Ga naar de hoofdinhoud
Top

Developmental Trajectories of Anxiety Subtypes from Childhood to Early Adolescence: the Role of Parenting Practices and Maternal Distress

  • Open Access
  • 30-08-2025
Gepubliceerd in:

Abstract

The present study was embedded in an Asian birth cohort to (a) investigate the trajectories of specific anxiety subtypes from middle childhood to early adolescence, (b) compare developmental trajectories by child sex, and (c) examine their associations with caregiving factors including parenting practices and maternal distress. Data from the Growing Up in Singapore Towards healthy Outcomes (GUSTO) cohort were analyzed (N = 547; 52.8% boys; 57.3% Chinese, 27.8% Malay, 14.7% Indian, 0.2% other ethnicities). Subtype-specific anxiety symptoms were repeatedly assessed via child-report at ages 8.5, 10, and 13 years. Parenting behaviors and maternal distress levels were measured via observed measures and parental report at age 6 years. We found subtype and sex-specific changes in anxiety symptoms across multiple timepoints using linear mixed effects models. Social anxiety symptoms increased with age, with a greater rate of increase in girls. Obsessive-compulsive and harm avoidance symptoms declined with age, with a slower rate of decrease in girls. Furthermore, parental autonomy support was associated with lower rates of increase in children’s social anxiety symptoms while maternal anxiety and stress levels were linked to greater increase in generalized anxiety, physical, and obsessive-compulsive symptoms. Our findings identify the transition from childhood to adolescence as a vulnerable period for the escalation of social anxiety symptoms, particularly for girls. Additionally, we underscore the significant role of early caregiving practices and maternal mental health for the development of anxiety symptoms into adolescence, identifying focal targets for family-centered intervention programs.

Supplementary Information

The online version contains supplementary material available at https://doi.org/10.1007/s10802-025-01364-4.

Publisher’s Note

Springer Nature remains neutral with regard to jurisdictional claims in published maps and institutional affiliations.

Introduction

Anxiety disorders are among the most prevalent mental health problems in childhood and adolescence (Chan et al., 2025; Okwori, 2022), with the pooled prevalence of clinically elevated anxiety symptoms estimated at 20.5% (95% CI [17.2%, 24.4%]) in community samples of youths (Racine et al., 2021). In Singapore, a large-scale study of 3,336 adolescents revealed that 41.5% of adolescents report clinical anxiety levels (Singapore Youth Epidemiology and Resilience Study; Wong et al., 2024). In particular, the transition from childhood to adolescence marks a period of heightened vulnerability for the onset of anxiety disorders (Rapee et al., 2019), thus posing a prominent risk for the psychological, social, and academic functioning of children and adolescents. Despite extensive work about the repercussions of developmental anxiety disorders, greater attention is warranted to understand the developmental trajectories of anxiety subtypes from childhood to adolescence. Moreover, given the substantial contribution of caregiving factors to the development of anxiety disorders (Beesdo-Baum & Knappe, 2012), there is reason to examine the aforesaid developmental trajectories with a more thorough consideration of these factors such as parenting practices and maternal mental health. Hence, the present study examined the developmental trajectories of specific anxiety symptoms from middle childhood to early adolescence and further addressed how caregiving factors, including parenting practices and maternal distress, explain longitudinal change in anxiety symptoms.

