Ga naar de hoofdinhoud
Top

Mindful Coping With Stress: A Multilevel Analysis of the Effect of Trait Self-Efficacy Beliefs on the Association of State Mindfulness and Coping Responses in Everyday Life

  • Open Access
  • 25-02-2026
  • ORIGINAL PAPER

Abstract

Objectives

While the stress-buffering effects of trait mindfulness—a stable, dispositional characteristic—are widely explored, the dynamic role of state mindfulness, a momentary and fluctuating experience, remains largely unknown, especially in the context of coping. The present study investigated the relations between state mindfulness and the use of coping strategies in everyday contexts, as well as whether dispositional self-efficacy beliefs moderate the relations between momentary mindfulness and coping responses. Specifically, it was assumed that higher momentary mindfulness facilitates the use of more engagement and less disengagement coping on a given occasion. Moreover, it was hypothesized that the association of mindful states and coping varies by self-efficacy beliefs.

Method

For testing the assumptions, an ambulatory assessment was conducted with 211 participants (86.3% female; age M = 23.33 years, SD = 5.61), who reported their momentary mindfulness and coping three times a day over a 7-day period using the Multidimensional State Mindfulness Questionnaire and the Brief COPE. Additionally, participants gave answers about their self-efficacy beliefs once at the beginning of the study, using the General Self-efficacy Scale. Analyses used multilevel regression models with robust maximum likelihood estimation and full information maximum likelihood for missing data.

Results

Results indicated that an individual’s momentary mindfulness is related to more engagement and less disengagement coping on a given occasion. They further show that there is a negative association between mindfulness and disengagement coping for people with low self-efficacy beliefs, but not for people with high self-efficacy beliefs.

Conclusions

This study sheds light on the associations between momentary mindfulness and coping responses in daily life and integrated dispositional self-efficacy beliefs as an additional influential factor in this relation.

Preregistration

The preregistration of the analyses reported in this article is available at the Open Science Framework (https://osf.io/jhcvt/overview). The preregistration was completed after data collection but prior to the statistical analyses described in this article.

Supplementary Information

The online version contains supplementary material available at https://doi.org/10.1007/s12671-025-02745-y.
Christina Ewert and Cosma Frauke Antonia Hoffmann contributed equally to this work.

Publisher's Note

Springer Nature remains neutral with regard to jurisdictional claims in published maps and institutional affiliations.
Research on mindfulness has become popular over the last few decades (e.g., Creswell & Lindsay, 2014; Pickert, 2014; Shapiro, 2009). In recent years, mindfulness has gained increasing scientific and public attention due to accumulating evidence of its role in promoting mental health, stress resilience, and adaptive functioning across a variety of settings (e.g., Creswell & Lindsay, 2014; Garland et al., 2009; Khoury et al., 2013). Evidence for the role of mindfulness not only in preventing and reducing, e.g., pathologies but also in fostering positive health outcomes is continuously growing (e.g., Baer, 2003; Creswell & Lindsay, 2014; Garland et al., 2009; Grossman et al., 2004; Ivtzan et al., 2016; Khoury et al., 2013). This growing body of work has broadened the scope of mindfulness research, integrating it increasingly into the framework of positive psychology, where it is conceptualized not only as a means of reducing symptoms but as a resource for enhancing well-being, fostering resilience and self-regulation, and supporting adaptive coping in everyday life (Ivtzan et al., 2016).
Although multidimensional approaches have been proposed with up to eight facets (e.g., Bergomi et al., 2014), common conceptualizations of mindfulness emphasize two core components: attentional monitoring of present-moment experience and acceptance of that experience (e.g., Bishop et al., 2004; Kabat-Zinn, 1990). According to the Monitoring and Acceptance Theory (MAT; Lindsay & Creswell, 2017), attention monitoring refers to focusing one’s attention on the current perceptions, regardless of whether they are positive, neutral, or negative. Monitoring one’s internal states is theorized to enhance cognitive outcomes (e.g., selective or sustained attention), but may also increase emotional reactivity. Acceptance serves as an umbrella term in the MAT, consisting of nonavoidance, nonattachment, nonevaluation, and nonjudgment (Lindsay & Creswell, 2017; Williams & Lynn, 2010). It is the crucial complementary part to attention monitoring, as it attenuates one’s emotional reactivity such that a positive attitude toward one’s emotions is fostered. Other facets, such as describing or acting with awareness, have been included in some models of mindfulness (e.g., Baer et al., 2006). However, according to the MAT framework, these are not considered core mechanisms of mindfulness but rather outcomes of monitoring and acceptance processes. Following this perspective, the present study focused on mindfulness, a construct that is grounded in these two central components.
Furthermore, mindfulness has been conceptualized in various ways, ranging from enduring dispositions to momentary states. In this regard, trait and state mindfulness have been distinguished to better understand mindfulness processes. Trait mindfulness refers to a relatively stable tendency to attend to and accept present-moment experiences across situations, whereas state mindfulness reflects a momentary, situation-dependent awareness and acceptance of current experience (e.g., Brown & Ryan, 2003; Kabat-Zinn, 1990; Lindsay & Creswell, 2017). Importantly, state mindfulness is not simply reducible to trait mindfulness but reflects a distinct situational process, as individuals low in trait mindfulness may still experience mindful states in specific contexts, and vice versa (cf. Rau & Williams, 2016; Brown & Ryan, 2003).
Mindfulness has been associated consistently with affective well-being and health (for further details, see meta-analysis by Grossman et al., 2004; but cf. Aizik-Reebs et al., 2021, and Lindahl et al., 2017, for potential adverse events of mindfulness practice). Fostering mindfulness is the primary aim of various mindfulness-based interventions (e.g., Weinstein et al., 2009). However, recent evidence suggests that increased mindfulness may not necessarily be a unique effect of mindfulness interventions, but could be construed as an indicator of general mental health (Tran et al., 2022). From a theoretical perspective, mindfulness can also be understood as a tool for coping with stress (cf. Kabat-Zinn, 1982). The Monitoring and Acceptance Theory (MAT; Lindsay & Creswell, 2017) provides a framework for explaining this link: by enhancing nonjudgmental awareness of internal states, drawing attention to stressors, and meeting them with acceptance. These processes may ease emotional reactivity, enable early detection of the need to cope, broaden attentional scope, and ultimately support constructive engagement with stressors (Garland et al., 2009; Keng et al., 2018; Teper et al., 2013).
The ability to cope with stress is a central process for maintaining mental health (Taylor & Stanton, 2007). Coping is generally defined as efforts to manage stress (e.g., Bodenmann & Gmelch, 2009; Rusch, 2019; Skinner et al., 2003) and can be classified in various ways, most commonly as engagement vs. disengagement, problem- vs. emotion-focused, or approach vs. avoidance coping (Carver & Connor-Smith, 2010; Lazarus & Folkman, 1984). The present study focused on engagement and disengagement coping, drawing on a hierarchical framework that integrates different coping classifications into a unifying structure (Carver & Connor-Smith, 2010; Connor-Smith & Flachsbart, 2007; Ewert et al., 2021). Engagement coping includes active, problem-focused and adaptive emotion-focused strategies (e.g., planning, positive reframing), whereas disengagement coping reflects avoidance-oriented strategies (e.g., denial, rumination, substance use). Engagement and disengagement coping are conceptually tied to mindfulness through its core mechanisms of attentional monitoring and acceptance. In theory, present-moment attention makes stressors more salient, while acceptance reduces avoidance tendencies, together making it harder to disengage mentally and instead opening the possibility to actively engage with the stressor (Garland et al., 2015; Farb et al., 2014).
Empirical evidence shows that trait mindfulness is positively correlated with engagement coping strategies (i.e., attending to one’s feelings, problem-solving, acceptance, and cognitive reinterpretation) and negatively correlated with strategies that can be subsumed as disengagement (i.e., rumination, worry, thought suppression, experiential avoidance; Feldman et al., 2007; Götmann & Bechtoldt, 2021; Keng et al., 2018; Weinstein et al., 2009). Experimental evidence further suggests that brief inductions of state mindfulness can affect coping responses, showing reduced avoidance and increased approach coping, particularly under conditions of high perceived stress (Donald et al., 2016). While longer mindfulness-based interventions have also been found to improve coping styles (e.g., Zandi et al., 2021), they cannot be directly equated with naturally occurring state mindfulness in daily life (cf. Rau & Williams, 2016). Furthermore, research shows that positive effects of trait or state mindfulness can occur separately, suggesting that the beneficial effects of state mindfulness are not limited to those with a more mindful disposition (e.g., Brown & Ryan, 2003; Kiken et al., 2015). Specifically, even after accounting for dispositional mindfulness, higher momentary mindfulness has been linked to self-regulation and well-being (Brown & Ryan, 2003), underscoring its unique contribution.
Although only a few studies have examined whether state mindfulness predicts coping responses, existing evidence suggests that higher levels of state mindfulness are associated with more engagement coping and less avoidance coping in daily life (Weinstein et al., 2009). In addition, several studies have demonstrated a positive influence of present-moment awareness on other stress-related variables (e.g., Brown & Ryan, 2003; Hülsheger et al., 2013). Taken together, this line of research suggests that being in a mindful state should support an individual’s engagement coping responses to daily stressors and is associated with less avoidance coping (i.e., disengagement coping; e.g., Donald et al., 2016). The present study aimed to add to the sparse literature by providing supportive or contradictory evidence regarding the effects of state mindfulness on coping behavior.
As described, mindfulness can influence the choice of coping strategies, but research also questions the ways in which other constructs possibly impact this relation (Pidgeon & Pickett, 2017). A key aspect of coping is how an individual judges the extent to which they can control the outcome of a situation and therefore evaluates what options are available for coping (Lazarus & Folkman, 1984). An essential construct in this process is self-efficacy beliefs. Self-efficacy beliefs are subjective convictions or an individual’s trust to successfully manage complex or demanding situations, using one’s competencies, even in the face of obstacles or difficulties (Bandura, 1997; Schwarzer & Jerusalem, 2002). Consequently, self-efficacy beliefs also play an essential role in influencing whether an individual initiates coping behavior, what coping strategy is chosen, and one’s persistence and performance (e.g., Lazarus & Folkman, 1984).
For this reason, self-efficacy beliefs are considered a dispositional resource (e.g., Jerusalem & Schwarzer, 1992) which might play an influential role in the relation between mindfulness and coping behavior. Firstly, the assumption of self-efficacy beliefs as a trait is based on the definition above that these beliefs result from subjective convictions that a person can behave in a desired way in a particular situation (Bandura, 1997). Secondly, self-efficacy beliefs develop over a person’s lifespan and influence situations through previously gained experiences and, in turn, influence what happens in following situations (e.g., through secondary appraisal). Thirdly, a theorized distinction between general and domain-specific self-efficacy is currently psychometrically questionable (van Diemen et al., 2020). Instead, the latent constructs behind several self-efficacy scales are possibly generalized self-efficacy. Therefore, the measured construct may be consistent and occur over many situations in the same way by having an impact on people’s behaviors or strategies: e.g., by influencing which coping strategy is chosen because a person believes they are capable of implementing this strategy (e.g., Bandura, 1997; Hamill, 2003). However, little is known specifically about the interplay of state mindfulness, trait self-efficacy beliefs, and situational coping (i.e., engagement/disengagement). As explained, mindfulness seems to facilitate accurate secondary appraisal of, e.g., coping resources on the one hand (e.g., Garland, 2007; Garland et al., 2009; Greeson, 2009). On the other hand, self-efficacy beliefs are named a personal resource (precisely: a general belief) by Lazarus and Folkman (1984). So, an individual’s level of dispositional self-efficacy beliefs also influences secondary appraisal because a person evaluates, e.g., their competencies and resources (Jerusalem & Schwarzer, 1992). Hence, self-efficacy beliefs predict coping responses (e.g., Donald & Atkins, 2016; Lazarus & Folkman, 1987). For example, self-efficacy beliefs have been positively associated with problem-focused coping (i.e., engagement coping) and negatively associated with avoidance coping (i.e., disengagement coping; e.g., Donald et al., 2017; Folkman & Moskowitz, 2004; Park et al., 2004; Terry, 1991).
Concluding from this, it seems likely that self-efficacy beliefs have an influence on the relations between momentary mindfulness and coping responses because a person may be in a high momentary mindful state but shows more engagement in coping only to the degree that they are convinced they can successfully apply this strategy. Conversely, a lack of confidence in one’s coping capacities may foster disengagement tendencies and thereby amplify the link between fewer mindful states and disengagement coping. The gaps this study seeks to address are firstly the scarcity of evidence linking mindfulness and coping behavior and, secondly, the question of how self-efficacy beliefs moderate the relationship between mindfulness and coping.
Deriving from our theoretical assumptions, the present study had two main aims. Firstly, it aimed to investigate the within-person relations between momentary mindfulness and momentary engagement (preregistered as “adaptive”) as well as disengagement (preregistered as “maladaptive”) coping responses. Secondly, it examined whether between-person differences in trait self-efficacy beliefs moderate these within-person associations between mindfulness and coping. Thus, the following hypotheses were proposed: (1) When individuals experience more mindful states, they tend to use more engagement and less disengagement coping, which reflects a positive association between mindful states and engagement coping and a negative association between mindful states and disengagement coping. (2) Trait self-efficacy beliefs moderate the association between state mindfulness and coping. Specifically, we propose the following: (a) The association between more mindful states and engagement coping is strengthened by high self-efficacy beliefs, which reflects that high self-efficacy intensifies the tendency toward engagement when mindfulness is high. (b) The association between fewer mindful states and disengagement coping is strengthened by low self-efficacy beliefs, which reflects that low self-efficacy particularly intensifies the tendency toward disengagement when mindfulness is low.
In line with our preregistration, these analyses were conducted using a composite score of attention monitoring and acceptance, balancing parsimony and reliability. In addition to these preregistered analyses, exploratory follow-up analyses were conducted in which the two facets of state mindfulness—attention and acceptance—were analyzed separately. This was done to address theoretical considerations from the Monitoring and Acceptance Theory (Lindsay & Creswell, 2017), which suggests that the two facets may differentially relate to coping. These analyses were not preregistered and are therefore clearly labeled as exploratory.

