigating the structure of anxiety symptoms among Romanian preschoolers using the Spence Preschool Anxiety Scales. Cognition Brain Behavior, 14, 159–182.
go back to reference Bergman, R. L., Piacentini, J., & McCracken, J. T. (2002). Prevalence and description of selective mutism in a school-based sample. Journal of the American Academy of Child and Adolescent Psychiatry, 41, 938–946.PubMed
go back to reference Bergman, R. L., Keller, M. L., Piacentini, J., & Bergman, A. J. (2008). The development and psychometric properties of the Selective Mutism Questionnaire. Journal of Clinical Child and Adolescent Psychology, 37, 456–464.PubMedCrossRef
go back to reference Bergman, R. L., Gonzales, A., Piacentini, J., & Keller, M. L. (2013). Integrated behavior therapy for children with selective mutism. Behaviour Research and Therapy, 51, 680–689.PubMedCrossRef
go back to reference Bochane, M. (2021). Uniform screening for atypical language development in Dutch child health care. Ph.D. thesis, University of Groningen, The Netherlands. https://doi.org/10.33612/diss.171348669
go back to reference Boneff-Peng, K., Lautschinkow, P. C., Colton, Z. A., & Freedman-Doan, C. R. (2023). An updated characterization of childhood selective mutism: Exploring clinical features, treatment utilization, and school services. Child Psychiatry and Human Development. https://doi.org/10.1007/s10578-023-01589-8CrossRefPubMed
go back to reference Broeren, S., & Muris, P. (2008). Psychometric evaluation of two new parent-rating scales for measuring anxiety symptoms in young Dutch children. Journal of Anxiety Disorders, 22, 949–958.PubMedCrossRef
go back to reference Brownlie, E. B., Bao, L., & Beitchman, J. (2016). Childhood language disorder and social phobia in early adulthood. Journal of Abnormal Child Psychology, 44, 1061–1070.PubMedCrossRef
go back to reference Capriola-Hall, N. N., McFayden, T., Ollendick, T. H., & White, S. W. (2021). Caution when screening for autism among socially anxious youth. Journal of Autism Developmental Disorders, 51, 1540–1549.PubMedPubMedCentralCrossRef
go back to reference Carruthers, S., Pickles, A., Slonims, V., Howling, P., & Charman, T. (2020). Beyond intervention into daily life: A systematic review of generalisation following social communication interventions for young children with autism. Autism Research, 13, 506–522.PubMedPubMedCentralCrossRef
go back to reference Cicchetti, D. (2016). Developmental psychopathology: Risk, resilience, and intervention (3rd edition). New York: John Wiley & Sons.
go back to reference Cohan, S. L., Chavira, D. A., Shipon-Blum, E., Hitchcock, C., Roesch, S. C., & Stein, M. B. (2008). Refining the classification of children with selective mutism: A latent profile analysis. Journal of Clinical Child and Adolescent Psychology, 37, 770–784.PubMedPubMedCentralCrossRef
go back to reference Diliberto, R. A., & Kearney, C. A. (2016). Anxiety and oppositional behavior profiles among youth with selective mutism. Journal of Communication Disorders, 59, 16–23.PubMedCrossRef
go back to reference Driessen, J., Blom, J. D., Muris, P., Blashfield, R. K., & Molendijk, M. L. (2020). Anxiety in children with selective mutism: A meta-analysis. Child Psychiatry and Human Development, 51, 330–341.PubMedPubMedCentralCrossRef
go back to reference Elizur, Y., & Perednik, R. (2003). Prevalence and description of selective mutism in immigrant and native families: A controlled study. Journal of the American Academy of Child and Adolescent Psychiatry, 42, 1451–1459.PubMed
