Ga naar de hoofdinhoud
Top

Screening for cardiac sarcoidosis: diagnostic approach and long-term follow-up in a tertiary centre

  • Open Access
  • 09-01-2025
  • Original Article
Gepubliceerd in:

Abstract

Background

Cardiac sarcoidosis (CS) is associated with poor prognosis, making early diagnosis and treatment important. This study evaluated the results of a diagnostic approach in patients with known sarcoidosis and suspected cardiac involvement in a tertiary centre and their long-term outcomes.

Methods

We included 180 patients with sarcoidosis and a clinical suspicion of CS. In addition to an electrocardiogram (ECG)/transthoracic echocardiogram (TTE), cardiovascular magnetic resonance imaging (CMR) and positron emission tomography (PET) were performed in 66% and 37% of the patients, respectively. The diagnosis of CS was based on the Heart Rhythm Society criteria. Follow-up was performed, and a composite endpoint of sustained ventricular tachycardia, ventricular fibrillation, aborted sudden cardiac death, heart failure hospitalisation, heart transplantation or cardiac death was used for the survival analysis.

Results

Symptoms were present in 87% of the patients, and ECG/TTE abnormalities were found in 92/180 patients (51%). Using CMR and/or PET, 31/92 patients (34%) were diagnosed with CS. In 15 patients, an alternative diagnosis was found. CS was diagnosed in 11/88 patients (13%) without ECG/TTE abnormalities. During a median follow-up time of 4.4 years (interquartile range: 2.3–6.8), 11 composite endpoints occurred, more frequently in CS patients than in sarcoidosis patients without cardiac involvement (p < 0.001). Patients with ECG/TTE abnormalities at baseline had worse outcomes than those without abnormalities (p = 0.019).

Conclusion

CS was diagnosed in 23% of the referred sarcoidosis patients. ECG/TTE were of limited diagnostic value for screening for CS but seemed to have important prognostic value as patients with normal ECG/TTE results who did meet the diagnostic CS criteria had a very good prognosis. CMR/PET provided a good diagnostic yield and identified other cardiac diseases.
What’s new?
  • The presence of cardiac symptoms was insufficient to differentiate between sarcoidosis patients with and those without cardiac involvement.
  • Patients with a normal electrocardiogram and transthoracic echocardiogram were not exempt from cardiac sarcoidosis (CS), although their prognosis during follow-up was good.
  • Cardiovascular magnetic resonance imaging had a good diagnostic yield in the evaluation of suspected CS.
  • The prevalence of CS was similar as that reported in other cohort and autopsy studies, even though advanced non-invasive imaging was not standardly performed in each patient.

Introduction

Sarcoidosis is a systemic inflammatory disease of unknown origin that is characterised by the presence of non-caseating granulomas in various organs including the heart [1, 2]. Symptomatic cardiac involvement occurs in 5% of patients with sarcoidosis, although autopsy studies have shown a prevalence of up to 25% [38]. The clinical presentation of cardiac sarcoidosis (CS) varies from an asymptomatic course to overt heart failure (HF) and sudden cardiac death (SCD), and is associated with poor prognosis [911]. Therefore, early diagnosis and treatment are important [1216].
The diagnosis of CS is established by histological diagnosis through an invasive endomyocardial biopsy (EMB) with inherent risks and limited diagnostic yield due to sampling error because of the patchy involvement of the disease [17, 18]. Current guidelines aim to diagnose CS without the necessity of a positive EMB and are based on clinical and diagnostic criteria recommended by experts and limited scientific data [10, 11]. As a result, advanced non-invasive imaging modalities such as cardiovascular magnetic resonance imaging (CMR) and 18F‑fluorodeoxyglucose (18F‑FDG) positron emission tomography (PET) have been incorporated into these diagnostic guidelines [10, 19, 20]. Although previous research with advanced non-invasive imaging modalities reported similar prevalences of CS as autopsy studies and the sensitivity and specificity of each of these modalities for accurately diagnosing CS have been determined, the most optimal diagnostic approach is still not fully defined [17, 18, 21]. Furthermore, long-term follow-up data of CS patients are limited.
Therefore, the first aim of this study was to evaluate the frequency of CS, and the strengths and limitations of a daily used diagnostic approach for CS in a tertiary centre [10]. Secondly, the long-term outcomes of CS patients based on this diagnostic approach were assessed.

Methods

Study population

For this single-centre, observational, retrospective study, we included sarcoidosis patients with confirmed extra-cardiac granulomatous inflammation on extra-cardiac biopsy in accordance with the American Thoracic Society/European Respiratory Society/World Association of Sarcoidosis and other Granulomatous Disorders statement [22] and those with a clinical suspicion of CS who were referred to the outpatient clinic of the cardiology department of the Erasmus Medical Centre in Rotterdam, the Netherlands, from January 2008 through December 2018. Patients were eligible for inclusion if at least an electrocardiogram (ECG) and transthoracic echocardiogram (TTE) were available. According to the Institutional Review Board of the Erasmus Medical Centre, this study did not meet the requirements of a study that is subject to the Medical Research Involving Human Subjects Acts (MEC 2018-1055).

Clinical assessment

Data on medical history, symptoms, physical examination, ECG and TTE were obtained from the patients’ electronic chart. In case of clinical suspicion of CS, additional tests were performed at the discretion of the treating physician. Diagnostic tests that had already been conducted elsewhere were not routinely repeated. CMR scans that consisted of at least balanced steady-state free precession cine imaging and late gadolinium enhancement (LGE) imaging, and 18F‑FDG PET scans that were performed to determine cardiac involvement were assessed or reassessed by our expert radiologists/cardiologists (see Table S1 in Electronic Supplementary Material) and included for analysis [2325]. Afterwards, each case was screened by 2 authors (NvdV and AH) for the diagnosis of CS based on the Heart Rhythm Society (HRS) criteria [10].

