Ga naar de hoofdinhoud
Top

Effects of a Structured Reflective Interview on Parental Reflective Functioning: A Pilot Randomised Controlled Trial

  • Open Access
  • 09-02-2023
  • Original Paper
Gepubliceerd in:

Abstract

The Parental Reflective Interview Procedure was developed as part of an initial assessment interview for an attachment-based intervention for child mental health conditions. This study was a pilot randomised controlled trial that utilised a parallel, single-blind trial design to evaluate the differences in the effects of the Parental Reflective Interview Procedure compared to a diagnostic interview on parental reflective functioning. The control group was administered a structured diagnostic interview (Mini International Neuropsychiatric Interview for Children and Adolescents—Parent Version) and matched for time with clinician. The study sample were 25 parents of clinic-referred children who scored above the clinical cut-off score on the Child Behaviour Checklist. Parental reflective functioning was measured with the Parental Reflective Functioning Questionnaire at baseline and repeated post-intervention, and then again at a two-week follow up. Results showed that the Parental Reflective Interview Procedure produced moderate improvements in parents’ understanding of their children’s mental states and maintenance in their reflections on intergenerational parent-child relationship patterns. The diagnostic interview showed decreases in both these dimensions. The findings suggest that the Parental Reflective Interview Procedure is a promising format for initial assessment when referral indicates difficulty in the parent-child relationship. The interview acts as a good orientation for parents to an intervention focused on parent-child relationship dynamics. Further work refining this interview, its coding and integration into a tailored feedback session is required.
Publisher’s note Springer Nature remains neutral with regard to jurisdictional claims in published maps and institutional affiliations.
In all psychological therapies, the initial clinical assessment phase serves as an important orientation to the subsequent treatment. When working with child mental health presentations, the engagement of parents and efforts to encourage their reflections on the mental life of their child are paramount. To orient parents to an attachment-focused intervention which we are currently developing, we developed a clinical assessment called the Parental Reflective Interview Procedure (PRIP) designed to improve parental reflective functioning (PRF). This study aimed to evaluate the effects of administering PRIP prior to the commencement of intervention on parental reflective functioning by comparing it to a control condition that would be similar to standard clinical practice, that is, administration of a diagnostic interview (Mini International Neuropsychiatric Interview for Children and Adolescents—Parent Version; MINI-KID-P).
Reflective functioning (RF) refers to the psychological processes which underpin a capacity to mentalise (Fonagy, 1989, 1991). The application of the concept of mentalisation in psychology is derived from research in cognitive science and philosophy of mind and refers to a person’s ability to attribute mental states to observed behaviour for the purpose of interpreting, explaining or predicting the behaviour of others and oneself (Dennett, 1987; Fonagy et al., 2002). RF is implicit in the use of mentalistic words to describe the mental state of others, such as when we refer to another person’s ‘beliefs’, ‘desires’, ‘expectations’, ‘decisions’, ‘doubts’ and so on. The concept comes from several different but overlapping theoretical traditions. From the cognitive science perspective, RF refers to ‘two-person’ interactions and is often referred to as ‘theory of mind’. It describes a meta-cognitive process used to understand others, such as psychological insight, empathy or perspective-taking (Frith & Frith, 2010). Drawing on attachment and psychoanalytic theory, RF was linked to the self-other processing of affect (for example, the ability to subjectively recognise and regulate one’s own emotional states, to be contained through social interaction, and to attribute emotional states to others; Bowlby, 1998; Slade, 2005). From the tradition of philosophy of mind, RF has its origins in the longstanding debate about the concept of intentionality. Dennett (1971), for example, refers to what he calls the “intentional stance”, which he describes as a practical rationality employing the strategy of interpreting the behaviour of others by treating it as if there were a rational agent governing a person’s choice of action and developing an explanation of another’s behaviour couched in terms of certain assumptions; namely that another person is a rational agent acting on his/her beliefs, desires, etc.
Parental reflective functioning (PRF) refers to a parent’s capacity to mentalise about their child and their own parenting. A number of studies have reported that PRF predicts the quality of the parent-child relationship (Ensink, Normandin, et al., 2016; Rostad & Whitaker, 2016), as well as the development of the child’s reflective functioning and emotional regulation abilities (Rosso & Airaldi, 2016; Smaling et al., 2017). For example, Ensink, Bégin, et al. (2016) found that low maternal reflective functioning predicted higher child externalising difficulties in children aged 7 to 12, and Esbjørn et al. (2013) found that low maternal reflective functioning predicted higher anxiety in children aged 7 to 12.
RF is not an innate mental ability but a developed or inter-subjectively constructed capacity representing the aggregation of a persons’ relational experiences over time (Fonagy et al., 1991). Drawing links between attachment theory and mentalisation, Fonagy has argued that early developmental experiences influence the depth to which the infant can appraise their social environment. This social environment is provided by the caregivers and the degree to which their interactions with the infant provide not simply safety from external threats, but a world mediated by mentalising language, by attributions of subjectivity and agency and by exchanges which allow affects to be symbolised and thus shared, experiences narrated and retold.
The concept of PRF has strong clinical applications to therapeutic work with children and families. The theory predicts that caregivers with higher PRF should engage in interactions with their child which attribute to the child mental states such as beliefs, desires, wishes, intentions to their child’s behaviour (Fonagy et al., 2002). Moreover, a parent higher on PRF would be expected to think about their own parenting behaviours as current choices made against a background of a developmentally constructed sense of self, at least in part derived from their own experiences of being parented (Fonagy et al., 2002).
However, even though in prior studies low PRF has been identified as a potential risk factor in children developing anxiety problems and insecure attachment (Ensink, Bégin, et al., 2016; Esbjørn et al., 2013), there have been relatively few intervention studies explicitly targeting this aspect of parenting (Ashton et al., 2016; Huber et al., 2015). Sadler et al. (2013) reported on outcomes for families recruited prenatally with weekly visits until their first birthday and then bi-weekly for another year. A manualised Mind the Baby (MTB) programme was undertaken which included a range of techniques making use of the principles of parental reflective functioning. Compared to a ‘usual care’ condition (n = 45), the MTB group (n = 60) were less likely to show disorganised attachment classification at 12 months, and teen mothers showed lower rates of disrupted commucations at 4 months post partum. Further, mothers with low RF levels in pregnancy showed greater improvement in RF. Suchman et al., (2011) conducted a randomised controlled trial of The Mothers and Toddlers Programme (MTP) delivered over 12 sessions to mothers referred for substance-use treatment. Findings suggested that those allocated to MTP showed improved RF and caregiving behaviour. While both of these successful trials are very valuable demonstrations of the efficacy of approaches drawing on RF, they are both focused on infancy and there have been few applications to early childhood and middle childhood as in the current study.