go back to reference Garland, E. J., & Garland, O. M. (2001). Correlation between anxiety and oppositionality in a children’s mood and anxiety disorder clinic. Canadian Journal of Psychiatry, 46, 953–958.PubMedCrossRef
go back to reference Gensthaler, A., Khalaf, S., Ligges, M., Kaess, M., Freitag, C. M., & Schwenck, C. (2016). Selective mutism and temperament: The silence and behavioral inhibition to the unfamiliar. European Child and Adolescent Psychiatry, 25, 1113–1120.PubMedCrossRef
go back to reference Georgiou, N., & Spanoudis, G. (2021). Developmental language disorder and autism: Commonalities and differences on language. Brain Sciences, 11, 589.PubMedPubMedCentralCrossRef
go back to reference Higa, C. K., Phillips, L. K., Chorpita, B. F., & Daleiden, E. L. (2008). The structure of self-consciousness in children and young adolescents and relations to social anxiety. Journal of Psychopathology and Behavioral Assessment, 30, 261–271.CrossRef
go back to reference Hipolito, G., Pagnamenta, E., Stacey, H., Wright, E., Joffe, V., Murayama, K., & Creswell, C. (2023). A systematic review and meta-analysis of nonpharmacological interventions for children and adolescents with selective mutism. Journal of Child Psychology and Psychiatry Advances, 3, e12166.PubMedPubMedCentral
go back to reference Hirota, T., & King, B. H. (2023). Autism spectrum disorder: A review. Journal Of The American Medical Association, 329, 157–168.PubMedCrossRef
go back to reference Hopwood, C. J., Morey, L. C., & Markon, K. E. (2023). What is a psychopathology dimension? Clinical Psychology Review, 106, 102356.
go back to reference Iimura, D., Tsujita, N., & Hagihara, H. (2024). Prospects for clinical reports on selective mutism conducted in Japan: A scoping review. Japanese Psychological Research, 2024. https://doi.org/10.1111/jpr.12476
go back to reference Kaakay, Y., & Stumpf, J. L. (2008). Treatment of selective mutism: Focus on selective serotonin reuptake inhibitors. Pharmacotherapy, 28, 214–224.CrossRef
go back to reference Kagan, J. (1997). Temperament and reactions to unfamiliarity. Child Development, 68, 139–143.PubMedCrossRef
go back to reference Karakaya, I., Sismanlar, S. G., Oc, O. Y., Memik, N. C., Coskun, A., Agaoglu, B., & Yavuz, C. I. (2008). Selective mutism: A school-based cross-sectional study from Turkey. European Child and Adolescent Psychiatry, 17, 114–117.PubMedCrossRef
go back to reference Kearney, C. A., & Rede, M. (2021). The heterogeneity of selective mutism: A primer for a more refined approach. Frontiers in Psychology, 12, 700745.PubMedPubMedCentralCrossRef
go back to reference Keville, S., Zormati, P., Shahid, A., Osborne, C., & Ludlow, A. K. (2023). Parent perspectives of children with selective mutism and co-occurring autism. International Journal of Developmental Disabilities, 70, 1251–1261.PubMedPubMedCentralCrossRef
go back to reference Klein, E. R., Armstrong, S. L., & Shipon-Blum, E. (2012). Assessing spoken language competence in children with selective mutism: Using parents as test presenters. Communication Disorders Quarterly, 34, 184–195.CrossRef
go back to reference Klein, E. R., Ruiz, C. E., Morales, K., & Stanley, P. (2019). Variations in parent and teacher ratings of internalizing, externalizing, adaptive skills, and behavioral symptoms in children with selective mutism. International Journal of Environmental Research and Public Health, 16, 4070.PubMedPubMedCentralCrossRef
go back to reference Kopp, S., & Gillberg, C. (1997). Selective mutism: A population-based study. Journal of Child Psychology and Psychiatry, 38, 257–262.PubMedCrossRef