Developmental Trajectories of Anxiety Symptoms

Previous studies investigating developmental trajectories of anxiety symptoms have largely focused on trajectories within childhood or within adolescence. Trends suggest that anxiety symptoms generally remain stable from early to late childhood (e.g., Ahlen & Ghaderi, 2019); Broeren et al., 2013; de Lijster et al., 2019). In a population-based sample of 7499 children and their caregivers from the Generation R Study based in the Netherlands, anxiety symptoms remained low from age 1.5 to 10 years for a substantial proportion (82.4%) of children (de Lijster et al., 2019). Across adolescence, several longitudinal studies have utilized latent growth curve modelling to examine trajectories of anxiety subtypes with conflicting results (e.g., McLaughlin & King, 2015; Murray et al., 2021; Nelemans et al., 2013; Ohannessian et al., 2017). In an ethnically diverse U.S. sample of 1437 10–15 year-olds, McLaughlin and King (2015) demonstrated, on average, declining generalized anxiety, social anxiety, separation anxiety, and physical anxiety symptoms across three timepoints over one year. In contrast, Nelemans et al. (2013) identified diverse developmental trajectories for five different anxiety disorder symptoms in a community sample assessed annually over 8 years from early to late adolescence. Investigations that account for the vulnerable transition from childhood to adolescents could shed light on this equivocality. Further, while emerging work has assessed the course of anxiety symptoms from childhood to adolescence, these studies predominantly evaluated overall or generalized anxiety symptoms (e.g., LoParo et al., 2024; Morales-Muñoz et al., 2023; Tseliou et al., 2024), thus warranting further investigation into subtype-specific developmental trajectories from childhood to adolescence.
Prior work has also documented significant sex differences in anxiety levels and their developmental courses. In cross-sectional investigations, adolescent girls consistently report a higher lifetime prevalence of anxiety disorders (Kessler et al., 2012) and more severe anxiety symptoms (Hale et al., 2008; McLaughlin & King, 2015) in comparison to similarly-aged boys. However, the nature of sex differences in trajectories of specific anxiety subtypes, particularly from childhood to adolescence, remains unclear. In studies that examined sex-specific trajectories of anxiety subtypes from childhood to adolescence (e.g., Steinsbekk et al., 2022; Xu et al., 2021), some work observed no significant differences in growth rates of generalized anxiety, social anxiety, and separation anxiety symptoms from early childhood to adolescence (Steinsbekk et al., 2022). In contrast, other investigations found that girls are more likely to be identified in trajectories classes marked by initially high or increasing, compared to consistently low, social anxiety symptoms (Xu et al., 2021). Other investigations have explored sex differences in developmental courses of specific anxiety symptoms within adolescence, similarly yielding equivocal results. Girls have been found to exhibit a gradual increase of symptoms from early to mid/late-adolescence (i.e., from approximately 10 to 19 years of age1) while boys show declining symptoms, particularly for generalized anxiety and social anxiety symptoms (Hale et al., 2008; Nelemans et al., 2013). Conversely, other studies indicate declining generalized anxiety, panic disorder, and social anxiety symptoms from middle to late adolescence for girls and more stable trajectories for boys (Ohannessian et al., 2017). Taken together, these mixed findings point to the need for more careful examination of specific anxiety subtypes alongside demographic characteristics, such as age and sex, to clarify the developmental trajectories of anxiety symptoms from childhood to adolescence.

Family Ecology Framework

The present work integrates Brofenbrenner’s (1979) ecological systems framework with Rapee et al.’s (2019) model of adolescent development and social-emotional disorders. Drawing on prior theoretical work, parenting practices and maternal mental health represent the most salient factors in the early home environment that shape the onset and progression of anxiety symptoms (Rapee et al., 2019, 2022). These caregiving factors are theorized to provide a crucial foundation for children’s coping strategies, decision-making, and socioemotional functioning (Sirois & Bernier, 2018). Hence, while early adolescence is marked by a magnified importance of peer relationships for social support, self-esteem, and self-concept development (Sebastian et al., 2008; Westenberg et al., 2007), pre-adolescent caregiving factors establish a foundational layer of risk or resilience that interacts with characteristics of adolescent development to shape developmental trajectories of anxiety.
In previous work, two key dimensions of parenting—sensitivity and autonomy support—have been identified to predict unique portions of children’s psychosocial adjustment (Sirois & Bernier, 2018). Parental sensitivity (i.e., attunement and responsiveness to child’s cues; Ainsworth, 1979) is posited to facilitate healthy caregiver attachments and scaffold socioemotional skills (e.g., emotion regulation) which set a foundation for healthy psychosocial functioning and fewer internalizing symptoms across childhood and adolescence. Parental autonomy support, a related but distinct concept, refers to parents’ encouragement of children’s independent problem-solving and decision-making. These practices are theorized to provide children with socioemotional resources, such as self-esteem, that promote psychosocial adjustment and protect against the development of anxiety symptoms (Sowislo & Orth, 2013). Accordingly, higher levels of responsive and autonomy-granting parenting practices in middle-to-late childhood are longitudinally associated with lower internalizing problems, such as anxiety symptoms, into early adolescence (Gao et al., 2022; Matte-Gagné et al., 2015). Additionally, maternal mental health particularly in early childhood has been identified as a salient predictor of children’s psychopathology outcomes during childhood and adolescence. Poor maternal mental health in early childhood contributes to young children’s greater exposure to stressful home environments and mothers’ dysfunctional cognitions and emotions (Burstein & Ginsburg, 2010), which are risk factors for socio-emotional difficulties including anxiety symptoms (Beesdo-Baum & Knappe, 2012). Empirical evidence also shows that maternal depression and anxiety symptoms in early childhood have enduring relations with internalizing symptoms into early adolescence (Bailey et al., 2021; Daundasekara et al., 2021) and predict persistent trajectories of emotional problems from early childhood to adolescence (4 to 17 years of age; Tseliou et al., 2024). In line with an ecological systems approach, substantial evidence points to the pertinent role of parenting and maternal mental health in the onset and maintenance of anxiety symptoms from childhood to adolescence.