The Parental Reflective Interview Procedure

The PRIP was developed within a broader context as the assessment component of an attachment-focused family intervention for both children and adolescents (Lewis, 2020). It was designed as an initial assessment procedure for use with both parents in a therapeutic setting and seeks to understand the dynamic interaction across three core relationships: (1) the parent’s attachment relations with their own parents, (2) their relationship with their partner, and (3) their relationship with their child. A coding system has been developed to achieve these aims and the coding includes a clinical case formulation and treatment plan tailored to the attachment and family system (Serfaty et al., 2021). While drawing on ideas from existing instruments such as the Adult Attachment Interview (AAI), the Working Model of the Child Interview (WMCI) and the Parent Development Interview (PDI), the PRIP and its coding was developed with clinical utility at the forefront and aimed to assess relationships within the family system as a prelude to a family systems intervention. This includes assessment of the parental couple’s relationship and a format where both parents could undertake the interview. The information from both interviews could be pooled so as to be considered in terms of both family of origin and current couple dynamics. The aim was to produce a ‘case’ formulation for the complete family system.
The PRIP interview consists of an intensive focus on attachment relations with an invitation to narrate past events and repeated invitations to reflect on the behaviour of attachment relations over three generations, namely parents, current partner and child. The procedure provides many opportunities for the interviewee to verbalise and reflect on their attachment history or reveal inconsistencies and impasses within their attachment narrative, or the manner in which past relationships have influenced the current parent-child relationship (Lewis, 2020). The current research is based on the idea that the administration of the PRIP during the assessment session of the above-mentioned intervention may also have therapeutic implications by prompting the PRF of the interviewee at the beginning of the treatment. The current study seeks to evaluate this possible therapeutic effect of the PRIP.
The PRIP is a semi-structured interview which includes guidelines for the interviewer to prompt and extend discussion of key points. It comprises 13 items adapted and modified from George et al., 1996 Adult Attachment Interview (AAI), and ten items adapted and modified from Zeanah and Benoit’s (1995) Working Model of the Child Interview (WMCI). Modification consisted of rewordings to focus on the participant’s status as a parent of a child and for consistency over the full interview. Briefly, items adapted from the AAI (George et al., 1996) include interviewees describing their childhood (i.e., below age 12) relationship with each parent and/or any other significant attachment figure; use of the ‘adjective questions’ probing for specific episodic memories that support the descriptors; asking about the response to specific stressors in childhood; prompting their recall of memories from childhood such as separations, rejections, threats or abuse; encouraging reflection on how these experiences impacted their adult personality and their understanding of why parents behaved as they did; and asking how these experiences have influenced their approach with their child and what they hope the child would learn from being parented by them. Items adapted from the WMCI (Zeanah & Benoit, 1995) consist of interviewees describing their current relationship with the child of concern and providing specific episodic memories that illustrate the chosen adjectives; probing for their own feelings and wishes pertinent to the child and their relationship with the child; prompting their reflections surrounding how their own behaviours may have affected their child or their relationship, and what they would have done differently; consideration of the child’s preferences, thoughts and feelings, as well as explaining why they believed the child thought or felt as he/she did.
Eight additional items have been developed specifically for the PRIP and they include asking the interviewees to describe their parents’ couple relationship during their childhood years; probing for descriptors that represent the interviewees’ current and past adult romantic relationships (i.e., with the child’s biological parent, or step-parent, where applicable), as well as specific episodic memories that support the descriptors chosen; prompting the reflection of how their relationship(s) with their partner(s) may have affected the child of concern, as well as how their childhood relationship with their attachment figures have impacted their relationship(s) with their partner(s); and lastly, probing the interviewees for concluding remarks pertinent to any thoughts or feelings that may have come up as a result of the interview, and whether they had noticed any similarities between their childhood experiences and current relationships with their partner and child.
The rationale for adding these additional items was based on the aim of assessing the interrelationships between three attachment dynamics: past attachments, current parenting couple’s relationship, and parent-child relationships; as well as extensive research indicating that parental conflict can form a significant source of stress for the child and exert substantial influence on the parent-child relationship (Hertzmann et al., 2016).
The literature on the therapeutic effects of assessment processes is quite mixed. Recently Kamphuis et. al. presented a review arguing that there is evidence that assessment procedures guided by a specific theoretical model may successfully orient a client towards engaging in a therapeutic process (Kamphuis et al., 2021). A common approach in child and adolescent mental health would be focused on diagnosis and therefore in this study we use a diagnostic interview as a control condition. It was predicted that this would orient the parents to focusing on the child’s symptoms and their functional impact. We compare this to the administration of PRIP where we expected that PRIP should orient parents towards reflecting on their relationship with their child. If we can detect such differences, it shows that specific and theory driven assessment processes may indeed assist efforts to engage parents in therapies which aim to improve PRF.
As the current study was the first of its kind to examine the effects of a single-session parental interview on PRF, this investigation was largely exploratory in nature. Nevertheless, existing theories (Slade, 2006) and research (Muzik et al., 2015) are consistent with the study’s predictions. One of the key theories is Arietta Slade’s (2006) proposed intervention approaches for enhancing PRF. Firstly, Slade suggested that by placing a focus on the child’s internal states and intentions, rather than behaviour, a therapist promotes PRF via increasing the parent’s interest and curiosity in their child, and helping the parent to think about the child as a subjective agent with mental and emotional states underlying their behaviour. This approach is reflected in the PRIP through items such as, “How do you think your relationship with your partner has affected (name of child)”. Secondly, Slade suggested that the therapeutic facilitation of ‘wondering’ and ‘questioning’ can both promote parents’ curiosity about their child’s internal world, and their recognition of the distinction between the child’s experience and their own. Questions drawn from the AAI asking “…I’d like to ask what you hope your child might have learned from or would say about his/her experiences of being parented by you”, encourages parents to reflect on their child’s mental states generated by the parents’ own behaviours. This question potentially promotes curiosity, and invites the parent into Dennett’s (1987) ‘intentional stance’. Thirdly, Slade proposed that eliciting strong affect in therapy is the means through which PRF develops, as this is when opportunity presents for the parent, with assistance from the therapist, to make new meaning from emotional experience or memory, and learn to regulate the emotions felt during such experiences. This approach is reflected in the items of the PRIP that probes the parent for specific episodic memories of stressful childhood experiences. Interviewers are trained to conduct the interview adopting a supportive and reflective stance, distinct from the mode of information gathering or data collection. When administering the PRIP, interviewers are instructed to (a) adopt a conversational style of speaking; (b) convey a listening and empathic attitude; (c) work at a gentle pace so as to allow respectful silences, show interested body language, give minimal verbal acknowledgements of the parent’s speech and experiences; and (d) use follow-up probes, where appropriate, so as to encourage interviewees to elaborate on initial responses (George et al., 1996; Zeanah & Benoit, 1995).

The Current Study

This study adopted a parallel trial design where participants were randomised to either the experimental or control condition. Pre, post and follow up measures were conducted with both groups before they received any further treatment in the community clinic. Based on the above, we hypothesised that participants administered the PRIP (experimental condition) would show greater improvements in PRF at post-interview, and maintain these at the two-week follow-up, relative to those administered a widely used diagnostic interview (control condition).

Method

Trial Design and Procedures

The conduct of this research study and its procedures have been approved by the Murdoch University Human Research Ethics Committee (Project Approval Number 2017/080). Participants were mainly recruited via contacting the parents of clients on the referral waitlist of the Murdoch Psychology Clinic who met the age eligibility criterion. Through phone conversation, potential participants were given an explanation of the study and then invited to participate. Interested parents were provided with recruitment packs comprising the information sheet, consent form and screening questionnaire (i.e., the Child Behaviour Checklist [CBCL]; Achenbach & Rescorla, 2001). Those eligible who provided their informed consent to participate were randomly allocated to either the experimental condition or were administered a child diagnostic interview which took approximately the same amount of time. Those eligible were also invited to ask the child’s other primary caregiver, where applicable, to participate in the study. For families where both caregivers participated in the study, the interview sessions were conducted separately. All participants were provided feedback on their interview and questionnaire responses, as well as personalised recommendations. Where appropriate, participants were also debriefed in regard to any major emotional reactions that had arisen during or after the interview. To ensure all six therapists adhered to standardised procedures, training from the first and second authors was provided.