go back to reference Koskela, M., Ståhlberg, T., Yunus, W., & Sourander, A. (2023). Long-term outcomes of selective mutism: A systematic literature review. Bmc Psychiatry, 23, 779.PubMedPubMedCentralCrossRef
go back to reference Kristensen, H. (2000). Selective mutism and comorbidity with developmental disorder/delay, anxiety disorder, and elimination disorder. Journal of the American Academy of Child and Adolescent Psychiatry, 39, 249–256.PubMed
go back to reference Kumpulainen, K., Räsänen, E., Raaska, H., & Somppi, V. (1998). Selective mutism among second-graders in elementary school. European Child and Adolescent Psychiatry, 7, 24–29.PubMedCrossRef
go back to reference Letamendi, A. M., Chavira, D. A., Hitchcock, C. A., Roesch, S. C., Shipon-Blum, E., & Stein, M. B. (2008). Selective Mutism Questionnaire: Measurement structure and validity. Journal of the American Academy of Child and Adolescent Psychiatry, 47, 1197–1204.PubMedPubMedCentral
go back to reference Manassis, K., Fung, D., Tannock, R., Sloman, L., Fiksenbaum, L., & McInnes, A. (2003). Characterizing selective mutism: Is it more than social anxiety? Depression and Anxiety, 18, 153–161.PubMedCrossRef
go back to reference Manassis, K., Tannock, R., Garland, E. J., Minde, K., McInnes, A., & Clark, S. (2007). The sounds of silence: Language, cognition, and anxiety in selective mutism. Journal of the American Academy of Child and Adolescent Psychiatry, 46, 1187–1195.PubMed
go back to reference Manassis, K., Oerbeck, B., & Overgaard, K. R. (2015). The use of medication in selective mutism: A systematic review. European Child and Adolescent Psychiatry, 25, 571–578.PubMedCrossRef
go back to reference Mandy, W., Roughan, L., & Skuse, D. (2014). Three dimensions of oppositionality in autism spectrum disorder. Journal of Abnormal Child Psychology, 42, 291–300.PubMedCrossRef
go back to reference Martinez, Y. J., Tannock, R., Manassis, K., & Garland, E. J. (2015). The teachers’ role in the assessment of selective mutism and anxiety disorders. Canadian Journal of School Psychology, 30, 83–101.CrossRef
go back to reference Milic, M. I., Carl, T., & Rapee, R. M. (2020). Similarities and differences between young children with selective mutism and social anxiety disorder. Behaviour Research and Therapy, 133, 103696.PubMedCrossRef
go back to reference Muris, P., & Ollendick, T. H. (2015). Children who are anxious in silence: A review on selective mutism, the new anxiety disorder in DSM-5. Clinical Child and Family Psychology Review, 18, 151–169.PubMedCrossRef
go back to reference Muris, P., & Ollendick, T. H. (2021a). Current challenges in the diagnosis and management of selective mutism in children. Psychology Research and Behavioral Management, 14, 159.CrossRef
go back to reference Muris, P., & Ollendick, T. H. (2021b). Selective mutism and its relations to social anxiety disorder and autism spectrum disorder. Clinical Child and Family Psychology Review, 24, 294–325.PubMedPubMedCentralCrossRef
go back to reference Muris, P., Monait, N., Weijsters, L., & Ollendick, T. H. (2021). Symptoms of selective mutism in non-clinical 3- to 6-year-old children: Relations with social anxiety, autistic features, and behavioral inhibition. Frontiers in Psychology, 12, 669907.PubMedPubMedCentralCrossRef
go back to reference Muris, P., Büttgens, L., Koolen, M., Manniën, C., Scholtes, N., & Van Dooren-Theunissen, W. (2024). Symptoms of selective mutism in middle childhood: Psychopathological and temperament correlates in non-clinical and clinically referred 6- to 12-year-old children. Child Psychiatry and Human Development, 55, 1514–1525.PubMedCrossRef