Limitations of Existing Work

While the aforementioned studies shed light on trajectories of anxiety symptoms through childhood and adolescence and the role of caregiving factors, the extant literature has a few but key limitations. First, greater empirical attention is required to understand how core anxiety subtypes may evolve from childhood to adolescence. Nascent studies have assessed the course of composite anxiety or internalizing symptoms from childhood to adolescence (e.g., LoParo et al., 2024; Morales-Muñoz et al., 2023; Tseliou et al., 2024), which may mask the variability of trends across specific subtypes. Developmental psychopathology models (Beesdo-Baum & Knappe, 2012) note that the predominant expressions of anxiety symptoms are tied to normative developmental periods and tasks. Alongside greater time with peers and transitions to more complex social environments, the shift from childhood to adolescence is marked by the increased salience of peer relationships, heightened sensitivity to social evaluation, and vulnerability of self-concept development to social feedback (Sebastian et al., 2008; Silk et al., 2012; Westenberg et al., 2007). These socioemotional changes are theorized as developmental risk factors that can trigger social anxiety symptoms (Rapee et al., 2019, 2022). In contrast, separation anxiety symptoms appear to predominate in early-to-middle childhood and decline from late childhood as children assert greater autonomy from their parents (e.g., McLaughlin & King, 2015). The transition from childhood to adolescence thus provides a critical window to examine subtype-specific trajectories of anxiety symptoms.
Second, further research is needed to examine sex differences in the developmental courses of anxiety subtypes from childhood to early adolescence. While a few studies investigated how the course of overall anxiety or emotional symptoms vary between boys and girls from childhood to adolescence (e.g., LoParo et al., 2024; Tseliou et al., 2024), subtype-specific sex differences are less understood. Other studies assessed sex differences in the courses of specific anxiety subtypes, particularly social anxiety and obsessive-compulsive symptoms, but yielded conflicting findings (e.g., Jagannathan et al., 2024; Steinsbekk et al., 2022; Vivan et al., 2014; Xu et al., 2021). These discrepancies point to the need for targeted research to examine sex differences in the trajectories of core anxiety subtypes, especially in the transition from childhood to adolescence marked by significant sex differences in hormonal, physiological, and socioemotional changes. This knowledge can inform the development of sex-specific prevention and intervention programs, enhancing their timing and effectiveness by addressing distinct developmental patterns.
Third, drawing on an ecological systems approach to developmental psychopathology (Brofenbrenner, 1979), few studies have assessed modifiable caregiving-related risk factors in relation to trajectories of specific anxiety symptoms from childhood to adolescence. Developmental trajectories of anxiety problems from childhood to early adolescence have primarily been examined in relation to psychiatric and/or functional outcomes (see Liang et al., 2022; Marçal, 2020; Tseliou et al., 2024; Xu et al., 2021). Other studies have investigated systemic risk factors of childhood or adolescent anxiety symptoms, including early socioeconomic conditions (Ochi et al., 2014), in relation to trajectories or cross-sectional assessments of anxiety symptoms during childhood or adolescence. In contrast to systemic risk factors that are challenging to modify, greater empirical attention is needed to identify modifiable risk factors for childhood-to-adolescent anxiety, i.e., factors that are potentially within a parent’s capacity to alter or intervene on. A closer examination of risk factors such as parenting practices and maternal mental health would provide proximal and measurable targets for family-oriented prevention and intervention strategies that mitigate anxiety symptoms in childhood and adolescence.
Finally, previous research primarily examined developmental trajectories of anxiety subtypes in Western populations, including the United States, United Kingdom, and Norway (e.g., LoParo et al., 2024; Marçal, 2020; Morales-Muñoz et al., 2023; Tseliou et al., 2024; Steinsbekk et al., 2022). This highlights the need for relevant empirical work in other sociocultural contexts. Singapore, a multi-ethnic East Asian city-state in which youths’ clinical anxiety problems are highly prevalent (Wong et al., 2024), offers the opportunity to examine the transportability of results obtained in Western populations. Rising mental health problems, potentially driven by intense academic pressures and national ‘survivalist’ ideologies (Sim & Tham, 2025), highlight the need to examine subtype- and sex-specific developmental trajectories of anxiety symptoms within this sociocultural context. Culturally-informed frameworks of parenting (Bornstein, 2012) suggest that the home environment, particularly parenting practices, shapes children’s socioemotional adjustment in culturally-specific ways (e.g., Gao et al., 2021). These relationships should thus be understood within their sociocultural context. Singapore offers a unique sociocultural landscape: a majority ethnically Chinese population, Western influences due to rapid globalization, and the use of English as the lingua franca (Cheung & Lim, 2022). As a result, parenting practices in Singapore reflect a blend of interdependence-oriented and independence-oriented socialization goals, encouraging children to manage their emotions independently while maintaining familial interdependence. This multi-ethnic, East Asian sociocultural context provides a valuable setting for generating novel insights on the trajectories of anxiety subtypes and the relevance of caregiving factors.