Randomisation method

In this randomised controlled pilot trial, the blocked randomisation method was employed to facilitate balanced allocation of participants to each condition. Using an online tool for creating a blocked randomisation list (Sealed Envelope Ltd., 2017), eight blocks of size four were generated, where each block contained two of each condition presented in a random sequence. Each of the eight blocks was assigned a block identifier from 1 to 8, and the sequence of the blocks were further randomised, using an online list randomiser (RANDOM.ORG, 2017). Allocation remained concealed to the therapists and researchers involved in the current study, until the time of allocation. To minimise the occurrence of demand characteristics, participants were kept blind to allocation and the study hypotheses. Participants were informed they would be administered a parental initial assessment interview that was either child-focused or parent-focused, with no indication of which was the experimental condition. Furthermore, randomisation was done at the family level, such that where more than one caregiver per family joined the study, family members were allocated to the same condition.

Administration of assessment measures

Prior to the conduct of the parental interviews (T1), participants completed the Baseline Questionnaire, which comprised demographic questions, followed by the Parental Reflective Functioning Questionnaire (PRFQ; Luyten et al., 2017). After the respective interviews were conducted, participants were provided the Post-Interview Questionnaire—consisting of the PRFQ—and instructed to complete it one week after the interview (T2), with a reminder phone call given on the expected date of completion. The rationale for the one-week lapse between the interview and completion of the Post-Interview Questionnaire was based on existing studies suggesting that the effects of interventions on PRF were usually picked up only after a period of time following the intervention (Suchman et al., 2017; Suchman et al., 2011). Given this was a one-session intervention, it was expected that one week would be a sufficient length for any therapeutic effects to be detected. Participants then attended a feedback session between two to three weeks after the interview (T3), at the beginning of which they were asked to complete the Follow-up Questionnaire, comprising of the PRFQ. The therapists were clearly instructed to collect the completed questionnaire from the participants before commencing the feedback session. As such, any therapeutic effects that may be generated from the feedback session itself were not measured or analysed in the current study. Figure 1 shows the Consolidated Standards of Reporting Trials flow diagram, which includes information about the initial recruitment, enrolment, randomisation and follow-up.
Fig. 1
Consolidated standards of reporting trials flow diagram
Afbeelding vergroten

Participants

Eligibility criteria

Caregivers who were included in the study had a child aged 3 years to 11 years, who was being referred to a University Child and Family Mental Health Clinic on the basis of emotional or behavioural problems. Participants were screened with the CBCL (Achenbach & Rescorla, 2001) and were included in the study if they rated their child above clinical cut-off (T-score > 70) on at least one of the eight Syndrome Scales of the parent-report version.

Retention and completion

Data analysed for this study was obtained from a total of 25 participants, including 12 participants in the experimental group and 13 participants in the control group. As shown in Fig. 1, following group allocation, there were two dropouts from the study prior to completion—one from each group. The participant that dropped out from the experimental group did so before completing the baseline questionnaire, i.e., prior to T1, and thus was not included in the data analysis. The other participant that dropped out from the control group completed most of the study, except attending the follow-up session and completing the questionnaire at T3; this participant’s T1 and T2 data were retained in the data analysis.

Measures

Child behaviour checklist

The CBCL (Achenbach & Rescorla, 2001) is a widely-used 113-item caregiver-report measure of child internalising and externalising symptoms. Examples of internalising items include “Feels too guilty” (anxious/depressed), and “Enjoys little” (withdrawn/depressed). Examples of externalising items are “Sulks” (aggression), and “Lies, cheats” (rule-breaking). Parents rated the presence of these symptoms in their child on a 3-point Likert scale (0 = “Not True”; 1 = “Somewhat or Sometimes True”; 2 = “Very True or Often True”), which yielded scores for each of eight Syndrome Scales (e.g., Anxious/Depressed, Social Problems, Thought Problems, Aggressive Behaviour), as well as overall scores for Internalising symptoms, Externalising symptoms and a total score. These scores were converted to gender-normed T-scores.

Parental reflective functioning questionnaire

The PRFQ (Luyten et al., 2017) is a self-report measure that assesses PRF with reference to an identified child of concern on three dimensions: pre-mentalising modes (PM), certainty about mental states (CM) and interest and curiosity about mental states (IC). PM represents parental difficulties in attributing mental states to the child’s behaviour—including making malevolent attributions about the child’s behaviour, such as, “My child sometimes gets sick to keep me from doing what I want to do”. Lower scores on the PM subscale indicate a higher degree of PRF. The CM subscale concerns the recognition of mental states in items such as, “I always know why my child acts the way he or she does”. On the CM subscale, optimal PRF is denoted by moderate level CM on the PRFQ. Extreme levels of CM can reveal one of two types of impaired PRF depending on the polarity: High CM is indicative of “hypermentalising”, a type of mentalising that reflects over-certainty of the child’s mental states and fails to acknowledge the opacity of mental states; whilst low CM is indicative of “hypomentalising”, which is characterised by low or absence of certainty about the child’s mental states (Fonagy, Luyten, et al., 2016; Luyten et al., 2017). IC denotes the parent’s motivation and desire to discover the internal world of the child, such as, “I like to think about the reasons behind the way my child behaves and feels”. Higher scores on the IC subscale indicate more optimal PRF.
Participants were administered the 39-item version of the PRFQ (PRFQ-1; Luyten et al., 2009, as cited in Goldberg, 2011). Respondents scored their agreement with 39 statements on a 7-point Likert scale with three anchor points (1 = “Strongly disagree”; 4 = “Neutral/Undecided”, 7 = “Strongly agree”). For scoring, we initially examined the psychometrics of the recommended 18-item version (Luyten, 2018), which was a subset of the original 39 items (6 items per subscale). Coding of the items and calculation of the subscale scores were performed using the syntax provided by the developers (Luyten, 2018). Pazzagli et al. (2018) found the PRFQ to be valid when used with parents of school-aged children—similar age group to the current study.
Internal consistency of the subscales of the 18-item version showed that Cronbach’s alpha was only 0.44 for the IC subscale and this could not be readily improved with item removal. The other subscales were PM (Cronbach’s α = 0.702) and CM (Cronbach’s α = 0.851), which were acceptable and consistent with that obtained in Pazzagli et al. (2018) study. In order to address the study aims, we made use of the CM and PM subscale of the recommended 18-item version, and we developed one additional subscale from the 39-item version of the PRFQ focusing on items related to the intergenerational transmission of attachment. Using factor analysis as a guide, we constructed this new subscale which included 6 items (sum of items 3, 15, 17, 24, 37 and 39) and showed acceptable internal reliability in our data (Cronbach’s α = 0.71). The highest loading items were item 15: “Now that I’m a parent, I realise how my parents could have misunderstood my reactions as a child” and item 24: “I believe that how my parents raised me affects how I raise my child”, which showed good face validity and thus we refer to this scale as “Intergenerational Reflection” (IR) where higher ratings indicate an increase in this capacity.

Interventions

Therapists conducting the interviews and feedback sessions were postgraduate Clinical Psychology students at Murdoch University. All interviews were held at the Murdoch Psychology Clinic and videotaped for the purposes of supervision and fidelity monitoring.