Method

Participants

Participants were recruited via the participant pool of cognitive sciences at two German universities and via class announcements. Additionally, flyers were distributed at meditation centers, yoga schools, fitness studios, supermarkets, and on university campuses to reach a broader population and reduce potential sampling bias. Although the sample predominantly consisted of students, the use of multiple recruitment channels was intended to enhance diversity and limit systematic selection effects.
The recruiting resulted in a final sample of N = 222 participants and N = 21 time points for each participant. Inclusion criteria were (a) being able to understand the study procedures and provide informed consent, (b) owning an Android smartphone or tablet compatible with the movisensXS application, (c) the ability to attend an initial laboratory session, and (d) the ability and willingness to respond to study prompts over a consecutive 7-day period. Data were excluded if participants had less than three data points in the entire dataset, e.g., due to technical problems, non-participation (n = 7), or if they only participated in the first trait measurement but not in the following measurements (n = 4). We excluded participants with fewer than three valid reports to ensure enough within-person variability for person-mean centering and stable random slope estimation. Very small clusters can bias variance and random-effect estimates (Bell et al., 2008; Snijders & Bosker, 2012).
The final sample consisted of 211 adults (female: n = 182, 86.3%). The participants’ mean age was M = 23.33 years (SD = 5.61, ranging from 16 to 59 years). Moreover, 200 (94.8%) of the participants were students. The other participants were pupils, employees, self-employed, or unemployed. Ninety (42.7%) participants had previous experience with mindfulness exercises. The study population consisted predominantly of university students, as this group was accessible within the research context and has been shown to be suitable for intensive longitudinal designs due to generally high compliance rates and availability for repeated measurements (cf. Conner & Lehman, 2012).

Procedures

This study was conducted as an ambulatory assessment design using smartphones to assess participants in their natural environment (Fahrenberg et al., 2007). All participants were recruited in the year 2018 at two German universities. Participant acquisition was performed via flyers and announcements using mailing lists.
Participants were invited to the laboratory, where a maximum of six people could attend at a time. Data were collected using SoSci Survey (SoSci Survey GmbH. (2018), www.soscisurvey.de). Firstly, all participants provided informed consent and demographic information, and after completing trait questionnaires including self-efficacy beliefs, further instructions were given to them. These instructions described the overall study aim as the investigation of everyday experiences of stress, emotions, and coping and explained the technical procedure. To avoid priming effects or influencing participants’ later state reports, no construct-specific explanations (e.g., regarding self-efficacy) were provided.
Additionally, the smartphone app movisensXS (movisens GmbH, 2018) was installed on participants’ Android smartphones or tablets and explained to them. One day later, the state measures (i.e., the experience sampling) started. For 7 days, data were collected at three time points per day. Participants were pseudo-randomly prompted (via an acoustic signal) to answer the momentary mindfulness and momentary coping questionnaires in the morning (10 a.m. to 1 p.m.), afternoon (1 p.m. to 6 p.m.), and in the evening (6 p.m. to 10 p.m.). If participants did not respond to a prompt, further reminders were given after 10 min. The response window was closed after 20 min, resulting in no data recorded if the participants had not answered during these intervals. This response window with one reminder reflects a pragmatic trade-off to balance participant burden and temporal resolution (cf. Hamaker & Wichers, 2017).
The schedule of three assessments per day across seven consecutive days was chosen to balance participant burden and data quality while ensuring coverage of different times of day to capture diurnal variation in mindfulness and coping (cf. Scollon et al., 2003). This design also provides sufficient within-person observations to model intraindividual variability and to obtain stable multilevel estimates (Nezlek, 2012).
Lastly, the participants could earn course credit if they were psychology students or were paid approx. US$25, depending on their response rate (minimum 70%).

Measures

Momentary Mindfulness

Mindfulness was measured using selected items from the German version of the Multidimensional State Mindfulness Questionnaire (MSMQ; Blanke & Brose, 2016). The MSMQ was selected because it is specifically designed to assess state mindfulness in momentary experience sampling contexts and has been validated in German-speaking samples (Blanke & Brose, 2016). The items were answered on a 6-point Likert scale (0 = does not apply at all to 6 = applies strongly). The facets of present-moment attention and nonjudgmental acceptance were measured with three items each. Example items are “I thought some of my thoughts/feelings were slightly off.” (nonjudgmental acceptance, reversed) and “I focused my attention on the present moment” (present-moment attention). For the present study, one total score of mindfulness was formed by calculating the mean value of the items that have been used, to provide a composite score in line with the preregistered analyses. Thus, a participant’s higher momentary mindfulness would result in a higher total score. In addition, for exploratory follow-up analyses, the two facets (present-moment attention and nonjudgmental acceptance) were also considered separately. Blanke et al. (2018) also reported within-person reliabilities of αpresent-moment attention = 0.70 and αnonjudgmental acceptance = 0.64.