Outcome measures

Follow-up data were collected until November 2020, which included information on death, hospitalisation for HF, aborted SCD, pacemaker or implantable cardioverter-defibrillator (ICD) implantation, ventricular arrhythmia and heart transplantation. HF was defined as: (1) presence of clinical signs of congestion (including dyspnoea, fatigue, and oedema) requiring diuretics in an outpatient setting or (2) episode of decompensation requiring hospital admission. Aborted SCD was defined as resuscitation after cardiac arrest or appropriate ICD shock. Ventricular arrhythmia was defined as: (1) sustained ventricular tachycardia (VT) lasting ≥ 30 s, (2) ventricular fibrillation or (3) non-sustained VT ≥ 3 beats with frequency ≥ 120 beats per min < 30 s. Clinical data were retrieved from our hospital patient records, and mortality data were retrieved from the civil service population registry.

Statistical analysis

All continuous data were tested for normality before analysis using the Kolmogorov-Smirnov test and are expressed as mean ± standard deviation or median (interquartile range; IQR), as appropriate. Categorical variables are presented as number (%).
Continuous variables were compared using the Student’s t-test or Mann-Whitney U test, and categorical data were compared using the Pearson’s chi-squared test. Kaplan-Meier survival analysis was performed to estimate the cumulative survival for the composite endpoint of sustained VT, ventricular fibrillation, aborted SCD, HF hospitalisation, heart transplantation or cardiac death. To identify independent predictors of the prognosis of these patients, variables were tested in Cox proportional hazard models. First, univariate analysis was performed. Next, a multivariate model (Model 1) was developed using forward stepwise selection (entry p = 0.05) using all baseline characteristics except for CMR and 18F‑FDG PET parameters. Finally, Model 1 was further adjusted by adding CMR parameters (Model 2) to verify the predictive value of CMR in relation to outcome. Because CMR was only performed in a subset of patients, no model was created that included all parameters. Due to the low number of patients with 18F‑FDG PET and events, no multivariate model could be created with these parameters.
All analyses were two-tailed, and p < 0.05 was regarded as statistically significant. Statistical analyses were performed using SPSS (version 25; IBM SPSS Statistics, IBM Corporation, Armonk, NY, USA).

Results

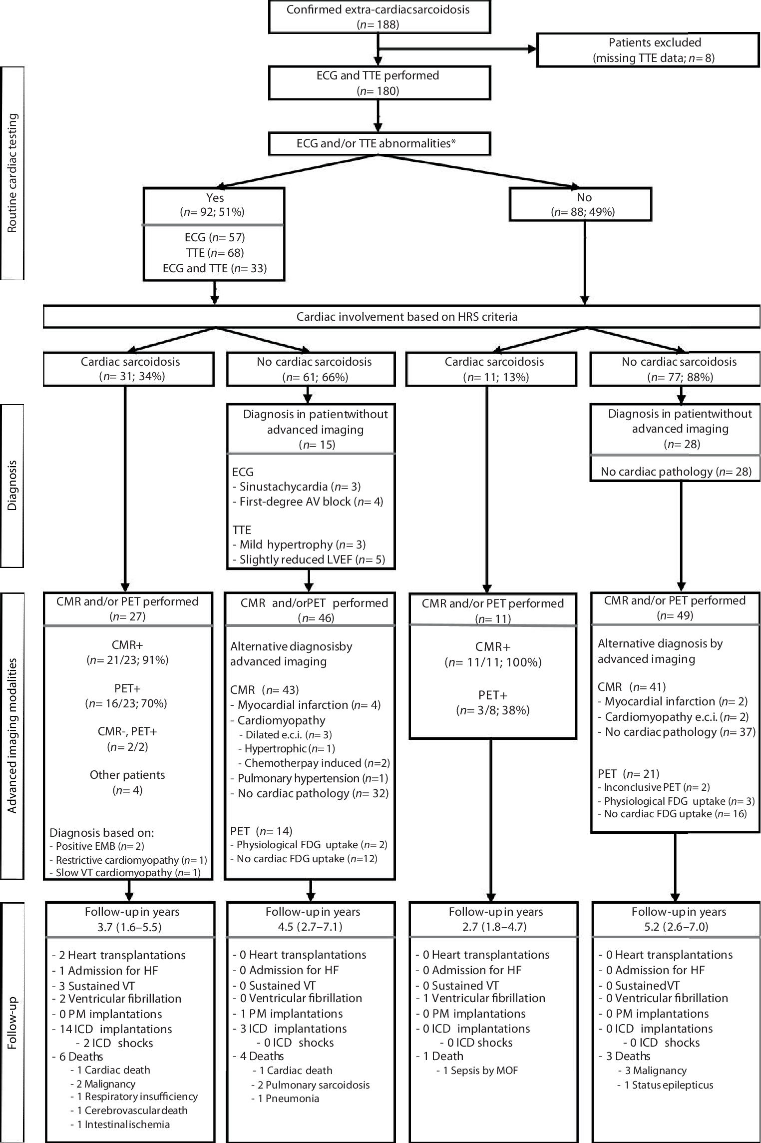
A total of 188 consecutive patients with sarcoidosis and clinical suspicion of CS were eligible for this study. Baseline cardiac analysis including ECG and TTE was performed in 180 patients (Fig. 1). Based on the HRS criteria, CS was diagnosed in 42 patients (23%). Baseline patient characteristics stratified by the presence of CS are summarised in Tab. 1. Mean age was 51 ± 11 years, 48% of the patients were male, and most were diagnosed with sarcoidosis stage I or II.
Fig. 1
Patient selection, diagnostic approach and median follow-up (interquartile range). TTE transthoracic echocardiogram, ECG electrocardiogram, HRS Heart Rhythm Society, AV block atrioventricular block, LVEF left ventricular ejection fraction, CMR cardiovascular magnetic resonance imaging, PET positron emission tomography, EMB endomyocardial biopsy, VT ventricular tachycardia, FDG fluorodeoxyglucose, HF heart failure, PM pacemaker, ICD implantable cardioverter-defibrillator, MOF multi-organ failure
Afbeelding vergroten