Experimental condition: reflective interview

Participants in the experimental condition were administered the PRIP as described in the introduction. Duration of the interview ranged from 1.5 to 2 h. All therapists received training from the second author, within his capacity as clinical supervisor, regarding the method and principles of carrying out the PRIP.

Control condition: Diagnostic interview

Participants randomised to the control group received the treatment-as-usual procedure of being administered a psychiatric primary caregiver interview to determine if the child meets diagnostic criteria for a mental health condition. The parent version of the Mini International Neuropsychiatric Interview for Child and Adolescents (MINI-KID-P; Sheehan, 2016) was the selected interview for this purpose. Evaluation of its psychometric properties revealed that the MINI-KID-P demonstrated high concurrent validity with other diagnostic interviews, including the standard MINI-KID; substantial sensitivity and excellent specificity in detecting mental disorders; as well as high inter-rater and test-retest reliability (Sheehan et al., 2010). Prior to conducting the MINI-KID-P, training was provided by the first author to the other therapists, with the aim of standardising the administration of the diagnostic interview. This included establishing a pre-interview spiel, interviewer instructions and procedural logic of the interview items. To keep the length of interview in the experimental and control conditions comparable, therapists only administered three modules of the MINI-KID-P, selected for each participant based on their CBCL Syndrome scores.

Results

Participant Characteristics by Group

The CBCL ratings are presented in Table 1, alongside the baseline characteristics of the sample according to group allocation. The randomisation produced groups with quite similar profiles of child mental health problems with the reflective group having a slightly higher frequency of social and thought problems on the CBCL. Parents did not differ significantly in age between allocated group (t = 0.96, df = 23, p = 0.17), children were slightly older for parents conducting the reflective interview (M = 8.75 years vs M = 7.69 years) but this difference was not significant (p = 0.08). In the diagnostic vs reflective interview child gender was distributed as female (46% and 33% respectively), and male (54% and 67% respectively), which was not a significant difference (p = 0.51).
Table 1
Participant characteristics at baseline
Family variables
Experimental group
N = 12
Control group
N = 13
n
%
n
%
Only one caregiver joined study
6
66.7
7
70.0
Both caregivers joined study
3
33.3
3
30.0
Parent Variables
n
%
n
%
 Female
9
75.0
10
76.9
 Relationship to Child
    
   Parent
12
100.0
12
92.3
   Other Caregiver
0
0.0
1
7.7
 Primary Caregiver
10
83.3
11
84.6
 English as First Language
12
100.0
12
92.3
 Highest Level Education
    
  High School
2
16.6
1
10.0
  TAFE
9
75.0
6
46.2
  University
1
8.3
6
46.2
Employment Status
    
 Employed
10
83.3
9
69.2
 Unemployed & Not Seeking Job
2
16.7
4
30.8
Marital Status
    
 Married
7
58.3
7
53.8
 De Facto Relationship
0
0.0
4
30.8
 Divorced/Separated
3
25.0
2
15.4
 Single Parent
2
16.7
0
0.0
Child Variables
n
%
n
%
 Female
4
33.3
6
46.2
 CBCL (Child Age ≥ 6) Syndrome Scale with Scores Above Cut-Off
12
100.0
11
84.6
 Anxious/Depressed
3
25.0
3
23.1
 Withdrawn/Depressed
4
33.3
1
7.7
 Somatic Complaints
3
25.0
0
0.0
 Social Problems
7
58.3
0
0.0
 Thought Problems
7
58.3
2
15.4
 Attention Problems
10
83.3
5
38.5
 Rule-Breaking Behaviour
6
50.0
0
0.0
 Aggressive Behaviour
7
58.3
6
46.2
CBCL (Child Age < 6) Syndrome Scale with Scores Above Cut-Off
0
0.0
2
15.4
 Emotionally Reactive
0
0.0
 Anxious/Depressed
1
7.7
 Somatic Complaints
0
0.0
 Withdrawn
2
15.4
 Sleep Problems
0
0.0
 Attention Problems
1
7.7
 Aggressive Behaviour
2
15.4
Participant age
M (SD)
Range
M (SD)
Range
 Parent
41.9 (5.7)
35–54
39.6 (6.3)
32–50
 Child
8.8 (1.7)
6–11
7.7 (2.0)
5–11
CBCL Child Behaviour Checklist, M Mean, SD Standard Deviation

Group Differences in Parental Reflective Functioning

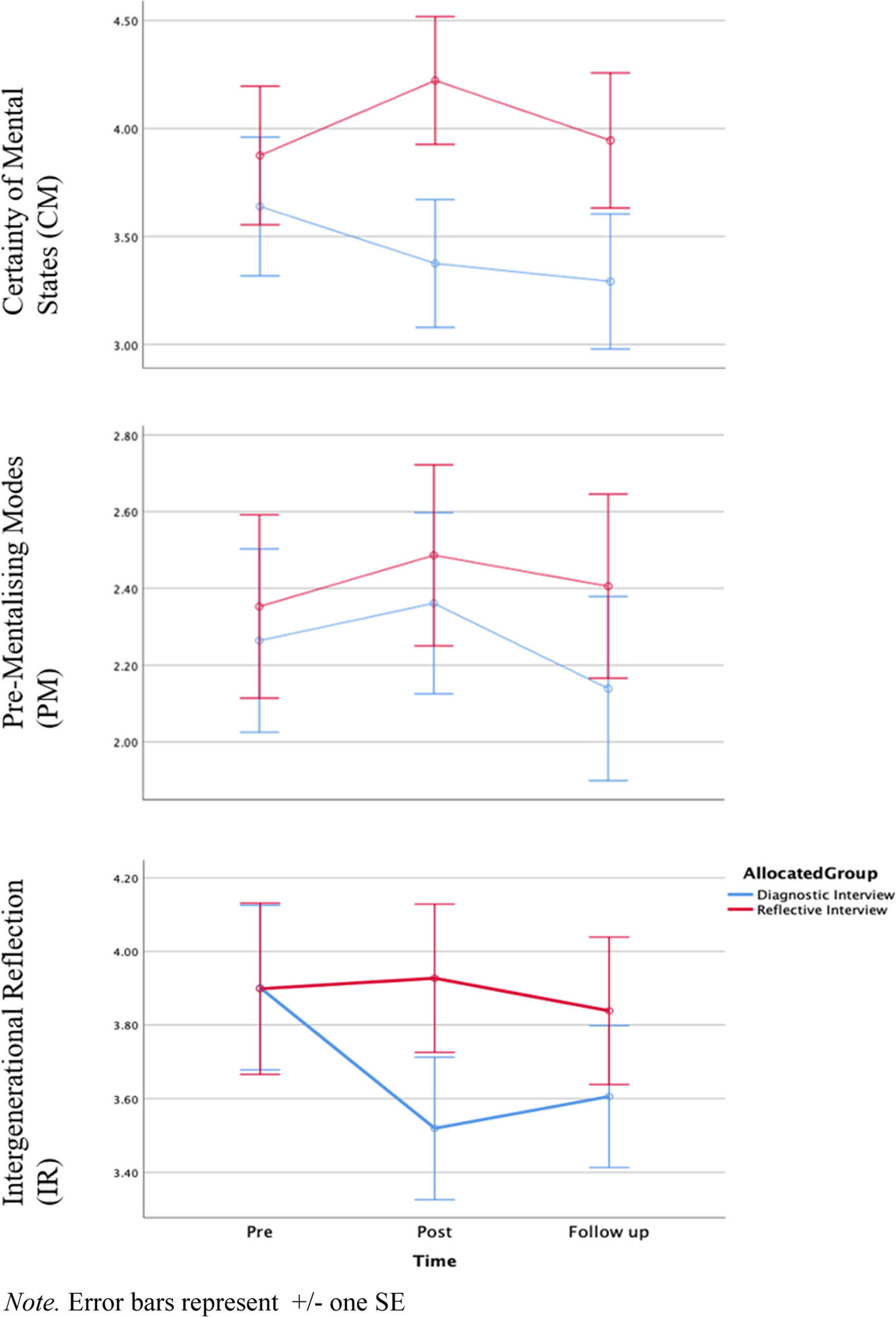
In Table 2 and Fig. 2, we report the group by time results from a repeated measures analysis of variance (ANOVA) of the participants’ responses on the PRFQ for the CM, PM, and IR subscales over three time-points: pre-interview, post-interview and two-week follow-up.
Table 2
Analysis of variance in group differences (diagnostic and reflective interview) in parental reflective functioning subscales by time (pre, post and follow-up), N = 25
 