Momentary Coping

Coping strategies were measured using the German version of the Brief COPE (Brief COPE; Carver, 1997; Knoll et al., 2005). The Brief COPE was chosen due to its established use in coping research and brevity, thereby minimizing participant burden while capturing key engagement and disengagement coping strategies (Carver, 1997). Items were rated on a 4-point Likert scale (1 = not at all to 4 = very much). The Brief COPE consists of 14 scales, but only the scales active coping, denial, behavioral withdrawal, positive reframing, and acceptance were measured with two items each in the present study. Participants were prompted to think about a problem they have been dealing with in order to assess their agreement to the scale’s items. Example items are “I’ve been concentrating my efforts on doing something about the situation I am in.” (active coping), “I’ve been refusing to believe that it has happened.” (denial), “I’ve been giving up the attempt to cope” (behavioral withdrawal), “I’ve been looking for something good in what is happening.“ (positive reframing), and “I’ve been learning to live with it.” (acceptance). Two variables have been computed by averaging the means of the individual items for subsequent analysis: one scale called engagement coping (i.e., a composite score of the dimensions active coping, positive reframing, and acceptance) and another called disengagement coping (i.e., a composite score of the dimensions denial and behavioral withdrawal). Higher scores on these scales would indicate increased use of the respective coping strategies. Carver (1997) reported for the original version of the Brief COPE reliabilities ranging from α = 0.68 (active coping), α = 0.54 (denial), α = 0.65 (behavioral withdrawal), and α = 0.64 (positive reframing), to α = 0.57 (acceptance).

Trait Self-Efficacy Beliefs

Self-efficacy beliefs were measured using the German version of the General Self-efficacy Scale (GSE; Schwarzer & Jerusalem, 2003; Schwarzer & Jerusalem, 1995). All ten items were used and rated on a 4-point Likert scale (1 = not true to 4 = exactly true). Example items are “I can always manage to solve difficult problems if I try hard enough” and “I can remain calm when facing difficulties because I can rely on my coping abilities.” A total score was computed by summarizing all items, while higher scores represent a higher level of participants’ trait self-efficacy beliefs. For further details, see Appendix A. In addition, Ruch et al. (2014) reported internal consistency of α = 0.89.

Data Analyses

In order to follow open science standards, the hypotheses for the study reported in this article were preregistered on the open science framework (OSF, osf.io) after data collection had been completed (Mertzen et al., 2021; for further details, see https://osf.io/jhcvt/overview). At that time, some co-authors had already seen the data. However, no statistical analyses concerning the preregistered hypotheses had been conducted. Analyses previously performed on the dataset were related to different research questions and have been reported elsewhere (Ewert et al., 2022; Hoffmann et al., 2024; Noack et al., 2025). Due to the ambulatory assessment design, the dataset resulted in a multilevel structure defined by measurement time points at the intraindividual level (Level 1—within) and persons at the interindividual level (Level 2—between). Thus, multilevel regression analyses were conducted using Mplus 8 (Muthén & Muthén, 19982017). State mindfulness and coping were centered at the person mean, and trait self-efficacy beliefs at the group mean. Missing data were handled using the full information maximum likelihood method (FIML; Peugh, 2010) using maximum likelihood estimation with robust standard errors (MLR).
The intra-class correlations (ICC) were calculated to assess the adequacy of the multilevel structure (Geiser, 2010). Therefore, we followed the approach of using multilevel modeling in the case of an ICC > 0 (Geiser, 2010; Peugh, 2010).
In this study, it was investigated whether momentary mindfulness is related to engagement and disengagement coping responses as well as whether self-efficacy beliefs at the interindividual level influence these relations. For this purpose, we analyzed a multilevel regression model including a Level-1 predictor (state mindfulness) to check if the dependent variables (engagement and disengagement coping) vary depending on the degree of state mindfulness in a person on a given occasion. We compared models predicting engagement and disengagement coping from momentary mindfulness with random intercept and fixed slope with models with random intercept and random slope using the Bayesian information criterion (BIC). A lower BIC indicates a better model fit (Lorah & Womack, 2019). When computing the difference of BIC’s of two models, “[…] guidelines indicate that a difference greater than 10 indicates very strong evidence […]” (Raftery, 1995 as cited in Lorah & Womack, 2019; p. 440). In the case of a lower BIC for the model with a random slope, it was further analyzed whether a Level-2 predictor explains part of this variance. Consequently, self-efficacy beliefs were entered as a Level-2 predictor to evaluate whether they moderate the relations between momentary mindfulness and momentary engagement/disengagement coping (i.e., whether self-efficacy beliefs at Level 2 explain the random slope variability at Level 1). In the case of a significant interaction, simple slopes on different conditional values of the moderator were calculated (i.e., + 1 SD above indicated high levels and 1 SD below mean indicated low levels; Preacher et al., 2006). In addition to these preregistered analyses, exploratory follow-up analyses were conducted in which the two facets of state mindfulness—present-moment attention and nonjudgmental acceptance—were analyzed separately. This was done to address theoretical considerations from the Monitoring and Acceptance Theory (Lindsay & Creswell, 2017), which suggests that the two facets may differentially relate to coping. Specifically, all multilevel models described above were re-run, once with attention monitoring and once with acceptance as the Level-1 predictors, including dispositional self-efficacy beliefs as a Level-2 moderator as in the preregistered models. These analyses were not preregistered and are therefore considered exploratory.
All multilevel models were estimated in Mplus using its default two-tailed significance tests. Accordingly, all reported p-values are two-sided and evaluated against the conventional significance threshold of p < 0.05 (Lorah & Womack, 2019). Effect sizes were reported in the form of proportional variance reduction comparing slope variances of models with and without a cross-level interaction (for further details, see Peugh, 2010).

Results

Preliminary Analyses

A total of 4109 valid data points were collected from the 211 participants. The mean number of data points per person was M = 19.48. First, to examine the utilized measures (i.e., MSMQ, GSE, Brief COPE), minima, maxima, means, standard deviations, skew, kurtosis, and reliability coefficients (Cronbach’s alpha) were computed for all scales (Table 1). Satisfactory reliability is defined by a Cronbach’s alpha of at least α = 0.70 (Hossiep, 2014). For the state measures (momentary mindfulness and coping), the reported Cronbach’s alpha values represent within-person reliability across repeated assessments, following recommendations for intensive longitudinal data (Geldhof et al., 2014; Nezlek, 2017).
Table 1
Descriptive statistics and reliability coefficients of the MSMQ, GSE, and Brief COPE
 
Min
Max
M
SD
α
Skew
Kurtosis
MSMQ
  Mindfulness
  1.5
 6.0
 4.48
0.93
0.74
−0.27
−0.60
GSE
  Self-efficacy beliefs
15.0
38.0
29.22
4.47
0.87
−0.24
−0.13
Brief COPE
  Engagement coping
 1.0
 4.0
 2.39
0.78
0.78
−0.21
−0.71
  Disengagement coping
 1.0
 4.0
 1.39
0.51
0.51
  1.40
  1.56
N = 211. Sex = 182 female. Age = 16–59 years. MSMQ Multidimensional State Mindfulness Questionnaire, GSE General Self-efficacy Scale
Table 1 shows that all measures demonstrated satisfactory variability. As indicated by the minima and maxima, the sample consisted of participants with the full range from low to high scores on the variables. Furthermore, the scale reliability coefficients can be considered satisfactory for research purposes, except for the subscale „coping disengagement“ of the Brief COPE.
The calculated intra-class correlations (ICC) yielded for mindfulness ICC = 0.458, for engagement coping ICC = 0.518, and for disengagement coping ICC = 0.411. These values indicate a multilevel structure of the data, and therefore, multilevel analysis is appropriate to consider Level-2 variance (Geiser, 2010).