Diagnostic approach

Figure 1 illustrates how CS was diagnosed. The first step of our diagnostic approach was the assessment of ECG and TTE. Symptoms were not included in the diagnostic algorithm as they frequently occurred in both patients with and without CS (79% vs 89%; p = 0.08; Tab. 1). ECG and/or TTE abnormalities were found in 92/180 patients (51%). Details on these abnormalities are shown in Tab. 2. Despite the low absolute numbers of abnormalities, significant differences were found between both groups. ECG and Holter registration showed that CS patients were more likely to have high-degree atrioventricular block, as well as premature ventricular complexes compared with sarcoidosis patients without cardiac involvement. In addition, reduced left and right ventricular ejection fractions and regional wall motion abnormalities on TTE were more common in CS patients. Taken together, ECG and/or TTE abnormalities seemed to be non-specific for CS as they were also present in almost half of the patients without cardiac involvement (61/138; 44%).
Table 1
Baseline characteristics of patients stratified by diagnosis of cardiac sarcoidosis based on Heart Rhythm Society criteria
Variable
No cardiac sarcoidosis
(n = 138)
Cardiac sarcoidosis
(n = 42)
P-value
Age, years
 50 ± 12
52 ± 9
   0.38
Male gender
 65 (47)
21 (50)
   0.74
BMI, kg/m2a
 28 (25–32)
25 (22–29)
   0.02
History
   
 
Heart failure
  6 (4)
 9 (21)
   0.002
 
Myocardial infarction
  4 (3)
 0 (0)
   0.57
Therapy
   
 
Steroids
 55 (40)
23 (55)
   0.09
 
Other
 59 (43)
18 (43)
   0.99
Reason for referral (one or more)
   
 
Cardiac symptoms
109 (79)
26 (62)
   0.03
 
Cardiomyopathy
  2 (1)
 9 (21)
< 0.001
 
ECG abnormalities
 21 (15)
12 (29)
   0.05
 
LGE-positive
  2 (1)
 1 (2)
   0.78
 
PET-positive
  3 (2)
 4 (10)
   0.05
 
Other reason
 28 (20)
17 (40)
   0.01
Symptoms at referral (one or more)
   
 
Any symptoms
123 (89)
33 (79)
   0.08
  
Palpitations
 56 (46)
15 (46)
   0.99
  
Angina pectoris
 54 (44)
 9 (27)
   0.08
  
Dyspnoea
 71 (58)
19 (58)
   0.99
  
Near syncope
 27 (22)
 6 (18)
   0.64
  
Syncope
 10 (8)
 2 (6)
   1.00
  
Other
 36 (29)
15 (46)
   0.08
NYHA classification
   
 
I
 60 (44)
18 (43)
   0.94
 
II
 58 (42)
14 (33)
   0.31
 
III
 19 (14)
 7 (17)
   0.64
 
IV
  1 (1)
 3 (7)
   0.04
Sarcoidosis
   
 
Disease duration before presentation at cardiology outpatient clinic, years
  3 (1–8)
 1 (0–6)
   0.02
 
Sarcoidosis Scadding stage
   
  
0
 14 (10)
 2 (5)
   0.37
  
I
 51 (37)
14 (33)
   0.67
  
II
 57 (41)
21 (50)
   0.32
  
III
 11 (8)
 2 (5)
   0.74
  
IV
  5 (4)
 3 (7)
   0.39
Organ involvement
   
 
Pulmonary
104 (75)
35 (83)
   0.28
 
Eyes
 27 (20)
 6 (14)
   0.44
 
Skin
 31 (23)
 6 (14)
   0.25
 
Lymph nodes
107 (78)
37 (88)
   0.13
 
Other
 41 (30)
17 (41)
   0.19
Diagnostic tests (other than ECG and TTE)
   
 
Holter registration
 88 (64)
31 (74)
   0.23
 
CMR
 84 (61)
34 (81)
   0.02
 
18F‑FDG PET
 35 (25)
31 (74)
< 0.001
 
Endomyocardial biopsy
  2 (1)
 9 (21)
< 0.001
18F‑FDG 18F‑fluorodeoxyglucose, ECG electrocardiogram, LGE late gadolinium enhancement, PET positron emission tomography, NYHA New York Heart Association, TTE transthoracic echocardiogram, CMR cardiovascular magnetic resonance imaging
Data are mean ± standard deviation, n (%) or median (interquartile range)
aBody mass index (BMI) was measured in 148/180 patients
Table 2
Results of diagnostic tests in patients stratified by diagnosis of cardiac sarcoidosis based on Heart Rhythm Society criteria
Diagnostic test result
No cardiac sarcoidosis
(n = 138)
Cardiac sarcoidosis
(n = 42)
P-value
Electrocardiogram
(n = 138)
(n = 42)
 