Diagnostic Interview
(N = 13)
Reflective Interview
(N = 12)
Differencea
Wilks’λ
F
p
 
M
SD
M
SD
Certainty of Mental States (CM)
    
 Pre
3.64
1.20
3.88
1.01
    
 Post
3.38
0.97
4.22
1.08
 
0.83b
4.69
0.04*
 Follow up
3.29
0.87
3.94
1.26
 
0.82c
2.34
0.12
 Pre-post d
−0.24
 
0.33
 
0.57
   
Pre-Mentalising Modes (PM)
    
 Pre
2.26
0.82
2.35
0.83
    
 Post
2.36
0.83
2.49
0.80
 
1.00b
0.00
0.98
 Follow up
2.14
0.72
2.41
0.92
 
0.97c
0.38
0.69
 Pre-post d
0.12
 
0.17
 
0.05
   
Intergenerational Reflection (IR)
    
 Pre
3.90
0.71
3.90
0.90
    
 Post
3.52
0.75
3.93
0.64
 
0.86b
2.95
0.09
 Follow up
3.61
0.85
3.84
0.47
 
0.86c
1.83
0.18
 Pre-post d
−0.52
 
−0.03
 
−0.49
   
aThe difference in effect size between the diagnostic and reflective interview groups from pre to post scores
bGroup × Time (Pre-post)
cGroup × Time (Pre, Post, Follow-up)
*p < 0.05
Fig. 2
Estimated margin means for parental reflective functioning subscales over three time-points by group (N = 25). Error bars represent +/− one SE
Afbeelding vergroten
The overall results of the group by time effect on the ANOVAs for each subscale presented in Table 2 suggest that only the pre-post difference between groups reached significance for the CM subscale. The Cohen’s d effect size of the difference between pre and post mean scores for the CM subscale was moderate at d = 0.57. As is clear from examination of Fig. 2, this occurred because the PRIP induced an increase in CM scores while the diagnostic group produced a decline. The absolute values of these changes are also worth noting. The mid-point, or neutral or undecided score on these scales is a score of 4. Again, inspection of Fig. 2 suggests that the PRIP moved participants into the range of scores agreeing with mentalising statements, while the diagnostic group moved participants further into the range of disagreement with such statements.
With regards to the PM subscale, Fig. 2 indicates that both groups showed similar patterns of a slight increase followed by a decline. The parallel nature of these changes over time is reflected in minimal group difference effect sizes (d = 0.05) and significance tests showing very little group by time interaction in Table 2.
As for changes in the capacity for intergenerational reflection following the two interventions, Fig. 2 shows those undergoing the PRIP maintained these capacities while those undertaking the diagnostic interview showed a marked decline in this aspect of their thinking about their child. The between-groups effect size of this difference is reported in Table 1 as being of moderate magnitude (d = −0.49). The ANOVA group by time effects reported in Table 1 were not below alpha values of 0.05 but were in the predicted direction and may be suggestive of group differences on this subscale which would need to be evaluated in a study with a larger sample size.
Finally, to explore whether any variance in RF may have been due to clustering of some study participants into couples, we conducted additional analysis to account for clustering in a model using multi-level analysis. Of the 25 participants, 10 where members of a couple, that is, there were 5 caregiving couples. In order to examine any clustering effect, we ran three linear mixed models using three levels, namely couples, individual subjects and time. These suggested significant interclass correlation coefficients, for pre-mentalising (ICC = 60.97%, Wald z = 2.43, p = 0.015) and certainty, (ICC 75.73%, Wald z = 2.43, p = 0.015) but not for intergenerational outcomes (Wald z = 1.59, p = 0.11). Due to sample size limitations, further multilevel analysis was not conducted but it should be noted that any inference that change over time in parental reflective functioning was due to the interview is likely to be occurring at both a couple and individual level particularly for the pre-mentalising and certainty outcomes.