Within-, Between-, and Cross-Level Interaction

We found that there was significant variability in slopes between participants in a model predicting engagement coping (EC) by mindfulness as well as in another model predicting disengagement coping (DC) by mindfulness (random slope coefficient for EC: B = 0.117, SE = 0.020, p < 0.0001; random slope coefficient for DC: B = −0.143, SE = 0.012, p < 0.0001).
In the next step, fit indices of random intercept models with a fixed and a random slope were compared, corroborating the previous findings (ECNoRandomSlope: BIC = 7297.6; ECRandomSlope: BIC = 7143.9; DCNoRandomSlope: BIC = 4381.2; DCRandomSlope: BIC = 4346.9). Moreover, these results indicated that significant variance in the slope between mindfulness and coping exists that can be explained by Level-2 variables (i.e., self-efficacy beliefs) (ECRandomSlope: Var = 0.043, p < 0.0001; DCRandomSlope: Var = 0.012, p = 0.001).
Furthermore, the cross-level interaction effect of self-efficacy beliefs × mindfulness predicting disengagement coping was significant (B = 0.005, SE = 0.002, p = 0.045), whereas the interaction predicting engagement coping was not (B = −0.001, SE = 0.004, p = 0.801). For this reason, in the following, we performed simple slope calculations for disengagement coping but not for engagement coping. Table 2 and Table 3 provide an overview of the conducted analyses on the relations between mindfulness, self-efficacy beliefs, and engagement as well as disengagement coping.
Table 2
Estimates of random effects of multilevel models predicting engagement coping
 
B
SE
95%-CI
ES
LL
UL
Level 1 - within
Intercept
 2.399***
0.039
 2.334
2.463
 
Mindfulness
 0.115***
0.019
 0.083
0.147
 
Level 2 – between
Self-efficacy beliefs
 0.024*
0.008
 0.010
0.037
 
Cross-level Interaction
SEB x Mindfulness
−0.001
0.004
−0.008
0.006
0.2%
SEB self-efficacy beliefs, SE standard error. CI confidence interval, LL lower limit, UL upper limit. ES effect size. Effect size represents the percentage reduction of random slope variance and is calculated relative to a model without the respective interaction
* p < 0.05. *** p < 0.001
Table 3
Estimates of random effects of multilevel models predicting disengagement coping
 
B
SE
95% CI
ES
LL
UL
Level 1—within
Intercept
 1.400***
0.023
 1.361
 1.438
 
Mindfulness
−0.141***
0.013
−0.162
−0.121
 
Level 2—between
Self-efficacy beliefs
−0.011*
0.006
−0.021
−0.002
 
Cross-level interaction
SEB × mindfulness
 0.005*
0.002
 0.001
 0.009
3.8%
SEB self-efficacy beliefs, SE standard error. CI confidence interval, LL lower limit, UL upper limit. ES effect size. Effect size represents the percentage reduction of random slope variance and is calculated relative to a model without the respective interaction
*p < 0.05. ***p < 0.001

Simple Slope Calculation

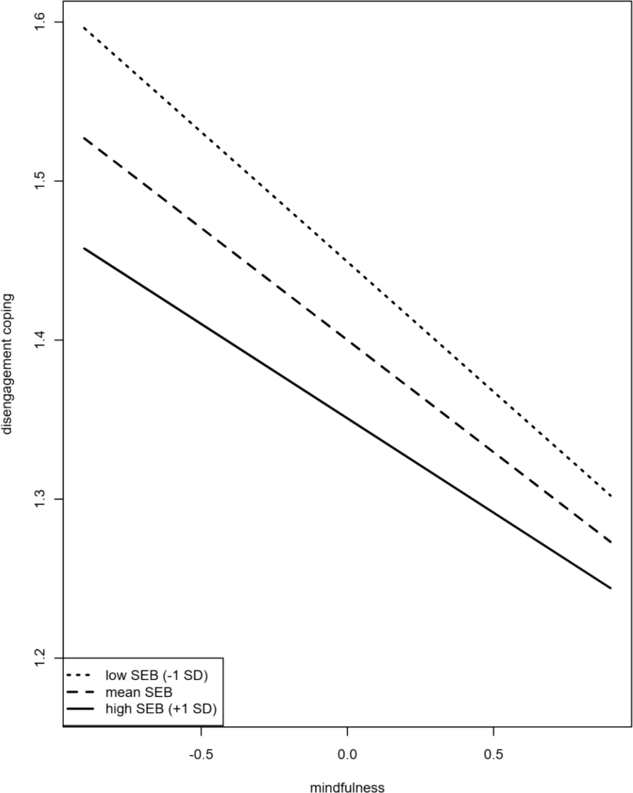
A simple slope analysis was conducted for the significant interaction between self-efficacy beliefs (SEB) and mindfulness predicting disengagement coping. At all examined levels of SEB, mindfulness was significantly negatively related to disengagement coping, but the strength of this association varied (see Fig. 1). Specifically, at high SEB (+ 1 SD), the slope was −0.119 (z =  − 6.78, p < 0.0001); at mean SEB, the slope was −0.141 (z = −11.20, p < 0.0001); and at low SEB (−1 SD), the slope was −0.163 (z = −10.30, p < 0.0001).
Fig. 1
Simple slopes showing that the strength of the negative association between mindfulness and disengagement coping varies as a function of self-efficacy beliefs
Afbeelding vergroten

Exploratory Mindfulness Facet-Level Analyses

Here, we report the exploratory follow-up analyses. To this end, all random slope multilevel models described above were re-run, once with attention monitoring and once with acceptance as the Level-1 predictors, including dispositional self-efficacy beliefs as a Level-2 moderator, consistent with the preregistered models. For each model, only significant cross-level interactions are reported; for these, simple slope analyses were additionally conducted. Full model tables and simple slope plots are provided in the Supplements.
For engagement coping, a significant random slope emerged when predicted by attention (B = 0.117, SE = 0.016, p < 0.0001), but the cross-level interaction of self-efficacy beliefs × attention was not significant. The random slope for acceptance predicting engagement coping pointed in the expected direction but narrowly missed conventional significance (B = 0.029, SE = 0.016, p = 0.063). Nevertheless, the cross-level interaction of self-efficacy beliefs × acceptance was significant (see Table S2 in the Supplements). A subsequent simple slope analysis showed that acceptance was significantly positively related to engagement coping only when SEB was low (see Figure S1 in the Supplements). Specifically, at high SEB (+ 1 SD), the slope was −0.011 (z = −0.45, p = 0.65); at mean SEB, the slope was 0.025 (z = 1.60, p = 0.11); and at low SEB (−1 SD), the slope was 0.061 (z = 3.04, p = 0.002).
Simple slope tests were performed regarding the significant cross-level interaction of self-efficacy beliefs × attention. The negative association between attention and disengagement coping was significant at all examined levels of SEB, but its strength varied, becoming stronger with lower SEB (see Figure S2 in the Supplements). Specifically, at high SEB (+ 1 SD), the slope was −0.050 (z = −3.88, p = 0.0001); at mean SEB, the slope was −0.072 (z = −7.67, p < 0.0001); and at low SEB (−1 SD), the slope was −0.094 (z = −7.63, p < 0.0001).

Discussion

The present ambulatory assessment study was designed to investigate the relations between momentary mindfulness and engagement/disengagement coping and to examine whether dispositional self-efficacy beliefs (SEB) moderate these relations. Our multilevel regression analyses yielded relevant findings that will be discussed in the following.
Specifically, we hypothesized that higher state mindfulness is associated with more engagement coping and less disengagement coping. The results support this hypothesis. Further, we predicted that the association between high mindful states and high engagement coping would be strengthened by high self-efficacy beliefs. However, we did not find supporting evidence for this hypothesis, meaning that ostensibly high self-efficacy beliefs do not strengthen the association between state mindfulness and engagement coping. Lastly, we hypothesized that low self-efficacy beliefs would strengthen the association between low state mindfulness and high disengagement coping.
Supporting our first hypothesis, the results indicated that higher levels of state mindfulness were associated with more engagement and less disengagement coping. These findings are in line with the literature on these relations (Weinstein et al., 2009), concluding that mindfulness yields “more effective stress processing through cognitive appraisal and coping” (Weinstein et al., 2009, p. 384).
Our predictions regarding the second and third hypotheses, investigating whether dispositional SEB moderates the relations between mindfulness and coping at the state level, were supported only partially. For Hypothesis 2a, which predicted that high SEB would strengthen the positive association between mindfulness and engagement coping, no significant cross-level interaction was found, indicating that dispositional SEB did not enhance the link between state mindfulness and engagement coping.
An explanation for this mixed finding might be different stress levels among participants. Previous research suggests that mindfulness positively affects coping only among relatively stressed individuals (Donald & Atkins, 2016; Josefsson et al., 2014). Following this, Donald and Atkins (2016) demonstrated that, “as levels of perceived stress increased…, mindfulness resulted in less avoidance coping” (p. 1432) and that the investigated general mindfulness also showed only a significant effect on avoidance (i.e., disengagement) coping. Further, it is possible that using all subscales of the COPE inventory may reveal associations between state mindfulness and engagement coping.
For Hypothesis 2b, the moderating effect of SEB on the mindfulness–disengagement coping link emerged as expected, yet a closer look at the pattern nuances this conclusion. Our preregistered hypothesis focused on the risk side of this interaction, predicting that low SEB would particularly intensify the tendency toward disengagement when mindfulness is low. The data partly support this: at low mindfulness, participants with low SEB indeed reported the highest disengagement coping. At the same time, the significant cross-level interaction revealed a broader pattern: across the entire mindfulness range, the negative association between mindfulness and disengagement coping became stronger as SEB decreased. This suggests that low SEB not only exacerbates disengagement when mindfulness is low but also amplifies the protective benefits of higher mindfulness—a finding that extends our original prediction. The pattern of results suggests that the negative association between mindfulness and disengagement coping was present at all levels of SEB but became progressively stronger as SEB decreased.
This indicates that while individuals with high SEB already show relatively low disengagement coping, additional increases in mindfulness provide only limited further benefit. By contrast, for individuals with mean or low SEB, higher mindfulness was linked to a markedly lower tendency toward disengagement coping, highlighting the protective role of mindful states when confidence in one’s coping abilities is weaker. A methodological caveat concerns the relatively low internal consistency of the disengagement coping measure (α = 0.51), which limits the precision of the estimated effects. Such reduced reliability is common for very short scales and typically reflects increased measurement noise rather than substantive bias (Cortina, 1993; Schmitt, 1996). The findings by Donald and Atkins (2016), who questioned whether perceived stress matters, may help explain this pattern. If people with high SEB feel generally capable of handling stressors, they may perceive these as less threatening and experience lower stress arousal, leaving less room for mindfulness to further reduce disengagement coping.
Conversely, when SEB is lower and stress appraisals are higher, mindful states—by broadening attention and fostering acceptance—appear to buffer the tendency to disengage.
Further, as shown in Table 3, there is a significant negative correlation between SEB and disengagement coping, supporting the idea that high SEB on its own reduces the likelihood of disengagement, independent of momentary mindfulness. Taken together, these findings imply that mindfulness most strongly influences disengagement coping when SEB is low, whereas its added value is smaller when SEB is high because disengagement coping is already less likely.
Another explanation for our findings can be found in the stress mindset theory (Crum et al., 2013). It states that one’s beliefs about stress are related to a person’s response to stressful situations by influencing how they perceive them. Hence, aside from the potential influence of state mindfulness and dispositional SEB on coping, individuals will adopt different coping styles depending on how challenging a stressor is perceived (e.g., Folkman, 2013; Jamieson et al., 2013). Stress mindset theory assumes that one determinant of perceptions of challenge is stress mindsets (Crum et al., 2013; Kilby & Sherman, 2016). Kilby and Sherman (2016) provided preliminary evidence that positive stress mindsets are associated with greater challenge appraisals, which in turn promote more efficient and beneficial coping behaviors (Folkman, 2013). It is therefore conceivable that participants with high SEB also held positive stress mindsets, perceiving stress as manageable or even growth-promoting. Under such conditions, disengagement coping is already low and mindful states add little incremental benefit. Consequently, future research should investigate stress mindsets as possible covariates, extending the relationships examined in this study.
Specifically, stress mindset theory (Crum et al., 2013) may offer a broader conceptual framework to integrate self-efficacy, mindfulness, and coping styles, for example by explaining how individuals’ stress mindsets shape appraisals and condition the effectiveness of mindful states in reducing disengagement coping.
In addition, our exploratory facet-level analyses underscore the value of distinguishing between the two core components of state mindfulness—present-moment attention and nonjudgmental acceptance. Although preliminary, these analyses suggested that the two facets may interact differently with self-efficacy beliefs in shaping coping responses. Specifically, acceptance predicted greater engagement coping only among individuals with lower self-efficacy beliefs, whereas attentional awareness showed a particularly strong negative association with disengagement coping when self-efficacy beliefs were low. These results are tentative and require replication, but they point to the importance of examining state-level mindfulness facets separately, as they may differentially support adaptive coping depending on people’s confidence in their coping abilities.