AV block present
   
  
1st or 2nd degree Mobitz type I
 11 (8)
  3 (7)
   0.03
  
2nd degree Mobitz type II or 3rd degree
  0 (0)
  3 (7)
   0.03
 
Left bundle branch block
  4 (3)
  3 (7)
   0.36
 
Right bundle branch block
  9 (7)
  8 (19)
   0.03
 
Premature ventricular complex
  8 (6)
 10 (24)
   0.002
 
Atrial fibrillation
  2 (1)
  3 (7)
   0.08
 
Sinus tachycardia
 16 (12)
  1 (2)
   0.13
Holter registration
(n = 88)
(n = 31)
 
 
AV block present
   
  
1st or 2nd degree Mobitz type I
  2 (2)
  0 (0)
   1.00
  
2nd degree Mobitz type II or 3rd degree
  0 (0)
  1 (2)
   1.00
 
Percentage premature ventricular complexa
  1 (0–1)
  1 (0–2)
   0.02
 
Non-sustained ventricular tachycardia
 10 (11)
  8 (26)
   0.08
Transthoracic echocardiogram
(n = 138)
(n = 42)
 
 
LV ejection fraction
   
  
Normal (> 55%)
110 (80)
 19 (45)
< 0.001
  
Slightly less (45–55%)
 18 (13)
  8 (19)
   0.33
  
Moderate (35–45%)
  7 (5)
  6 (14)
   0.08
  
Severely depressed (< 35%)
  3 (2)
  9 (21)
< 0.001
 
LV regional wall motion abnormalities
 16 (12)
 11 (26)
   0.02
 
LV hypertrophy
 10 (7)
  2 (5)
   0.74
 
TAPSE < 16 mm
  4 (3)
  7 (17)
   0.004
 
Valvular dysfunction present
108 (78)
 35 (83)
   0.48
  
≥ Moderate aortic valve insufficiency
  3 (3)
  0 (0)
   1.00
  
≥ Moderate aortic valve stenosis
  1 (1)
  0 (0)
   1.00
  
≥ Moderate mitral valve insufficiency
  3 (3)
  5 (14)
   0.02
  
≥ Moderate pulmonary valve insufficiency
  1 (1)
  0 (0)
   1.00
  
≥ Moderate tricuspid valve insufficiency
  3 (3)
  2 (6)
   0.60
Cardiovascular magnetic resonance
(n = 84)
(n = 34)
 
 
Normal LV function (LV ejection fraction > 50%)
 65 (77)
 16 (47)
   0.001
 
Volumetryb
   
  
LV end-diastolic volume, ml
152 (128–195)
175 (144–208)
   0.07
  
LV end-systolic volume, ml
 71 (56–89)
 87 (67–134)
   0.01
  
LV stroke volume, ml
 79 (66–97)
 78 (62–85)
   0.23
  
LV ejection fraction, %
 54 (51–59)
 49 (30–56)
   0.004
  
LV mass, g
 91 ± 29
 95 ± 25
   0.49
  
RV end-diastolic volume, ml
146 (117–191)
160 (128–218)
   0.18
  
RV end-systolic volume, ml
 71 (54–96)
 86 (56–125)
   0.07
  
RV stroke volume, ml
 77 (63–98)
 76 (61–86)
   0.28
  
RV ejection fraction, %
 53 (47–59)
 47 (37–59)
   0.02
 
Regional wall motion abnormalitiesc
   
  
LV regional wall motion abnormalities
 16 (19)
 12 (36)
   0.05
  
RV regional wall motion abnormalities
  2 (2)
  5 (15)
   0.02
 
Late gadolinium enhancement
   
  
Pattern strongly consistent with CS
  0 (0)
 21 (62)
< 0.001
  
Pattern likely consistent with CS
  0 (0)
  7 (21)
< 0.001
  
Pattern not likely consistent with CS
 12 (14)
  0 (0)
   0.018
  
No late gadolinium enhancement
 72 (86)
  6 (18)
< 0.001
18F‑FDG positron emission tomography
(n = 35)
(n = 31)
 
  
Uptake strongly consistent with CS
  0 (0)
 12 (39)
< 0.001
  
Uptake possibly consistent with CS
  0 (0)
  7 (23)
   0.003
  
Physiological uptake
  5 (14)
  1 (3)
   0.20
  
Inconclusive
  2 (6)
  2 (6)
   1.00
  
No uptake
 28 (80)
  9 (29)
< 0.001
Endomyocardial biopsy
(n = 2)
(n = 9)
 