go back to reference Nowakowski, M. E., Cunningham, C. C., McHolm, A. E., Evans, M. A., Edison, S., St. Pierre, J., Boyle, M. H., & Schmidt, L. A. (2009). Language and academic abilities in children with selective mutism. Infant and Child Development, 18, 271–290.CrossRef
go back to reference Oerbeck, B., Stein, M. B., Wentzel-Larsen, T., Langsrud, O., & Kristensen, H. A. (2014). A randomized controlled trial of a home and school-based intervention for selective mutism: Defocused communication and behavioral techniques. Child and Adolescent Mental Health, 19, 192–198.PubMedCrossRef
go back to reference Oerbeck, B., Overgaard, K. R., Bergman, R. L., Pripp, A. H., & Kristensen, H. (2020). The Selective Mutism Questionnaire: Data from typically developing children and children with selective mutism. Clinical Child Psychology and Psychiatry, 25, 754–765.PubMedPubMedCentralCrossRef
go back to reference Olivares-Olivares, P. J., Rosa-Alcázar, A., Nuñez, R., & Olivares, J. (2021). Psychometric properties of the Selective Mutism Questionnaire in Spanish children. International Journal of Clinical and Health Psychology, 21, 100249.PubMedPubMedCentralCrossRef
go back to reference Omdal, H. (2008). Including children with selective mutism in mainstream school and kindergartens: Problems and possibilities. International Journal of Inclusive Education, 12, 301–315.CrossRef
go back to reference Orgilés, M., Penosa, P., Fernández-Martínez, I., Marzo, J. C., & Espada, J. P. (2018). Spanish validation of the Spence Preschool Anxiety Scale. Child Care Health and Development, 44, 753–758.PubMedCrossRef
go back to reference Pallathra, A. A., Cordero, L., Wong, K., & Brodkin, E. S. (2019). Psychosocial interventions targeting social functioning in adults on the autism spectrum: A literature review. Current Psychiatry Reports, 21, 5.PubMedPubMedCentralCrossRef
go back to reference Poole, K. L., Cunningham, C. E., McHolm, A. E., & Schmidt, L. A. (2021). Distinguishing selective mutism and social anxiety in children: A multi-method study. European Child and Adolescent Psychiatry, 30, 1059–1069.PubMedCrossRef
go back to reference Remschmidt, H., Poller, M., Herpertz-Dahlmann, B., Hennighausen, K., & Gutenbrunner, C. A. (2001). A follow-up study of 45 patients with elective mutism. European Archives of Psychiatry and Clinical Neuroscience, 251, 284–296.PubMedCrossRef
go back to reference Rodrigues Pereira, C., Ensink, J. B. M., Güldner, M. G., Kan, K. J., De Jonge, M. V., Lindauer, R. J. L., & Utens, E. M. W. J. (2024). The validation of the Selective Mutism Questionnaire for use in the Dutch population. Child Psychiatry and Human Development, 55, 82–93.PubMedCrossRef
go back to reference Schwenck, C., Gensthaler, A., & Vogel, F. (2021). Anxiety levels in children with selective mutism and social anxiety disorder. Current Psychology, 40, 6006–6013.CrossRef
go back to reference Sharkey, L., & McNicolas, F. (2012). Selective mutism: A prevalence study of primary school children in the Republic of Ireland. Irish Journal of Psychological Medicine, 29, 36–40.PubMedCrossRef
go back to reference Sharp, W. G., Sherman, C., & Gross, A. M. (2007). Selective mutism and anxiety: A review of the current conceptualization of this disorder. Journal of Anxiety Disorders, 21, 568–579.PubMedCrossRef
go back to reference Slobodin, O., Shorer, M., Friedman-Zelter, G., & Fennig, S. (2024). Selective mutism in immigrant families: An ecocultural perspective. Transcultural Psychiatry, 61, 15–29.PubMedCrossRef