Discussion

This pilot randomised controlled trial evaluated the intervention effects of the PRIP on the improvement of PRF in a sample of parents whose children met clinical criteria to receive psychological services. It is one of few existing studies investigating the therapeutic effects of a single intervention component (Tate et al., 2016) and one of the few to examine parental reflective function in early-middle childhood. The study showed some important results suggesting that the PRIP and diagnostic interview may generate different reactions in parents, and that the former seems to promote changes in some aspects of reflective functioning which may prove to be beneficial if enhanced in subsequent therapy.
The hypothesis that those administered the PRIP would exhibit improved PRF was mostly supported in the current study. Most notably, there was a clear distinction between the experimental and control groups on the CM subscale, with those administered the PRIP displaying a moderate increase in mean scores on CM from pre- to post-interview, whilst those who went through the diagnostic interview showed decreasing mean scores. This difference was statistically significant when examining only the pre-post between-group difference. Furthermore, computation of the effect size using Cohen’s d showed a moderate standardised mean difference between the two groups in the effect from T1 to T2 which was impressive given the intervention was comparing two short interviews. Notably however this effect on CM was not sustained over the follow up period where no intervention was offered, suggesting that the effect of a single interview is insufficient for sustained increases in this aspect of PRF.
Conversely, the diagnostic interview induced the opposite effect, suggesting that administering an interview to caregivers that is centred on the child’s observable symptoms reduces the caregivers’ capacity to mentalise in relation to their child. This is understandable given that the nature of a diagnostic interview following the Diagnostic and Statistical Manual of Mental Disorders (DSM) criteria highlights how their child’s behaviour is related to problems in functioning, rather than prompting efforts to explain why their child might be acting the way they are.
The results of this study also yielded differences in how the two groups responded to their respective interviews on the intergenerational aspects of reflection (IR subscale). The items in this subscale measure the caregiver’s ability to understand and reflect on the transmission of patterns of parent-child relationships across generations. This subscale also encompasses the ability of the caregiver to reflect on how their own early experiences of being parented can impact on their current parenting of their children. The conceptualisation of this subscale is consistent with the basis of Fonagy’s and Slade’s work in their development of the RF scoring manuals for application to the AAI and the Parent Development Interview (Fonagy et al., 1998; Slade, 2005). While the difference on this scale was not statistically significant, it is nevertheless interesting to note the difference in the pattern of the change in scores on the IR subscale between the two groups. In particular, the IR scores displayed by those administered the PRIP remained rather stable from T1 to T3, whereas those displayed by the participants in the diagnostic interview group declined by half a standard deviation from T1 to T2. The PRIP did not necessarily improve the participants’ IR scores after the interview, but the diagnostic interview clearly showed a decline in the participants’ self-reported levels of IR. It appears that the diagnostic interview gave rise to the unintended effect of discouraging the caregivers from reflecting on the role of intergenerational transmission of attachment on their child’s mental states and behaviours and may encourage a parental view that the child’s behaviours are best understood as the manifestation of a disorder.
With respect to the PM subscale, the data trend over time revealed that mean PM increased in both the experimental and control group within the first week after the interview, after which PM levels declined in both groups. These results suggest that parental interviews in general give rise to the parents’ inclination to inaccurately mentalise their child, whether the interview is focused on the child’s symptoms or on the parents’ own attachment relationships, including that with the child. It is also notable that the pattern of increase in PM was only temporary and appeared to reverse in trend by the time of the follow-up. These trends were consistent with the notion put forth by Tasca et al. (2017), who described the tendency for patients going through therapy to experience a period of increased disorganised mental states prior to showing improvement.
As suggested by Fonagy and Target (1997), there is a distinction between (i) the caregiver’s ability to simply define their own and their child’s mental states in terms of the conscious motivations underlying behaviours, and (ii) the caregiver’s ability to understand the motivations underpinning behaviours, as well as understand the complex interactions between the caregiver’s and child’s motivations and behaviours. This second aspect allows a parent to regulate their own behaviour and respond sensitively to their child (Sealy & Glovinsky, 2016; Slade, 2005). Whilst the former process can be prone to misattributional errors, the ability to engage in the latter process is what constitutes high PRF (Fonagy & Target, 1997; Slade, 2005).
One of the main positive effects of the PRIP on participants was the enhancement of their inclination to view their child’s behaviours within the context of their internal mental states and the parent-child relationship, rather than solely focusing on the problematic nature of the behaviours. This is a finding of relevance to many clinicians and child mental health researchers given the widespread understanding of the importance of inclusion of parents in most mental health treatments for children. Moreover, the findings suggest that these changes in mentalising may occur relatively quickly and parents are very receptive to different clinical models for understanding their children from the outset of therapy. A key implication of this finding is the propensity for PRIP to quickly orient parents towards enhancing their PRF. The PRIP may be contributing to enhancing the parents’ understanding of their pivotal role as agents of change in their child’s behaviours. This supports the possible role of structured interviews such as the PRIP as suitable for use as part of parent-based or family-based interventions, especially those with an attachment-focus. Other assessment measures such as WMCI and the PDI are also likely to produce similar responses, but this would require empirical verification.

Limitations and Directions for Future Studies

A potential limitation of the study was the use of the PRFQ as the sole outcome assessment measure. As noted in Luyten et al., 2017 paper on the development and preliminary validation of the PRFQ, its development was intended mainly as a brief screening tool for large sample sizes, and Luyten et al. have recommended combining the use of the PRFQ with more detailed interview and/or observer-based assessments to measure PRF. However, exactly as noted by Luyten et al. as well as demonstrated in the currently limited literature on interventions targeting PRF, the measurement of PRF has principally relied on interview- and observer-based measures to measure PRF, with the main one being the application of Slade et al. (2005) RF coding scale to the Parent Development Interview(PDI; Slade et al., 2004) Examples of the numerous studies that have utilised the coding of RF on the PDI include Suchman et al. (2017) study on their Mothering From the Inside Out programme, Fonagy et al. (2016) study on the Parent-Infant Psychotherapy intervention, Sleed et al. (2013) study on their New Beginnings programme, and Sadler et al. (2013) study on their Minding the Baby programme. On the other hand, the use of a self-report measure of PRF in the same field of literature is sparse in comparison, in large part because the PRFQ—the only self-report measure of PRF currently available—is still relatively new (Camoirano, 2017) and to date, the only validation study that has been conducted of the PRFQ was only preliminary in nature (Luyten et al., 2017). Nevertheless, the decision to utilise only the PRFQ to measure PRF in this study was partly because it is the only outcome measure available that is easy to use and less time-consuming (Camoirano, 2017), as would be warranted for an initial pilot study of the PRIP. More importantly, it would not have been possible to use an interview-based assessment of PRF, without the effects of the assessment interview itself potentially confounding the results. Consequently, the PRFQ as a self-report measure seemed the most appropriate for the current study and these limitations should be noted in considering the study findings.
Another issue pertaining to the use of the PRFQ is the debate surrounding the appropriate age range of the child whom the caregiver is completing the questionnaire about. It is worth noting that even though the PRFQ’s developers themselves have reported that their design of the PRFQ had primarily been intended for use with children aged 5 and below (Luyten et al., 2017), Pazzagli et al. (2018) had found the PRFQ to be valid when used with parents of school-aged children. Other studies by Hertzmann et al. (2016) and Ashton et al. (2016) also employed the PRFQ with parents of children aged 5–12 years old. Hertzmann et al., for example, applied the PRFQ on parents of 15 children with age range of 0–11 years old and mean age of 8.7 years, and had found the subscales to display good internal consistency in their sample. These studies suggest that the use of the PRFQ with older children, as was the case in the current study can be valid. Nonetheless, the utilisation of the PRFQ on an older age group in these studies, despite the developers’ specification of the age range that the design of the questionnaire was intended for a younger age group, is noteworthy and points to the current dearth of PRF measures for use with parents or caregivers of older-aged children. In fact, the assessment of the validity and reliability of the above-mentioned PDI RF scale has also only been researched on mothers of children aged 0–2 years (Sleed et al., 2020). With the above, a suggestion for future studies would be to further develop PRF measures for use with parents of older children and adolescents.
Another limitation of the current study was that as a pilot study, the sample size is small, which may explain the lack of power for the statistical analyses conducted. Despite this limitation, this study has unveiled a number of promising data trends that support the usefulness of the PRIP in orienting its interviewees to an increased attachment-focused mind set. A suggestion for future studies would be to integrate this interview into a tailored feedback session together with tailored treatment planning that capitalises on the therapeutic effects from the PRIP.
Looking at how various demographic factors might influence the effectiveness of the PRIP could also be useful. Notably, it would be interesting to investigate the relationship between the existing attachment styles of the parents and the effects of the PRIP as a function of parental adult attachments; specifically, it is likely that those with avoidant or disorganised attachment styles may react distinctly from those who are securely attached.
In conclusion, this initial evaluation suggests that the PRIP is a promising format for initial assessment in child and family settings. The tentative evidence obtained in this study indicates that this model appears to temporarily increase some aspects of parental mentalising and to act as a better orientation for parents to an intervention focused on parent-child relationship dynamics than a diagnostic interview. Further work integrating this interview into a tailored feedback session and evaluating a subsequent attachment-based family intervention is required. These findings are relevant to understanding both therapeutic and assessment processes in child and family therapy approaches.

Compliance with Ethical Standards

Conflict of Interest

The authors declare no competing interests.