 
Positive for sarcoidosis
  0 (0)
  2 (22)
   1.00
AV block atrioventricular block, TAPSE tricuspid annular plane systolic excursion, CS cardiac sarcoidosis, 18F‑FDG 18F‑fluorodeoxyglucose
Data are n (%), median (interquartile range) or mean ± standard deviation
aPercentage of premature ventricular complexes was measured in 50/84 patients and 24/34 patients, respectively
bLeft ventricular (LV) volumes were measured in 83/84 patients and 33/34 patients, respectively, LV mass was measured in 83/84 patients and 32/34 patients, respectively, and right ventricular (RV) volumes were measured in 83/84 patients and 32/34 patients, respectively
cWall abnormalities were measured in 83/84 patients and 33/34 patients, respectively
The opposite was also true: a normal ECG and TTE did not exclude patients from having CS as 11 of the 88 patients (13%) without ECG/TTE abnormalities were eventually diagnosed with CS. Most of these patients were referred for further analysis to the cardiologist based on clinical suspicion of cardiac involvement (i.e. symptoms such as angina pectoris, dyspnoea and dizziness) or cardiac arrhythmias (i.e. frequent premature ventricular complexes on Holter registration or during cardiac stress test or atrial and ventricular arrhythmias during hospitalisation).
Additional testing using CMR and/or 18F‑FDG PET was performed in 133/180 patients (74%). The test results are shown in Tab. 2 and Fig. 1. CMR confirmed that reduced systolic function and regional wall abnormalities occurred more frequently in CS patients. LGE and 18F‑FDG uptake consistent with CS were also found in these patients (Fig. 2). Advanced non-invasive imaging examinations were also performed in 95/138 patients (69%) without CS, whereby CMR led to an alternative diagnosis (i.e. myocardial infarction or other cardiomyopathies) in 18% of the patients. In 4 CS patients, no additional imaging was performed, and the diagnosis was based on positive EMBs, slow VT in patients with dilated cardiomyopathy and restrictive cardiomyopathy for which other causes had been excluded.
Fig. 2
Examples of late gadolinium enhancement (LGE) images and 18F‑fluorodeoxyglucose (18F‑FDG) positron emission tomography (PET) images with myocardial uptake in 3 patients diagnosed with cardiac sarcoidosis. a Extensive mid-myocardial LGE and 18F‑FDG uptake inferior and epicardial to mid-wall LGE apicoseptal in 4‑chamber view. Transmural LGE basal anterolateral and inferior with involvement of right ventricle in short-axis view. b Mid-myocardial LGE basal inferolateral corresponding to location of 18F‑FDG uptake on PET scan. c Focal to subendocardial LGE midventricular septum corresponding to location of 18F‑FDG uptake on PET scan in short-axis and 4‑chamber views. CMR cardiovascular magnetic resonance imaging
Afbeelding vergroten

Long-term outcomes

Long-term outcomes are depicted in Fig. 1. A total of 11 composite endpoint events occurred during a median follow-up time of 4.4 years (IQR: 2.3–6.8). CS patients were more likely to experience cardiac-related events than patients without cardiac involvement (log-rank p < 0.001; Fig. 3a and see Table S2 in Electronic Supplementary Material). In addition, patients with ECG/TTE abnormalities at baseline had worse outcomes than those without these abnormalities (log-rank p = 0.019; Fig. 3b). Especially patients with a normal ECG/TTE had a very good prognosis.
Fig. 3
Kaplan-Meier survival analyses showing composite endpoint of sustained ventricular tachycardia, ventricular fibrillation, aborted sudden cardiac death, heart failure hospitalization, heart transplantation or cardiac death. a Cardiac-related events in patients with and without cardiac sarcoidosis, b Cardiac-related events in patients with and without electrocardiogram (ECG) and/or transthoracic echocardiogram (TTE) abnormalities
Afbeelding vergroten
Univariate analysis demonstrated significant associations between the composite endpoint and the presence of left bundle branch block and left ventricular ejection fraction < 45% (Tab. 3). This table also shows the results of various multivariate analyses. In Model 1, which included baseline characteristics, ECG and TTE variables, only left ventricular ejection fraction < 45% on TTE was associated with the composite endpoint. Model 2, for which LGE was added to the multivariate model, showed only LGE consistent with CS on CMR was associated with the composite endpoint.
Table 3
Univariate and multivariate analysis for composite endpoint of sustained ventricular tachycardia, ventricular fibrillation, aborted sudden cardiac death, heart failure hospitalization, heart transplantation or cardiac death
Variable
Univariate analysis
(n = 180)
Multivariate analysis—Model 1 (n = 180)a
Multivariate analysis—Model 2 (n = 118)b
 
HR
95% CI
P‑value
HR
95% CI
P‑value
HR
95% CI
P‑value
Age at presentation
 1.0
 1.0–1.1
   0.55
   
Male sex
 1.0
 0.3–3.7
   1.00
   
NYHA class III or IV
 1.3
 0.3–6.4
   0.74
   
Cardiac symptoms
 0.5
 0.1–2.0
   0.36
      
Other symptoms
 1.2
 0.2–6.7
   0.82
      
Heart failure
 5.8
 1.4–23.6
   0.01
      
Presence of any atrioventricular block
 0.04
 0.0–2597.1
   0.58
   
Left bundle branch block
 7.6
 1.7–34.2
   0.01
   
Right bundle branch block
 1.2
 0.2–9.7
   0.85
   
Moderate and severely depressed LV ejection fraction (< 45%) on TTE
16.6
 3.4–79.8
< 0.001
9.7
 1.8–53.6
0.01
7.3
 0.8–69.6
0.09
Regional wall motion abnormalities on TTE
 1.7
 0.4–8.3
   0.50
   
Positive LGE consistent with cardiac sarcoidosis
22.8
 2.7–195.6
   0.004
N/A
10.7
 1.1–103.2
0.04
18F‑FDG uptake consistent with cardiac sarcoidosis
 8.6
 1.0–76.7
   0.06
N/A
N/A
18F‑FDG 18F‑fluorodeoxyglucose, HR hazard ratio, CI confidence interval, NYHA New York Heart Association, LV left ventricular, TTE transthoracic echocardiogram, LGE late gadolinium enhancement, CMR cardiovascular magnetic resonance imaging, PET positron emission tomography, N/A not applicable
aModel 1 (forward conditional) included all patients without CMR or 18F‑FDG PET variables
bFor Model 2, LGE was added to Model 1