go back to reference So, K. K. H., & To, C. K. S. (2022). Systematic review and meta-analysis of screening tools for language disorder. Frontiers in Pediatrics, 10, 801220.PubMedPubMedCentralCrossRef
go back to reference Spain, D., Sin, J., Linder, K. B., McMahon, J., & Happé, F. (2018). Social anxiety in autism spectrum disorder: A systematic review. Research in Autism Spectrum Disorders, 52, 51–68.CrossRef
go back to reference Spence, S. H., Rapee, R., McDonald, C., & Ingram, M. (2001). The structure of anxiety symptoms among preschoolers. Behaviour Research and Therapy, 39, 1293–1316.PubMedCrossRef
go back to reference Starke, A. (2018). Effects of anxiety, language skills, and cultural adaptation on the development of selective mutism. Journal of Communication Disorders, 74, 45–60.PubMedCrossRef
go back to reference Steffenburg, H., Steffenburg, S., Gillberg, C., & Billstedt, E. (2018). Children with autism spectrum disorders and selective mutism. Neuropsychiatric Disease and Treatment, 14, 1163–1169.PubMedPubMedCentralCrossRef
go back to reference Steinhausen, H. C., Wachter, M., Laimböck, K., & Metzke, C. W. (2006). A long-term outcome study of selective mutism in childhood. Journal of Child Psychology and Psychiatry, 47, 751–756.PubMedCrossRef
go back to reference Suzuki, T., Takeda, A., Takadaya, Y., & Fujii, Y. (2020). Examining the relationship between selective mutism and autism spectrum disorder. Asian Journal of Human Services, 19, 55–62.CrossRef
go back to reference Tavakol, M., & Dennick, R. (2011). Making sense of Cronbach’s alpha. International Journal of Medical Education, 2, 53–55.PubMedPubMedCentralCrossRef
go back to reference Tyson, K. E., & Crues, D. G. (2012). Differentiating high-functioning autism and social phobia. Journal of Autism and Developmental Disorders, 42, 1477–1490.PubMedCrossRef
go back to reference Van der Ploeg, J. D., & Scholte, E. M. (2014). Autisme Spectrum Vragenlijst (Autism Spectrum Questionnaire). Bohn Stafleu van Loghum.
go back to reference Viana, A. G., Beidel, D. C., & Rabian, B. (2009). Selective mutism: A review and integration of the last 15 years. Clinical Psychology Review, 29, 57–67.PubMedCrossRef
go back to reference Visser-Bochane, M. I., Reijneveld, S. A., Krijnen, W. P., Van der Schans, C. P., & Luinge, M. R. (2020). Identifying milestones in language development for young children ages 1 to 6 years. Academic Pediatrics, 20, 421–429.PubMedCrossRef
go back to reference Visser-Bochane, M. I., Van der Schans, C. P., Krijnen, W. P., Reijneveld, S. A., & Luinge, M. R. (2021). Validation of the Early Language Scale. European Journal of Pediatrics, 180, 63–71.PubMedCrossRef
go back to reference Voci, S. C., Beitchman, J. H., Brownlie, E. B., & Wilson, B. (2006). Social anxiety in late adolescence: The importance of early childhood language impairment. Journal of Anxiety Disorders, 20, 915–930.PubMedCrossRef
go back to reference Vogel, F., Gensthaler, A., Stahl, J., & Schwenck, C. (2019). Fears and fear-related cognitions in children with selective mutism. European Child and Adolescent Psychiatry, 28, 1169–1181.PubMedCrossRef
go back to reference Vogel, F., Röse, C., & Schwenck, C. (2024). Symptoms of selective mutism beyond failure to speak in children and adolescents. European Child and Adolescent Psychiatry, 33, 3603–3611.PubMedPubMedCentralCrossRef
go back to reference World Health Organization (2022). ICD-11: International classification of diseases, 11th revision. https://icd.who.int/
go back to reference Yeganeh, R., Beidel, D. C., & Turner, S. M. (2006). Selective mutism: More than social anxiety? Depression and Anxiety, 23, 117–123.PubMedCrossRef