Ethics Approval

The questionnaire and methodology for this study was approved by the Human Research Ethics Committee of Murdoch University (Ethics Approval Number: 2017/080), which draws upon the National Statement on Ethical Conduct in Human Research (2007) as its primary guidelines for determining approval.
Informed consent was obtained from all individual participants included in the study.
Open Access This article is licensed under a Creative Commons Attribution 4.0 International License, which permits use, sharing, adaptation, distribution and reproduction in any medium or format, as long as you give appropriate credit to the original author(s) and the source, provide a link to the Creative Commons license, and indicate if changes were made. The images or other third party material in this article are included in the article’s Creative Commons license, unless indicated otherwise in a credit line to the material. If material is not included in the article’s Creative Commons license and your intended use is not permitted by statutory regulation or exceeds the permitted use, you will need to obtain permission directly from the copyright holder. To view a copy of this license, visit http://creativecommons.org/licenses/by/4.0/.
Publisher’s note Springer Nature remains neutral with regard to jurisdictional claims in published maps and institutional affiliations.
Titel
Effects of a Structured Reflective Interview on Parental Reflective Functioning: A Pilot Randomised Controlled Trial
Auteurs
Yu Ying Low
Andrew J. Lewis
Irene G. Serfaty
Publicatiedatum
09-02-2023
Uitgeverij
Springer US
Gepubliceerd in
Journal of Child and Family Studies / Uitgave 2/2023
Print ISSN: 1062-1024
Elektronisch ISSN: 1573-2843
DOI
https://doi.org/10.1007/s10826-023-02546-8
go back to reference Achenbach, T. M., & Rescorla, L. A. (2001). Manual for the ASEBA school-age forms & profiles: an integrated system of mult-informant assessment. Burlington: University of Vermont, Research Center for Children, Youth & Families.
go back to reference Ashton, C. K., O’Brien-Langer, A., & Silverstone, P. H. (2016). The CASA Trauma and Attachment Group (TAG) Program for children who have attachment issues following early developmental trauma. Journal of the Canadian Academy of Child and Adolescent Psychiatry, 25(1), 35–42.PubMedPubMedCentral
go back to reference Bowlby, J. (1998). Loss: Sadness and Depression: Attachment and Loss Volume 3. London: Pimlico.
go back to reference Camoirano, A. (2017). Mentalizing Makes Parenting Work: A Review about Parental Reflective Functioning and Clinical Interventions to Improve It. Frontiers in Psychology, 8(14). https://doi.org/10.3389/fpsyg.2017.00014.
go back to reference Dennett, D. (1987). The Intentional Stance. Cambridge: The MIT Press.
go back to reference Dennett, D. C. (1971). Intentional Systems. The Journal of Philosophy, 68(4), 87–106. https://doi.org/10.2307/2025382.CrossRef
go back to reference Ensink, K., Bégin, M., Normandin, L., & Fonagy, P. (2016). Maternal and child reflective functioning in the context of child sexual abuse: Pathways to depression and externalising difficulties. European Journal of Psychotraumatology, 7. https://doi.org/10.3402/ejpt.v7.30611.
go back to reference Ensink, K., Normandin, L., Plamondon, A., Berthelot, N., & Fonagy, P. (2016). Intergenerational pathways from reflective functioning to infant attachment through parenting. Canadian Journal of Behavioural Science, 48(1), 9–18. https://doi.org/10.1037/cbs0000030.CrossRef
go back to reference Esbjørn, B. H., Pedersen, S. H., Daniel, S. I., Hald, H. H., Holm, J. M., & Steele, H. (2013). Anxiety levels in clinically referred children and their parents: Examining the unique influence of self‐reported attachment styles and interview‐based reflective functioning in mothers and fathers. British Journal of Clinical Psychology, 52(4), 394–407. https://doi.org/10.1111/bjc.12024.CrossRefPubMed
go back to reference Fonagy, P. (1989). On tolerating mental states: theory of mind in borderline personality. Bulletin of the Anna Freud Centre, 12(2), 91–115.
go back to reference Fonagy, P. (1991). Thinking about thinking: Some clinical and theoretical considerations in the treatment of a borderline patient. The International Journal of Psychoanalysis, 72(4), 639–656.PubMed
go back to reference Fonagy, P., & Target, M. (1997). Attachment and reflective function: Their role in self-organization. Development and Psychopathology, 9, 679–700.CrossRefPubMed
go back to reference Fonagy, P., Gergely, G., Jurist, E. L., & Target, M. (2002). Affect Regulation, Mentalization, and the Development of the Self. New York: Other Press.
go back to reference Fonagy, P., Luyten, P., Moulton-Perkins, A., Lee, Y.-W., Warren, F., Howard, S., & Lowyck, B. (2016). Development and validation of a self-report measure of mentalizing: The Reflective Functioning Questionnaire. PLoS One, 11(7), 1–28. https://doi.org/10.1371/journal.pone.0158678.CrossRef
go back to reference Fonagy, P., Sleed, M., & Baradon, T. (2016). Randomized controlled trial of parent-infant psychotherapy for parents with mental health problems and young infants. Infant Mental Health Journal, 37(2), 97–114. https://doi.org/10.1002/imhj.21553.CrossRefPubMed
go back to reference Fonagy, P., Steele, M., Steele, H., Moran, G. S., & Higgitt, A. C. (1991). The capacity for understanding mental states: The reflective self in parent and child and its significant for security of attachment. Infant Mental Health Journal, 12(3), 201–218. https://doi.org/10.1002/1097-0355(199123)12:3.CrossRef
go back to reference Fonagy, P., Target, M., Steele, H., & Steele, M. (1998). Reflective-Functioning Manual (Version 5) for Application to Adult Attachment Interviews. London: University College London.
go back to reference Frith, U., & Frith, C. (2010). The social brain: allowing humans to boldly go where no other species has been. Philosophical Transactions of The Royal Society B, 365(1537), 165–175. https://doi.org/10.1098/rstb.2009.0160.CrossRef
go back to reference George, C., Kaplan, N., & Main, M. (1996). Adult Attachment Interview (Unpublished manuscript) (3rd ed.). Berkeley: Department of Psychology, University of California.
go back to reference Goldberg, B. (2011). Parental reflective functioning, emotion regulation, and stress tolerance: A preliminary investigation. Yale Medicine Thesis Digital Library, 1554. Retrieved from https://elischolar.library.yale.edu/cgi/viewcontent.cgi?article=1630&context=ymtdl.
go back to reference Hertzmann, L., Target, M., Hewison, D., Casey, P., Fearon, P., & Lassri, D. (2016). Mentalization-based therapy for parents in entrenched conflict: A random allocation feasibility study. Psychotherapy, 53(4), 388–401. https://doi.org/10.1037/pst0000092.CrossRefPubMed
go back to reference Huber, A., McMahon, C. A., & Sweller, N. (2015). Efficacy of the 20‐week Circle of Security intervention: Changes in caregiver reflective functioning, representations, and child attachment in an Australian clinical sample. Infant Mental Health Journal, 36(6), 556–574. https://doi.org/10.1002/imhj.21540.CrossRefPubMed
go back to reference Kamphuis, J. H., Noordhof, A., & Hopwood, C. J. (2021). When and how assessment matters: An update on the Treatment Utility of Clinical Assessment (TUCA). Psychological Assessment, 33(2), 122–132. https://doi.org/10.1037/pas0000966.