Limitations and Future Directions

Although the present study’s results are promising, some limitations need to be discussed. First, the present study tested hypotheses with mostly students (94.8%) from two German universities, so caution should be exercised in generalizing the present findings to other populations. Further, future research should consider more heterogeneous samples regarding the occupational group to provide knowledge about the findings’ generalizability and to be able to draw firmer conclusions about the role of state mindfulness and trait SEB in momentary coping. Moreover, the present sample consisted of more women (86.3%) than men. Though exploring and understanding gender differences in mindfulness is a research area still developing and consisting of mixed findings (e.g., Tasneem & Panwar, 2019), there is evidence of gender differences in coping strategies (e.g., Eisenbarth, 2019). Due to the homogeneity of our sample, certain associations we found may hold within our sample but may behave differently when including different demographic groups. Consequently, future studies should aim for a more balanced sample regarding gender and education level. Our sample was relatively homogeneous, consisting predominantly of young, highly educated, Caucasian women. Given known differences in stress regulation, the associations between mindfulness and stress processes may vary across cultures and across the lifespan (Bowling, 2011; Oyserman et al., 2002). Future research should therefore aim to replicate these findings in more diverse samples, including participants from different cultural backgrounds and older adults, to examine the generalizability of our results. In addition, it would be valuable to compare clinical, subclinical, and nonclinical groups at the within-person level, as intraindividual variations in mindfulness and related mental health variables may differ substantially between these populations and could reveal distinct patterns of association.
Second, due to the design as an ambulatory assessment, participants’ appraisals were possibly altered because they had to make recordings frequently (Goldschmidt et al., 2014). One may argue that this could cause response fatigue, causing participants to rush through the questionnaires, giving inaccurate responses. Though importantly, no such reactivity effects had been demonstrated by other ambulatory assessment studies (Smyth et al., 2009; Stein & Corte, 2003). Moreover, this design is a major strength of our study, having the advantage of minimizing recall bias, enhancing external (specifically: ecological) validity, and enabling us to measure the relations between state mindfulness and momentary coping in people’s daily life and natural environment (Shiffman et al., 2008). Moreover, it provided many assessments per person, though future research could extend the interval to be investigated to obtain more data points. Third, as discussed above, we found no significant effects of state mindfulness by dispositional SEB on engagement coping. Another possible explanation for this unexpected result is to be found methodologically: The present research was not able to demonstrate such effects, though, in fact, they might exist, using the Brief COPE consisting of eight subscales measuring engagement coping strategies (García et al., 2018; Meyer, 2001). However, we only used the scales active coping, positive reframing, and acceptance for economic reasons. Supposedly, other proposed engagement coping strategies, including planning and seeking social support, emotional and instrumental support, religion, and humor (Meyer, 2001), may relate differently to mindfulness and SEB. For this reason, future research examining these relations in an extended way would be beneficial. Lastly, being non-experimental in design, this study is limited in making causal inferences. Therefore, e.g., future experimental studies will be required to make a statement about the causality of the relations investigated.
To derive practical implications, the results indicate that a person’s state mindfulness is related to their coping behavior. Therefore, interventions improving state mindfulness may already have short-term effects on people’s coping behavior. These results underline and explain the momentary effectiveness of mindfulness in stress regulation, pointing toward the importance of state-level research and interventions. At the same time, naturally occurring state mindfulness should not be equated with formal mindfulness-based programs (cf. Rau & Williams, 2016). Nevertheless, our findings suggest that brief, context-sensitive practices that foster the two core components of state mindfulness—present-moment attention and nonjudgmental acceptance—could be particularly helpful in daily stress situations. They provide a rationale for constructing brief interventions that can have rapid effects on people’s mindfulness and coping behavior, in addition to longer interventions with trait-level effects (e.g., Kabat-Zinn, 1982). Thereby, they further suggest that mindfulness not only affects people’s emotion-regulation abilities (e.g., Nyklíček, 2011), but also their behavior. As indicated by the results, there is a strong inverse relation between state mindfulness and disengagement coping. Thus, people with low self-efficacy (e.g., people with depression; Tak et al., 2017) may benefit especially from mindfulness interventions by reducing their tendency to cope by disengaging. Our findings suggest that it may not be necessary to explicitly prompt individuals to engage with their problems. Rather, mindfulness interventions may indirectly influence coping behaviors without requiring people to address their problems directly.
In conclusion, this study provides an initial investigation of the relations between state mindfulness, dispositional SEB, and coping through an ambulatory assessment approach. Our findings show that state mindfulness is associated with more engagement and less disengagement coping on a specific occasion and that the interaction of state mindfulness and SEB affects disengagement coping. Overall, this study underscores the importance of state mindfulness for daily stress regulation and provides a foundation for future research and interventions aiming to help people cope more effectively in daily life.

Acknowledgements

The authors would like to thank Jan Krause for data preparation. Anabel Büchner and Rosanna Wendel should be thanked for data collection.

Declarations

Ethics Approval

According to the institutional and national regulations at the time of data collection, this non-interventional ambulatory assessment study did not require formal approval from an ethics committee. All procedures complied with the ethical standards of the University of Potsdam and the University of Greifswald and with the principles of the Declaration of Helsinki.
Informed consent was obtained from all participants in the study.

Conflict of Interest

The authors declare no competing interests.

Use of Artificial Intelligence

AI tools were used for proofreading and adjusting R code for figure formatting.
Open Access This article is licensed under a Creative Commons Attribution 4.0 International License, which permits use, sharing, adaptation, distribution and reproduction in any medium or format, as long as you give appropriate credit to the original author(s) and the source, provide a link to the Creative Commons licence, and indicate if changes were made. The images or other third party material in this article are included in the article's Creative Commons licence, unless indicated otherwise in a credit line to the material. If material is not included in the article's Creative Commons licence and your intended use is not permitted by statutory regulation or exceeds the permitted use, you will need to obtain permission directly from the copyright holder. To view a copy of this licence, visit http://creativecommons.org/licenses/by/4.0/.