Current Study

Considering these gaps, the current study sought to address three key research aims. First, we sought to characterize the trajectories of subtype-specific anxiety symptoms from age 8.5 to 13 years in a multi-ethnic Asian cohort based in Singapore. Next, we sought to compare these trajectories in boys and girls. Finally, we sought to investigate whether early caregiving factors (i.e., at age 6 years), including parental sensitivity, parental autonomy support, and maternal mental health, were associated with changes in subtype-specific anxiety symptoms. Understanding sex-specific trajectories of holistic anxiety subtypes enables more precise identification of developmental windows for heightened risk, as well as identification of children prone to specific symptoms at different ages. Furthermore, by identifying proximal vulnerabilities and resilience factors related to the caregiving environment, our findings enable the development of targeted prevention and intervention strategies that reduce long-term emotional risks beyond childhood.

Methods

Participants and Procedure

This study was embedded within the Growing Up in Singapore Towards healthy Outcomes (GUSTO; Soh et al., 2014) pre-birth cohort study, a population-based longitudinal cohort study in Singapore. Between June 2009 and December 2010, pregnant women in their first trimester (Mage = 30.6 years, range = 18–46 years) were recruited from two public hospitals. Eligibility criteria included being Singapore citizens or permanent residents of Chinese, Malay, or Indian ethnicity. In Singapore, the three major ethnic groups include Chinese, Malay, and Indian (Department of Statistics, Ministry of Trade and Industry, Singapore, 2024). Participants also needed to have homogenous parental ethnic background, intentions of delivering in either of the two public hospitals, and intentions to remain in Singapore for the next 5 years. The study was approved by the National Healthcare Group Domain Specific Review Board (D/2014/00414), the SingHealth Centralised Institutional Review Board (2018/2767/D), and the A*STAR Review Board (2020-011). Written informed consent was obtained from all mothers at recruitment, and all children provided written assent to the study when they turned 7 years of age from 2017 to 2018.
Embedded within the larger GUSTO cohort, a sub-cohort of mother-child dyads were invited to participate in neuropsychological assessments when children were ages 6 years, 8.5 years, 10 years, and 13 years. Data on parent-child relationships and maternal mental health was available at ages 6 years (n = 533 parent-child relationships, n = 551 maternal depression, n = 547 maternal anxiety, n = 539 maternal stress), while data on children’s anxiety symptoms were available at ages 8.5 years (n = 340), 10 years (n = 575), and 13 years (n = 676). As previously detailed by Cai et al. (2015), we excluded subjects who had a last recorded Apgar score of < 9, birth weight < 2500 g or > 4000 g, were born preterm (< 37 weeks), or were part of a twin pregnancy or pregnancy with complications. A total of 547 subjects who underwent at least one neuropsychological assessment at age 6 years and one follow-up assessment for anxiety symptoms met the eligibility criteria and were included in our analytic sample (see Figure S1 for a participant flowchart). Compared to the initial sample of 1247 mothers at recruitment, those excluded from the analytic sample only significantly differed in their ethnic proportions, χ²(3) = 12.28, p =.006, Cramér’s V = 0.09. There were lower proportions of Indian mother-child dyads and higher proportions of Malay mother-child dyads in the analytic sample compared to those excluded. Aside from ethnicity, there were no significant differences between the full and analytic samples on other demographic variables measured at recruitment, including child sex (p =.817), maternal education (p =.460), and household income (p =.164).