go back to reference Lewis, A. (2020). Attachment-Based Family Therapy for Adolescent Substance Use: A Move to the Level of Systems. Frontiers in Psychiatry, 10(948). https://doi.org/10.3389/fpsyt.2019.00948
go back to reference Luyten, P. (2018). The Parental Reflective Functioning Questionnaire (PRFQ). Retrieved January 8, 2018, from University College London website: http://www.ucl.ac.uk/psychoanalysis/research/prfq.
go back to reference Luyten, P., Mayes, L. C., Sadler, L., Fonagy, P., Nicholls, S., Crowley, M., Vesper, A., Mobley, A., Stewart, T., Close, N., & Slade, A. (2009). The Parental Reflective Functioning Questionnaire-1 (PRFQ-1) (Unpublished manual). Leuven, Belgium: University of Leuven.
go back to reference Luyten, P., Mayes, L. C., Nijssens, L., & Fonagy, P. (2017). The parental reflective functioning questionnaire: development and preliminary validation. PLoS ONE, 12(5), 1–28. https://doi.org/10.1371/journal.pone.0176218.CrossRef
go back to reference Muzik, M., Rosenblum, K. L., Alfafara, E. A., Schuster, M. M., Miller, N. M., Waddell, R. M., & Kohler, E. S. (2015). Mom Power: Preliminary outcomes of a group intervention to improve mental health and parenting among high-risk mothers. Archives of Women’s Mental Health, 18(3), 507–521. https://doi.org/10.1007/s00737-014-0490-z.CrossRefPubMedPubMedCentral
go back to reference Pazzagli, C., Delvecchio, E., Raspa, V., Mazzeschi, C., & Luyten, P. (2018). The parental reflective functioning questionnire in mothers and fathers of school-aged children. Journal of Child and Family Studies, 27(1), 80–90. https://doi.org/10.1007/s10826-017-0856-8.CrossRef
go back to reference RANDOM.ORG. (2017). List Randomizer. Retrieved August 4, 2017, from https://www.random.org/lists/.
go back to reference Rosso, A. M., & Airaldi, C. (2016). Intergenerational transmission of reflective functioning. Frontiers in Psychology, 7, Article 1903. https://doi.org/10.3389/fpsyg.2016.01903.
go back to reference Rostad, W. L., & Whitaker, D. J. (2016). The association between reflective functioning and parent-child relationship quality. Journal of Child and Family Studies, 25(7), 2164–2177. https://doi.org/10.1007/s10826-016-0388-7.CrossRef
go back to reference Sadler, L. S., Slade, A., Close, N., Webb, D. L., Simpson, T., Fennie, K., & Mayes, L. C. (2013). Minding the baby: enhancing reflectiveness to improve early health and relationship outcomes in an interdisciplinary home-visiting program. Infant Mental Health Journal, 34(5), 391–405. https://doi.org/10.1002/imhj.21406.CrossRefPubMed
go back to reference Sealed Envelope Ltd. (2017). Create a blocked randomisation list. Retrieved August 4, 2017, from https://www.sealedenvelope.com/simple-randomiser/v1/lists.
go back to reference Sealy, J., & Glovinsky, I. P. (2016). Strengthening the reflective functioning capacties of parents who have a child with a neurodevelopmental disability through a brief, relationship-focused intervention. Infant Mental Health Journal, 37(2), 115–124. https://doi.org/10.1002/imhj.21557.CrossRefPubMed
go back to reference Serfaty, I. G., Lewis, A. J., Almeida, R., Watts, G., & Moran, A. (2021). An Attachment-Based Coding System for Clinical Use with Families: The Caregiver Attachment Discourse Scale [Manuscript in preparation]. Murdoch University.
go back to reference Sheehan, D. V. (2016). Mini International Neuropsychiatric Interview for Children And Adolescents Parent Version (M.I.N.I. Kid): English Version 7.0.2 for DSM-5. South Florida: University of South Florida College of Medicine.
go back to reference Sheehan, D. V., Sheehan, K. H., Shytle, R. D., Janavs, J., Bannon, Y., Rogers, J. E. & Wilkinson, B. (2010). Reliability and validity of the Mini International Neuropsychiatric Interview for Children and Adolescents (MINI-KID. The Journal of Clinical Psychiatry, 71(3), 313–326. https://doi.org/10.4088/JCP.09m05305whi.
go back to reference Slade, A. (2005). Parental reflective functioning: An introduction. Attachment & Human Development, 7(3), 269–281. https://doi.org/10.1080/14616730500245906.CrossRef
go back to reference Slade, A. (2006). Reflective parenting programs: Theory and development. Psychoanalytic Inquiry, 26(4), 640–657. https://doi.org/10.1080/07351690701310698.CrossRef
go back to reference Slade, A., Aber, J. L., Bresgi, I., Berger, B., & Kaplan, B. (2004). The Parent Development Interview-Revised: Unpublished protocol. New York: City University of New York.
go back to reference Slade, A. B., Grienenberger, J., Levy, D., & Locker, A. (2005). Manual for scoring reflective functioning on the Parent. New York: The City University of New York.
go back to reference Sleed, M., Baradon, T., & Fonagy, P. (2013). New Beginnings for mothers and babies in prison: A cluster randomized controlled trial. Attachment & Human Development, 15(4), 349–367. https://doi.org/10.1080/14616734.2013.782651.CrossRef
go back to reference Sleed, M., Slade, A., & Fonagy, P. (2020). Reflective functioning on the parent development interview: validity and reliability in relation to socio-demographic factors. Attachment & Human Development, 22(3), 310–331. https://doi.org/10.1080/14616734.2018.1555603.CrossRef
go back to reference Smaling, H. J., Huijbregts, S. C., van der Heijden, K. B., Hay, D. F., van Goozen, S. H., & Swaab, H. (2017). Prenatal reflective functioning and development of aggression in infancy: The roles of maternal intrusiveness and sensitivity. Journal of Abnormal Child Psychology, 45(2), 237–248. https://doi.org/10.1007/s10802-016-0177-1.CrossRefPubMed
go back to reference Suchman, N. E., Decoste, C. L., McMahon, T. J., Dalton, R., Mayes, L. C., & Borelli, J. (2017). Mothering from the Inside Out: Results of a second randomized clinical trial testing a mentalization-based intervention for mothers in addiction treatment. Development and Psychopathology, 29(2), 617–636. https://doi.org/10.1017/S0954579417000220.CrossRefPubMedPubMedCentral
go back to reference Suchman, N. E., Decoste, C., McMahon, T. J., Rounsaville, B., & Mayes, L. (2011). The Mothers and Toddlers program, an attachment-based parenting intervention for substance-using women: Results at 6-week follow-up in a randomized clinical pilot. Infant Mental Health Journal, 32(4), 427–449. https://doi.org/10.1002/imhj.20303.CrossRefPubMedPubMedCentral
go back to reference Tasca, G. A., Maxwell, H., Faye, M., & Balfour, L. (2017). Feeling worse before feeling better: A case of increased disorganized mental states following group psychotherapy. International Journal of Group Psychotherapy, 67, 240–258. https://doi.org/10.1080/00207284.2016.1260461.CrossRef
go back to reference Tate, D. F., Lytle, L. A., Sherwood, N. E., Haire-Joshu, D., Matheson, D., Moore, S. M., & Michie, S. (2016). Deconstructing interventions: Approaches to studying behavior change techniques across obesity interventions. Translational Behavioral Medicine, 6(2), 236–243. https://doi.org/10.1007/s13142-015-0369-1.CrossRefPubMedPubMedCentral
go back to reference Zeanah, C., & Benoit, D. (1995). Clinical applications of a parent perception interview. Child and Adolescent Psychiatric Clinics of North America, 4(3), 539–554.CrossRef