Publisher's Note

Springer Nature remains neutral with regard to jurisdictional claims in published maps and institutional affiliations.
Titel
Mindful Coping With Stress: A Multilevel Analysis of the Effect of Trait Self-Efficacy Beliefs on the Association of State Mindfulness and Coping Responses in Everyday Life
Auteurs
Christina Ewert
Stefan Bräuer
Wilhelm Voigt
Cosma Frauke Antonia Hoffmann
Publicatiedatum
25-02-2026
Uitgeverij
Springer US
Gepubliceerd in
Mindfulness
Print ISSN: 1868-8527
Elektronisch ISSN: 1868-8535
DOI
https://doi.org/10.1007/s12671-025-02745-y

Supplementary Information

Below is the link to the electronic supplementary material.
go back to reference Aizik-Reebs, A., Yuval, K., & Bernstein, A. (2021). Mindfulness and attentional control: A meta-analysis. Psychological Bulletin, 147(9), 867–892. https://doi.org/10.1037/bul0000342
go back to reference Baer, R. A. (2003). Mindfulness training as a clinical intervention: A conceptual and empirical review. Clinical Psychology: Science and Practice, 10, 125–143. https://doi.org/10.1093/clipsy/bpg015CrossRef
go back to reference Baer, R. A., Smith, G. T., Hopkins, J., Krietemeyer, J., & Toney, L. (2006). Using self-report assessment methods to explore facets of mindfulness. Assessment, 13(1), 27–45. https://doi.org/10.1177/1073191105283504CrossRefPubMed
go back to reference Bandura, A. (1997). Self-efficacy: The exercise of control. W. H. Freeman and Company.
go back to reference Bell, B. A., Ferron, J. M., & Kromrey, J. D. (2008). Cluster size in multilevel models: The impact of sparse data structures on point and interval estimates in two-level models. Proceedings of the joint statistical meetings, section on survey research methods, 1122–1129. http://www.asasrms.org/Proceedings/y2008/Files/300933.pdf
go back to reference Bergomi, C., Tschacher, W., & Kupper, Z. (2014). Konstruktion und erste Validierung eines Fragebogens zur umfassenden Erfassung von Achtsamkeit [Construction and initial validation of a questionnaire for the comprehensive assessment of mindfulness]. Diagnostica, 60(3), 111–125. https://doi.org/10.1026/0012-1924/a000109CrossRef
go back to reference Bishop, S. R., Lau, M., Shapiro, S., Carlson, L., Anderson, N. D., Carmody, J., Segal, Z. V., Abbey, S., Speca, M., Velting, D., & Devins, G. (2004). Mindfulness: A proposed operational definition. Clinical Psychology: Science and Practice, 11(3), 230–241. https://doi.org/10.1093/clipsy/bph077
go back to reference Blanke, E. S., & Brose, A. (2016). Mindfulness in daily life: A multidimensional approach. Mindfulness, 8(3), 737–750. https://doi.org/10.1007/s12671-016-0651-4CrossRef
go back to reference Blanke, E. S., Riediger, M., & Brose, A. (2018). Pathways to happiness are multidirectional: Associations between state mindfulness and everyday affective experience. Emotion, 18, 202–211. https://doi.org/10.1037/emo0000323CrossRefPubMed
go back to reference Bodenmann, G., & Gmelch, S. (2009). Stressbewältigung. In J. Margraf, & S. Schneider (Eds.), Lehrbuch der Verhaltenstherapie. Springer. https://link.springer.com/chapter/10.1007/978-3-540-79543-8_30
go back to reference Bowling, A. (2011). Do older and younger people differ in their reported well-being? A national survey of adults in Britain. Family Practice, 28(2), 145–155. https://doi.org/10.1093/fampra/cmq082CrossRefPubMed
go back to reference Brown, K. W., & Ryan, R. M. (2003). The benefits of being present: Mindfulness and its role in psychological well-being. Journal of Personality and Social Psychology, 84, 822–848. https://doi.org/10.1037/0022-3514.84.4.822CrossRefPubMed
go back to reference Carver, C. S. (1997). You want to measure coping but your protocol’s too long: Consider the brief COPE. International Journal of Behavioral Medicine, 4, 92–100. https://doi.org/10.1207/s15327558ijbm0401_6CrossRefPubMed
go back to reference Carver, C. S., & Connor-Smith, J. (2010). Personality and coping. Annual Review of Psychology, 61, 679–704. https://doi.org/10.1146/annurev.psych.093008.100352CrossRefPubMed
go back to reference Conner, T. S., & Lehman, B. J. (2012). Getting started: Launching a study in daily life. In M. R. Mehl, & T. S. Conner (Eds.), Handbook of research methods for studying daily life (pp. 89–107). The Guilford Press.
go back to reference Connor-Smith, J. K., & Flachsbart, C. (2007). Relations between personality and coping: A meta-analysis. Journal of Personality and Social Psychology, 93, 1080–1107. https://doi.org/10.1037/0022-3514.93.6.1080CrossRefPubMed
go back to reference Cortina, J. M. (1993). What is coefficient alpha? An examination of theory and applications. Journal of Applied Psychology, 78(1), 98–104. https://doi.org/10.1037/0021-9010.78.1.98CrossRef
go back to reference Creswell, J. D., & Lindsay, E. K. (2014). How does mindfulness training affect health? A mindfulness stress buffering account. Current Directions in Psychological Science, 23, 401–407. https://doi.org/10.1177/0963721414547415CrossRef
go back to reference Crum, A. J., Salovey, P., & Achor, S. (2013). Rethinking stress: The role of mindsets in determining the stress response. Journal of Personality and Social Psychology, 104, 716–733. https://doi.org/10.1037/a0031201CrossRefPubMed
go back to reference Donald, J. N., & Atkins, P. W. B. (2016). Mindfulness and coping with stress: Do levels of perceived stress matter? Mindfulness, 7(6), 1423–1436. https://doi.org/10.1007/s12671-016-0584-yCrossRef
go back to reference Donald, J. N., Atkins, P. W. B., Parker, P. D., Christie, A. M., & Guo, J. (2017). Cognitive defusion predicts more approach and less avoidance coping with stress, independent of threat and self-efficacy appraisals. Journal of Personality, 85, 716–729. https://doi.org/10.1111/jopy.12279CrossRefPubMed
go back to reference Donald, J. N., Atkins, P. W. B., Parker, P. D., Christie, A. M., & Ryan, R. M. (2016). Daily stress and the benefits of mindfulness: Examining the daily and longitudinal relations between present-moment awareness and stress responses. Journal of Research in Personality, 65, 30–37. https://doi.org/10.1016/j.jrp.2016.09.002CrossRef
go back to reference Eisenbarth, C. A. (2019). Coping with stress: Gender differences among college students. College Student Journal, 53, 151–162.
go back to reference Ewert, C., Hoffmann, C. F. A., & Schröder-Abé, M. (2022). Stress processing mediates the link between momentary self-compassion and affective well-being. Mindfulness, 13(9), 2269–2281. https://doi.org/10.1007/s12671-022-01954-zCrossRef
go back to reference Ewert, C., Vater, A., & Schröder-Abé, M. (2021). Self-compassion and coping: A meta-analysis. Mindfulness, 12(5), 1063–1077. https://doi.org/10.1007/s12671-020-01563-8CrossRef
go back to reference Fahrenberg, J., Myrtek, M., Pawlik, K., & Perrez, M. (2007). Ambulantes Assessment-Verhalten im Alltagskontext erfassen: Eine verhaltenswissenschaftliche Herausforderung an die Psychologie [Capturing ambulatory assessment behavior in an everyday context: A challenge of behavioral science to psychology]. Psychologische Rundschau, 58, 12–23. https://doi.org/10.1026/0033-3042.58.1.12CrossRef
go back to reference Farb, N. A. S., Anderson, A. K., & Segal, Z. V. (2014). The mindful brain and emotion regulation in mood disorders. Canadian Journal of Psychiatry, 57(2), 70–77. https://doi.org/10.1177/070674371205700203
go back to reference Feldman, G., Hayes, A., Kumar, S., Greeson, J., & Laurenceau, J. P. (2007). Mindfulness and emotion regulation: The development and initial validation of the Cognitive and Affective Mindfulness Scale-Revised (CAMS-R). Journal of Psychopathology and Behavioral Assessment, 29, 177–190. https://doi.org/10.1007/s10862-006-9035-8CrossRef
go back to reference Folkman, S. (2013). Stress, coping, and hope. In B. Carr, & J. Steel (Eds.), Psychological aspects of cancer (pp. 119-127). Springer. https://​doi.​org/​10.​1007/​978-1-4614-4866-2_​8
go back to reference Folkman, S., & Moskowitz, J. (2004). Coping: Pitfalls and promise. Annual Review of Psychology, 55, 745–774. https://doi.org/10.1146/annurev.psych.55.090902.141456CrossRefPubMed
go back to reference García, F. E., Barraza-Peña, C. G., Wlodarczyk, A., Alvear-Carrasco, M., & Reyes-Reyes, A. (2018). Psychometric properties of the Brief-COPE for the evaluation of coping strategies in the Chilean population. Psicologia, Reflexão e Crítica. https://doi.org/10.1186/s41155-018-0102-3CrossRefPubMedPubMedCentral
go back to reference Garland, E. (2007). The meaning of mindfulness: A second-order cybernetics of stress, metacognition, and coping. Complementary Health Practice Review, 12, 15–30. https://doi.org/10.1177/1533210107301740CrossRef