Discussion

The aims of this study were to evaluate the diagnostic approach for CS in a tertiary centre and to assess the long-term outcomes of these patients. The main findings were as follows: (1) cardiac symptoms were found to be insufficient to distinguish between cardiac involvement or not, (2) an ECG and TTE without abnormalities made the diagnosis of CS unlikely but could not completely rule out cardiac involvement, (3) advanced non-invasive imaging contributed to the diagnostic yield of the diagnostic approach, and (4) in CS patients without ECG/TTE abnormalities at baseline had a good prognosis during follow-up.
Given the low sensitivity of an invasive EMB and the lack of a gold standard test to diagnose CS, expert opinion-based guidelines have been developed in which advanced non-invasive imaging modalities play an important role [17, 18, 26]. Although several studies have attempted to determine the optimal diagnostic approach for CS, this is still not fully defined. According to the study by Kouranos et al., the initial step of an approach can be based on the presence or absence of cardiac symptoms and/or ECG abnormalities [18]. One of the main reasons for referring sarcoidosis patients for cardiac analysis in the current cohort was the presence of cardiac symptoms. However, our study showed that the presence of cardiac symptoms was not sufficient to distinguish between patients with and those without cardiac involvement. Despite previous studies showing lower sensitivity and specificity of ECG [18, 21], our approach started with the assessment of ECG/TTE abnormalities. In the majority of our patients (88%) without ECG/TTE abnormalities, cardiac involvement could be excluded using the HRS criteria. However, a normal ECG/TTE could not completely rule out cardiac involvement; advanced non-invasive imaging still established cardiac involvement in 13% of these patients. However, follow-up showed these patients had an overall good prognosis as only 1 of them developed sepsis with multi-organ failure and death as a result.
To assess cardiac involvement of sarcoidosis with greater certainty, biomarkers and advanced non-invasive imaging modalities with higher sensitivity and specificity can be incorporated into the diagnostic approach [10, 18, 21, 2628]. For example, different studies showed that elevated N-terminal pro-brain natriuretic peptide (NT-proBNP) levels were associated with a higher risk of cardiac involvement and troponin levels were correlated with disease activity, with a normalisation of these levels after treatment with corticosteroids. It has also been described that troponin and NT-proBNP levels can predict long-term outcomes. For example, troponin is associated with fatal arrhythmias, and NT-proBNP is a predictor of heart failure [21, 29]. Therefore, these biomarkers may contribute to increased diagnostic accuracy of the further diagnostic approach. Unfortunately, in our retrospective study, biomarker data were not available in a sufficient number of patients. Furthermore, it is known from the literature that CMR is a useful modality in the assessment of CS due to its ability to characterise the myocardium (i.e. oedema, LGE) in a non-invasive manner. As a result, multiple studies have been able to demonstrate similar prevalences of CS by CMR as by autopsy [4, 6, 10, 17, 18, 21]. Our study showed a prevalence rate of 23%, which was achieved in a selected patient population without the standard performance of CMR/18F‑FDG PET in each patient. However, clinically silent CS can be missed by applying this approach and may have introduced bias. Therefore, the sensitivity and specificity of both advanced imaging modalities were not calculated. It is likely that if CMR and 18F‑FDG PET had been performed in every patient, the incidence of (possible) CS could have been slightly higher.
CMR can also contribute to establishing alternative diagnoses if CS can be excluded. In recent years, research has also shown that CMR can contribute to determining the prognosis of CS and deciding whether and when to start therapy (i.e. immunosuppressive therapy or preventive therapy with an ICD in patients with LGE with a higher risk of sustained VT) [17]. In addition, Vita et al. demonstrated that the diagnostic value of determining CS increased when CMR and 18F‑FDG PET results were combined and that this was also of importance for treatment [26]. Although CMR/18F‑FDG PET has many possibilities to optimise the diagnostic approach of CS, the availability, costs and expertise needed should be taken into account. Performing advanced cardiac imaging in every patient with extra-cardiac sarcoidosis will be demanding. We still recommend the pulmonary physician screens sarcoidosis patients for cardiac symptoms and refers them to the cardiologist if needed. Based on the clinical presentation and ECG/TTE/biomarkers results, the cardiologist will decide with greater certainty whether further additional testing using advanced cardiac imaging are necessary.
Based on our study, we recommend performing CMR in sarcoidosis patients (with confirmed extra-cardiac granulomatous inflammation on biopsy) who have a high clinical suspicion of CS [29]. CS patients are then monitored by the cardiologist over time, with or without repeated advanced imaging. For patients with normal ECG, TTE, biomarkers and CMR, it is unknown whether and when non-invasive imaging should be repeated. Our recommendation should be applied in case of symptoms, ECG changes or flare-ups of extra-cardiac sarcoidosis. However, we have not investigated this in our current study. No standard routine screening intervals are currently recommended [30]. To validate the findings of this observational single-centre study in a broader, multicentre context, a prospective study should be performed. It is of added value if future studies with a larger population and longer follow-up duration can confirm the findings of a good prognosis in sarcoidosis patients with a normal ECG and TTE. The role of cardiac biomarkers such as NT-proBNP and troponin should be further studied to determine whether they can be used as gatekeeper for additional testing. This may make it easier to decide whether additional imaging is necessary and whether patients can be safely discharged from the cardiology outpatient clinic.

Study limitations

Some potential limitations of our study can be mentioned. This study is sensitive to selection bias, not only because patients were referred to this tertiary hospital—which is also acknowledged as an national and international sarcoidosis expert centre—but also because patients were only included if there was a clinical suspicion of CS based on symptoms or ECG abnormalities. However, as shown herein, symptoms were not a good parameter to discriminate between cardiac involvement or not. Moreover, advanced cardiac imaging with CMR and/or 18F‑FDG PET was not standardly performed in each patient but only at the discretion of the treating physician. It is likely that if CMR and 18F‑FDG PET were performed in every patient, the incidence of CS was slightly higher. In addition, our study was a single-centre study with a relatively small sample size, especially a low number of patients with CS.

Conclusion

Of the patients with sarcoidosis referred for cardiac evaluation to our tertiary centre, 23% were diagnosed with CS. Cardiac symptoms and ECG and/or TTE abnormalities were of limited value for CS screening. However, by adding CMR/18F‑FDG PET as advanced non-invasive imaging to our diagnostic approach, a higher diagnostic yield was obtained and other cardiac diseases could be diagnosed in patients without CS. Follow-up showed a good prognosis in CS patients without ECG/TTE abnormalities at baseline.

Conflict of interest

R.P. J. Budde reports speaker fees and honoraria for advisory board participation from Bayer. Institutional support was paid to the Erasmus Medical Centre in Rotterdam by Siemens and HeartFlow. J.R. Miedema has received consultancy and speaker fees from Boehringer-Ingelheim and speaker fees from Roche and Novartis. M. Michels has received a research grant, consultancy fees, and speaker fees from Bristol Meyer Squibb, consultancy fees from Cytokinetics, and speaker fee from Sanofi-Genzyme. She also serves as an editor of the Netherlands Heart Journal. A. Hirsch has received a research grant and consultancy fees from GE Healthcare and speaker fees from GE Healthcare, Bristol Meyer Squibb and Bayer. He also serves as an editor of the Netherlands Heart Journal, is a member of the medical advisory board of Medis Medical Imaging Systems and was the MRI corelab supervisor of Cardialysis BV until 2022. N. van der Velde, A. Poleij, M.J. Lenzen, T. Brabander and A.F.L. Schinkel declare that they have no competing interests.
Open Access This article is licensed under a Creative Commons Attribution 4.0 International License, which permits use, sharing, adaptation, distribution and reproduction in any medium or format, as long as you give appropriate credit to the original author(s) and the source, provide a link to the Creative Commons licence, and indicate if changes were made. The images or other third party material in this article are included in the article’s Creative Commons licence, unless indicated otherwise in a credit line to the material. If material is not included in the article’s Creative Commons licence and your intended use is not permitted by statutory regulation or exceeds the permitted use, you will need to obtain permission directly from the copyright holder. To view a copy of this licence, visit http://creativecommons.org/licenses/by/4.0/.
Titel
Screening for cardiac sarcoidosis: diagnostic approach and long-term follow-up in a tertiary centre
Auteurs
Nikki van der Velde
Anne Poleij
Mattie J. Lenzen
Ricardo P. J. Budde
Tessa Brabander
Jelle R. Miedema
Arend F. L. Schinkel
Michelle Michels
Alexander Hirsch
Publicatiedatum
09-01-2025
Uitgeverij
BSL Media & Learning
Gepubliceerd in
Netherlands Heart Journal / Uitgave 2/2025
Print ISSN: 1568-5888
Elektronisch ISSN: 1876-6250
DOI
https://doi.org/10.1007/s12471-024-01925-0
1.
go back to reference Ungprasert P, Carmona EM, Utz JP, et al. Epidemiology of Sarcoidosis 1946–2013: A Population-Based Study. Mayo Clin Proc. 2016;91:183–8.CrossRefPubMed
2.
go back to reference Rybicki BA, Major M, Popovich J Jr, et al. Racial Differences in Sarcoidosis Incidence: A 5-Year Study in a Health Maintenance Organization. Am J Epid. 1997;145:234–41.CrossRef
3.
go back to reference Dubrey SW, Falk RH. Diagnosis and Management of Cardiac Sarcoidosis. Prog Cardiovasc Dis. 2010;52:336–46.CrossRefPubMed
4.
go back to reference Silverman KJ, Hutchins GM, Bulkley BH. Cardiac sarcoid: a clinicopathologic study of 84 unselected patients with systemic sarcoidosis. Circulation. 1978;58:1204–11.CrossRefPubMed
5.
go back to reference Iwai K, Tachibana T, Takemura T, et al. Pathological studies on sarcoidosis autopsy. I. Epidemiological features of 320 cases in Japan. Pathol Int. 1993;43:372–6.
6.
go back to reference Martusewicz-Boros MM, Boros PW, Wiatr E, et al. Prevalence of cardiac sarcoidosis in white population: a case-control study: Proposal for a novel risk index based on commonly available tests. Medicine. 2016;95:e4518.CrossRefPubMedPubMedCentral
7.