go back to reference Garland, E., Gaylord, S., & Park, J. (2009). The role of mindfulness in positive reappraisal. Explore, 5, 37–44. https://doi.org/10.1016/j.explore.2008.10.001CrossRefPubMedPubMedCentral
go back to reference Garland, E. L., Farb, N. A. S., Goldin, P. R., & Fredrickson, B. L. (2015). Mindfulness broadens awareness and builds eudaimonic meaning: A process model of mindful positive emotion regulation. Psychological Inquiry, 26(4), 293–314. https://doi.org/10.1080/1047840X.2015.1064294
go back to reference Geiser, C. (2010). Datenanalyse mit Mplus [Data analysis with Mplus] (1st ed). VS Verlag für Sozialwissenschaften. https://doi.org/10.1007/978-3-531-92042-9CrossRef
go back to reference Geldhof, G. J., Preacher, K. J., & Zyphur, M. J. (2014). Reliability estimation in a multilevel confirmatory factor analysis framework. Psychological Methods, 19(1), 72–91. https://doi.org/10.1037/a0032138CrossRefPubMed
go back to reference Goldschmidt, A. B., Wonderlich, S. A., Crosby, R. D., Engel, S. G., Lavender, J. M., Peterson, C. B., Crow, S. J., Cao, L., & Mitchell, J. (2014). Ecological momentary assessment of stressful events and negative affect in bulimia nervosa. Journal of Consulting and Clinical Psychology, 82, 30–39. https://doi.org/10.1037/a0034974CrossRefPubMed
go back to reference Götmann, A., & Bechtoldt, M. (2021). Coping with COVID-19 – Longitudinal analysis of coping strategies and the role of trait mindfulness in mental wellbeing. Personality and Individual Differences, 175, 110695. https://doi.org/10.1016/j.paid.2021.110695CrossRefPubMedPubMedCentral
go back to reference Greeson, J. M. (2009). Mindfulness research update: 2008. Complementary Health Practice Review, 14, 10–18. https://doi.org/10.1177/1533210108329862CrossRefPubMedPubMedCentral
go back to reference Grossman, P., Niemann, L., Schmidt, S., & Walach, H. (2004). Mindfulness-based stress reduction and health benefits: A meta-analysis. Journal of Psychosomatic Research, 57, 35–43. https://doi.org/10.1016/S0022-3999(03)00573-7CrossRefPubMed
go back to reference Hamaker, E. L., & Wichers, M. (2017). No time like the present: Discovering the hidden dynamics in intensive longitudinal data. Current Directions in Psychological Science, 26(1), 10–15. https://doi.org/10.1177/096372141666651CrossRef
go back to reference Hamill, S. K. (2003). Resilience and self-efficacy: The importance of efficacy beliefs and coping mechanisms in resilient adolescents. Colgate University Journal of the Sciences, 35, 115–146.
go back to reference Hoffmann, C. F. A., Schröder-Abé, M., & Ewert, C. (2024). The role of monitoring and acceptance in daily affective stress reactivity: An ambulatory assessment study. Mindfulness, 15, 2609–2621. https://doi.org/10.1007/s12671-024-02443-1CrossRef
go back to reference Hossiep, R. (2014). Cronbachs Alpha. In M. A. Wirtz (Ed.), Dorsch – Lexikon der Psychologie (18th Ed., p. 343). Hogrefe. https://dorsch.hogrefe.com/stichwort/cronbachs-alpha
go back to reference Hülsheger, U., Alberts, H., Feinholdt, A., & Lang, J. (2013). Benefits of mindfulness at work: The role of mindfulness in emotion regulation, emotional exhaustion, and job satisfaction. Journal of Applied Psychology, 98, 310–325. https://doi.org/10.1037/a0031313CrossRefPubMed
go back to reference Ivtzan, I., Young, T., Martman, J., Jeffrey, A., Lomas, T., Hart, R., & Eiroa-Orosa, F. J. (2016). Integrating mindfulness into positive psychology: A randomised controlled trial of an online positive mindfulness program. Mindfulness, 7(6), 1396–1407. https://doi.org/10.1007/s12671-016-0581-1CrossRef
go back to reference Jamieson, J. P., Mendes, W. B., & Nock, M. K. (2013). Improving acute stress responses: The power of reappraisal. Current Directions in Psychological Science, 22, 51–56. https://doi.org/10.1177/0963721412461500CrossRef
go back to reference Jerusalem, M., & Schwarzer, R. (1992). Self-efficacy as a resource factor in stress appraisal processes. In R. Schwarzer (Ed.), Self-efficacy: Thought control of action (pp. 195–213). Routledge.
go back to reference Josefsson, T., Lindwall, M., & Broberg, A. G. (2014). The effects of a short-term mindfulness based intervention on self-reported mindfulness, decentering, executive attention, psychological health, and coping style: Examining unique mindfulness effects and mediators. Mindfulness, 5(1), 18–35. https://doi.org/10.1007/s12671-012-0142-1CrossRef
go back to reference Kabat-Zinn, J. (1982). An outpatient program in behavioral medicine for chronic pain patients based on the practice of mindfulness meditation: Theoretical considerations and preliminary results. General Hospital Psychiatry, 4, 33–47. https://doi.org/10.1016/0163-8343(82)90026-3CrossRefPubMed
go back to reference Kabat-Zinn, J. (1990). Full catastrophe living: Using the wisdom of your body and mind to face stress, pain, and illness. Delacorte.
go back to reference Keng, S. L., Choo, X., & Tong, E. M. W. (2018). Association between trait mindfulness and variability of coping strategies: A diary study. Mindfulness, 9(5), 1423–1432. https://doi.org/10.1007/s12671-018-0885-4CrossRef
go back to reference Khoury, B., Lecomte, T., Fortin, G., Masse, M., Therien, P., Bouchard, V., Chapleau, M. A., Paquin, K., & Hofmann, S. G. (2013). Mindfulness-based therapy: A comprehensive meta-analysis. Clinical Psychology Review, 33, 763–771. https://doi.org/10.1016/j.cpr.2013.05.005CrossRefPubMed
go back to reference Kiken, L. G., Garland, E. L., Bluth, K., Palsson, O. S., & Gaylord, S. A. (2015). From a state to a trait: Trajectories of state mindfulness in meditation during intervention predict changes in trait mindfulness. Personality and Individual Differences, 81, 41–46. https://doi.org/10.1016/j.paid.2014.12.044CrossRefPubMedPubMedCentral
go back to reference Kilby, C. J., & Sherman, K. A. (2016). Delineating the relationship between stress mindset and primary appraisals: Preliminary findings. SpringerPlus, 5, 336. https://doi.org/10.1186/s40064-016-1937-7
go back to reference Knoll, N., Rieckmann, N., & Schwarzer, R. (2005). Coping as a mediator between personality and stress outcomes: A longitudinal study with cataract surgery patients. European Journal of Personality, 19, 229–247. https://doi.org/10.1002/per.546CrossRef
go back to reference Lazarus, R., & Folkman, S. (1984). Stress, appraisal, and coping. Springer.
go back to reference Lazarus, R., & Folkman, S. (1987). Transactional theory and research on emotions and coping. European Journal of Personality, 1, 141–169. https://doi.org/10.1002/per.2410010304CrossRef
go back to reference Lindahl, J. R., Fisher, N. E., Cooper, D. J., Rosen, R. K., & Britton, W. B. (2017). The varieties of contemplative experience: A mixedmethods study of meditation-related challenges in Western Buddhists. PLoS ONE, 12(5), e0176239. https://doi.org/10.1371/journal.pone.0176239
go back to reference Lindsay, E. K., & Creswell, J. D. (2017). Mechanisms of mindfulness training: Monitor and Acceptance Theory (MAT). Clinical Psychology Review, 51, 48–59. https://doi.org/10.1016/j.cpr.2016.10.011CrossRefPubMed
go back to reference Lorah, J., & Womack, A. (2019). Value of sample size for computation of the Bayesian information criterion (BIC) in multilevel modeling. Behavior Research Methods, 51, 440–450. https://doi.org/10.3758/s13428-018-1188-3CrossRefPubMed
go back to reference Mertzen, D., Lago, S., & Vasishth, S. (2021). The benefits of preregistration for hypothesis-driven bilingualism research. Bilingualism, Language and Cognition. https://doi.org/10.1017/S1366728921000031CrossRef
go back to reference Meyer, B. (2001). Coping with severe mental illness: Relations of the Brief COPE with symptoms, functioning, and well-being. Journal of Psychopathology and Behavioral Assessment, 23, 265–277. https://doi.org/10.1023/A:1012731520781CrossRef
go back to reference movisens GmbH. (2018). movisensXS [software]. https://www.movisens.com/de/produkte/movisensxs/. Accessed 03 Apr 2024.
go back to reference Muthén, L. K., & Muthén, B. O. (1998–2017). Mplus user’s guide (8th ed.). Retrieved from https://www.statmodel.com/download/usersguide/MplusUsersGuideVer_8.pdf. Accessed 03 Apr 2024.
go back to reference Nezlek, J. B. (2012). Multilevel modeling analyses of diary-style data. In M. R. Mehl & T. S. Conner (Eds.), Handbook of research methods for studying daily life (pp. 357–383). Guilford Press.
go back to reference Nezlek, J. B. (2017). A practical guide to understanding reliability in studies of within-person variability. Journal of Research in Personality, 69, 149–155. https://doi.org/10.1016/j.jrp.2016.06.020