go back to reference Baughman RP, Teirstein AS, Judson MA, et al. Clinical Characteristics of Patients in a Case Control Study of Sarcoidosis. Am J Resp Crit Care Med. 2001;164:1885–9.CrossRefPubMed
8.
go back to reference Lynch JP, Hwang J, Bradfield J, et al. Cardiac involvement in sarcoidosis: evolving concepts in diagnosis and treatment. Semin Respir Crit Care Med. 2014;35:372–90.CrossRefPubMedPubMedCentral
9.
go back to reference Slart RGA, Lancellotti P, Hyafil F, et al. A joint procedural position statement on imaging in cardiac sarcoidosis: from the Cardiovascular and Inflammation &amp; Infection Committees of the European Association of Nuclear Medicine, the European Association of Cardiovascular Imaging, and the American Society of Nuclear Cardiology. Eur Heart J. 2017;18:1073–89.
10.
go back to reference Birnie DH, Sauer WH, Bogun F, et al. HRS Expert Consensus Statement on the Diagnosis and Management of Arrhythmias Associated With Cardiac Sarcoidosis. Heart Rhythm. 2014;11:1304–23.CrossRef
11.
go back to reference Błaut-Jurkowska J, Kaźnica-Wiatr M, Knap K, et al. Cardiac sarcoidosis—management and prognosis. 2017.
12.
go back to reference Yazaki Y, Isobe M, Hiroe M, et al. Prognostic determinants of long-term survival in Japanese patients with cardiac sarcoidosis treated with prednisone. Am J Card. 2001;88:1006–10.CrossRefPubMed
13.
go back to reference Kusano KF, Satomi K. Diagnosis and treatment of cardiac sarcoidosis. Heart. 2016;102:184.CrossRefPubMed
14.
go back to reference Sekiguchi M, Hiroe M, Take M, Hirosawa K. Clinical and Histopathological Profile of Sarcoidosis of the Heart and Acute Idiopathic Myocarditis Concepts through a study employing endomyocardial biopsy II. Myocarditis: Symposium on Secondary Myocardial Disease. Jap Circ J. 1980;44:264–73.CrossRefPubMed
15.
go back to reference Kim JS, Judson MA, Donnino R, et al. Cardiac sarcoidosis. Am Heart J. 2009;157:9–21.CrossRefPubMed
16.
go back to reference Kopriva P, Griva M, Tüdös Z. Management of cardiac sarcoidosis—A practical guide. Cor Vasa. 2018;60:e155–e64.CrossRef
17.
go back to reference Hulten E, Aslam S, Osborne M, et al. Cardiac sarcoidosis—state of the art review. Cardiovasc Diag Ther. 2016;6:50–63.
18.
go back to reference Kouranos V, Tzelepis GE, Rapti A, et al. Complementary Role of CMR to Conventional Screening in the Diagnosis and Prognosis of Cardiac Sarcoidosis. Jacc: Cardiovasc Imaging. 2017;10:1437–47.PubMed
19.
go back to reference Hiraga H, Iwai K. Guidelines for diagnosis of cardiac sarcoidosis: study report on diffuse pulmonary disease (in Japanese). Tokyo: The Japanese Ministry of Health and Welfare; 1993.
20.
go back to reference Diagnostic standard and guidelines for sarcoidosis. Jpn J Sarcoidosis Granulomatous Disord. 2007;27:89–102.
21.
go back to reference Darlington P, Gabrielsen A, Cederlund K, et al. Diagnostic approach for cardiac involvement in sarcoidosis. Sarcoidosis Vasc Diffuse Lung Dis. 2019;36:11–7.PubMedPubMedCentral
22.
go back to reference Hunninghake GW, Costabel U, Ando M, et al. ATS/ERS/WASOG statement on sarcoidosis. American Thoracic Society/European Respiratory Society/World Association of Sarcoidosis and other Granulomatous Disorders. Sarcoidosis Vasc Diffuse Lung Dis. 1999;16:149–73.PubMed
23.
go back to reference Simpson R, Bromage D, Dancy L, et al. 6 Comparing echocardiography and cardiac magnetic resonance measures of ejection fraction: implications for HFMRF research. Heart. 2018;104(5):A3.
24.
go back to reference Wagholikar KB, Fischer CM, Goodson A, et al. Extraction of Ejection Fraction from Echocardiography Notes for Constructing a Cohort of Patients having Heart Failure with reduced Ejection Fraction (HFrEF). J Med Syst. 2018;42:209.CrossRefPubMedPubMedCentral
25.
go back to reference Petersen SE, Aung N, Sanghvi MM, et al. Reference ranges for cardiac structure and function using cardiovascular magnetic resonance (CMR) in Caucasians from the UK Biobank population cohort. J Cardiovasc Magn Res. 2017;19:18.CrossRef
26.
go back to reference Vita T, Okada DR, Veillet-Chowdhury M, et al. Complementary Value of Cardiac Magnetic Resonance Imaging and Positron Emission Tomography/Computed Tomography in the Assessment of Cardiac Sarcoidosis. Circ Cardiovasc Imaging. 2018;11:e7030.CrossRefPubMedPubMedCentral
27.
go back to reference Flamée L, Symons R, Degtiarova G, et al. Prognostic value of cardiovascular magnetic resonance in patients with biopsy-proven systemic sarcoidosis. Eur Radiol. 2020;30:3702–10.CrossRefPubMed
28.
go back to reference Kiko T, Yoshihisa A, Kanno Y, et al. A Multiple Biomarker Approach in Patients with Cardiac Sarcoidosis. Int Heart J. 2018;59:996–1001.CrossRefPubMed
29.
go back to reference Pour-Ghaz I, Kayali S, Abutineh I, et al. Cardiac Sarcoidosis: Pathophysiology, Diagnosis, and Management. Hearts. 2021;2:234–50.CrossRef
30.
go back to reference Mathijssen H, Tjoeng TWH, Keijsers RGM, et al. The usefulness of repeated CMR and FDG PET/CT in the diagnosis of patients with initial possible cardiac sarcoidosis. Ejnmmi Res. 2021;11:129.CrossRefPubMedPubMedCentral