go back to reference Noack, E., Boldizsar, P., & Ewert, C. (2025). How does embracing self-compassion in stressful moments influence our coping abilities in the face of neuroticism? Mindfulness, 16(5), 1330–1339. https://doi.org/10.1007/s12671-025-02574-zCrossRef
go back to reference Nyklíček, I. (2011). Mindfulness, emotion regulation, and well-being. In I. Nykliček, A. Vingerhoets, & M. Zeelenberg (Eds.), Emotion regulation and well-being (pp. 101–118). Springer Science + Business Media. https://doi.org/10.1007/978-1-4419-6953-8_7
go back to reference Oyserman, D., Coon, H. M., & Kemmelmeier, M. (2002). Rethinking individualism and collectivism: Evaluation of theoretical assumptions and meta-analyses. Psychological Bulletin, 128(1), 3–72. https://doi.org/10.1037/0033-2909.128.1.3CrossRefPubMed
go back to reference Park, C. L., Armeli, S., & Tennen, H. (2004). Appraisal-coping goodness of fit: A daily internet study. Personality and Social Psychology Bulletin, 30, 558–569. https://doi.org/10.1177/0146167203262855CrossRefPubMed
go back to reference Peugh, J. L. (2010). A practical guide to multilevel modeling. Journal of School Psychology, 48, 85–112. https://doi.org/10.1016/j.jsp.2009.09.002CrossRefPubMed
go back to reference Pickert, K. (2014, February 3). The mindful revolution. Time Magazine. http://time.com/1556/the-mindful-revolution/
go back to reference Pidgeon, A. M., & Pickett, L. (2017). Examining the differences between university students’ levels of resilience on mindfulness, psychological distress and coping strategies. European Scientific Journal, 13(12), 103–113. https://doi.org/10.19044/esj.2017.v13n12p%25p
go back to reference Preacher, K. J., Curran, P. J., & Bauer, D. J. (2006). Computational tools for probing interactions in multiple linear regression, multilevel modeling, and latent curve analysis. Journal of Educational and Behavioral Statistics, 31, 437–448. https://doi.org/10.3102/10769986031004437CrossRef
go back to reference Raftery, A. E. (1995). Bayesian model selection in social research. Sociological Methodology, 25, 111–163. https://doi.org/10.2307/271063CrossRef
go back to reference Rau, H. K., & Williams, P. G. (2016). Dispositional mindfulness: A critical review of construct validation research. Personality and Individual Differences, 93, 32–43. https://doi.org/10.1016/j.paid.2015.12.035
go back to reference Ruch, W., Weber, M., Park, N., & Peterson, C. (2014). Character strengths in children and adolescents: Reliability and initial validity of the German Values In Action inventory of strengths for youth (German VIA-Youth). European Journal of Psychological Assessment, 30, 57–64. https://doi.org/10.1027/1015-5759/a000169CrossRef
go back to reference Rusch, S. (2019). Stressmanagement: Ein Arbeitsbuch für die Aus-, Fort- und Weiterbildung [Stressmanagement: A workbook for education, training and continuing education] (2nd ed.). Springer. https://doi.org/10.1007/978-3-662-59436-0_13CrossRef
go back to reference Schmitt, N. (1996). Uses and abuses of coefficient alpha. Psychological Assessment, 8(4), 350–353. https://doi.org/10.1037/1040-3590.8.4.350CrossRef
go back to reference Schwarzer, R., & Jerusalem, M. (1995). Generalized self-efficacy scale. In J. Weinman, S. Wright, & M. Johnston (Eds.), Measures in Health Psychology: A user’s portfolio. Causal and control beliefs (pp. 35–37). NFER-Nelson.
go back to reference Schwarzer, R., & Jerusalem, M. (2002). Das Konzept der Selbstwirksamkeit [The concept of self-efficacy]. In M. Jerusalem & D. Hopf (Eds.), Selbstwirksamkeit und Motivationsprozesse in Bildungsinstitutionen. (Zeitschrift für Pädagogik, 44. Beiheft, pp. 28–53). Beltz. https://doi.org/10.25656/01:3930
go back to reference Schwarzer, R., & Jerusalem, M. (2003). SWE. Skala zur Allgemeinen Selbstwirksamkeitserwartung [Self-efficacy. General Self-efficacy Scale]. In Leibniz-Institut für Psychologie (ZPID) (Ed.), Open Test Archive. ZPID. https://doi.org/10.23668/psycharchives.4515
go back to reference Scollon, C. N., Kim-Prieto, C., & Diener, E. (2003). Experience sampling: Promises and pitfalls, strengths and weaknesses. Journal of Happiness Studies, 4(1), 5–34. https://doi.org/10.1023/A:1023605205115CrossRef
go back to reference Shapiro, S. L. (2009). The integration of mindfulness and psychology. Journal of Clinical Psychology, 65, 555–560. https://doi.org/10.1002/jclp.20602CrossRefPubMed
go back to reference Shiffman, S., Stone, A. A., & Hufford, M. R. (2008). Ecological momentary assessment. Annual Review of Clinical Psychology, 4, 1–32. https://doi.org/10.1146/annurev.clinpsy.3.022806.091415CrossRefPubMed
go back to reference Skinner, E. A., Edge, K., Altman, J., & Sherwood, H. (2003). Searching for the structure of coping: A review and critique of category systems for classifying ways of coping. Psychological Bulletin, 129, 216–269. https://doi.org/10.1037/0033-2909.129.2.216CrossRefPubMed
go back to reference Smyth, J. M., Wonderlich, S. A., Sliwinski, M. J., Crosby, R. D., Engel, S. G., Mitchell, J. E., & Calogero, R. M. (2009). Ecological momentary assessment of affect, stress, and binge-purge behaviors: Day of week and time of day effects in the natural environment. International Journal of Eating Disorders, 42, 429–436. https://doi.org/10.1002/eat.20623CrossRefPubMedPubMedCentral
go back to reference Snijders, T. A. B., & Bosker, R. J. (2012). Multilevel analysis: An introduction to basic and advanced multilevel modeling (2nd ed.). Sage.
go back to reference SoSci Survey GmbH. (2018). SoSci Survey (Version 3.1.06) [Computer software]. https://www.soscisurvey.de
go back to reference Stein, K. F., & Corte, C. M. (2003). Ecologic momentary assessment of eating-disordered behaviors. International Journal of Eating Disorders, 34, 349–360. https://doi.org/10.1002/eat.10194CrossRefPubMed
go back to reference Tak, Y. R., Brunwasser, S. M., Lichtwarck-Aschoff, A., & Engels, R. C. (2017). The prospective associations between Self-Efficacy and depressive symptoms from early to middle adolescence: A cross-lagged model. Journal of Youth and Adolescence, 46(4), 744–756. https://doi.org/10.1007/s10964-016-0614-zCrossRefPubMed
go back to reference Tasneem, S. A., & Panwar, N. (2019). Academic confidence and mindfulness: A study on gender differences. International Journal of Social Science and Economic Research, 4, 4690–4702.
go back to reference Taylor, S. E., & Stanton, A. L. (2007). Coping resources, coping processes, and mental health. Annual Review of Clinical Psychology, 3, 377–401. https://doi.org/10.1146/annurev.clinpsy.3.022806.091520CrossRefPubMed
go back to reference Teper, R., Segal, Z. V., & Inzlicht, M. (2013). Inside the mindful mind: How mindfulness enhances emotion regulation through improvements in executive control. Current Directions in Psychological Science, 22, 449–454. https://doi.org/10.1177/0963721413495869CrossRef
go back to reference Terry, D. J. (1991). Coping resources and situational appraisals as predictors of coping behavior. Personality and Individual Differences, 12, 1031–1047. https://doi.org/10.1016/0191-8869(91)90033-8CrossRef
go back to reference Tran, U. S., Birnbaum, L., Burzler, M. A., Hegewisch, U. J. C., Ramazanova, D., & Voracek, M. (2022). Self-reported mindfulness accounts for the effects of mindfulness interventions and nonmindfulness controls on self-reported mental health: A preregistered systematic review and three-level meta-analysis of 146 randomized controlled trials. Psychological Bulletin, 148(1-2), 86–106. https://doi.org/10.1037/bul0000359
go back to reference van Diemen, T., Craig, A., van Nes, I. J., Stolwijk-Swuste, J. M., Geertzen, J. H., Middleton, J., & Post, M. W. (2020). Enhancing our conceptual understanding of state and trait self-efficacy by correlational analysis of four self-efficacy scales in people with spinal cord injury. BMC Psychology, 8, 108. https://doi.org/10.1186/s40359-020-00474-6
go back to reference Weinstein, N., Brown, K. W., & Ryan, R. M. (2009). A multi-method examination of the effects of mindfulness on stress attribution, coping, and emotional well-being. Journal of Research in Personality, 43, 374–385. https://doi.org/10.1016/j.jrp.2008.12.008CrossRef
go back to reference Williams, J. C., & Lynn, S. J. (2010). Acceptance: An historical and conceptual review. Imagination, Cognition and Personality, 30, 5–56. https://doi.org/10.2190/ic.30.1.cCrossRef
go back to reference Zandi, S., Hedayati, A., & Fathi, M. (2021). The effectiveness of mindfulness-based interventions on emotional regulation and psychological well-being: A meta-analysis. Journal of Affective Disorders, 281, 516–528. https://doi.org/10.1016/j.jad.2020.11.146