Measures

Multidimensional Anxiety Scale for Children-2

The Multidimensional Anxiety Scale for Children-2 (MASC-2; March, 2013) was repeatedly administered to children at ages 8.5, 10, and 13 years. This measure identifies six symptom-based subtypes: (a) social anxiety including humiliation and performance fears (9 items; e.g., “I’m afraid other people will think I’m stupid”), (b) generalized anxiety (10 items; e.g., “I feel restless and on edge”), (c) physical symptoms including tension and somatic symptoms (12 items; e.g., “My heart races or skips beats”), (d) obsessive-compulsive symptoms (10 items; e.g., “I have to do things over and over again for no reason”), (e) harm avoidance (8 items; e.g., “I stay away from things that upset me”), and (f) separation anxiety symptoms (9 items; e.g., “I try to stay near my mom or dad”). Items were scored on a 4-point Likert-type scale, from 0 (Never true about me) to 3 (Often true about me), and composite scores for each subscale were obtained with higher scores indicating greater severity of anxiety symptoms. Internal consistency was acceptable across subscales (see Table S1 in Supplementary Material for full internal consistency indices). The psychometric quality of the self-report MASC2 has been rigorously assessed with informants aged 8 to 19 years, and has demonstrated good internal consistency (α = 0.73 − 0.92), strong test-retest reliability (r =.80 −.94), and moderate concurrent validity with parent-reports on the same measure (r =.43 −.68) (March, 2013).

Berkeley Puppet Interview

When children were 6 years of age, the Berkeley Puppet Interview (BPI; Measelle et al., 1998) was conducted to obtain self-reports from children about their exposure to specific parenting behavior. The BPI is an interactive, age-appropriate interviewing technique designed to assess parenting behavior experienced by 3.5 to 8-year-olds. In this interview, the examiner introduces two identical animal puppets (Iggy and Ziggy) to the child, who invite the child to join them in a dialogue in which they tell each other things about themselves. Throughout the interview, the two puppets make opposite statements (e.g., Iggy: “My dad yells at me when he is mad” – Ziggy: “My dad doesn’t yell at me when he is mad”) in a counterbalanced order. The child is then asked to tell the puppets how their own parent behaves. Questions were worded in age-appropriate language, and children could respond either verbally or nonverbally by pointing or touching the puppet to indicate which puppet best described their parents’ behavior. Each item was coded on a 7-point Likert scale, reflecting the degree to which children perceive their parents’ behavior to fit with the descriptions provided. For example, in response to opposing statements of “My mom doesn’t comfort me when I’m sad/My mom comforts me when I’m sad”, a score of 1 was given when the child expressed full agreement with the statement “My mom doesn’t comfort me when I’m sad”, and a score of 7 was given when the child expressed full agreement with the statement “My mum comforts me when I’m sad”, such that higher scores reflect greater parental responsiveness. The exact score depended on which of the puppets’ statements children agreed with and the degree of emphasis placed on their response (see Ablow et al., 2003 for further details on coding). Item scores were averaged to obtain composite scores for each of the three included subscales (Measelle et al., 1998), with higher scores indicating greater responsiveness, emotional availability, and autonomy-support, respectively. The BPI instrument exhibited good internal consistency (α = 0.88), and the median intraclass correlation between two independent observers was 0.80 (range 0.65–0.97).

Maternal Mental Health

Symptoms of maternal depression, anxiety, and stress were assessed when children were 6 years old. We measured mothers’ depressive symptoms via the 21-item Beck Depression Inventory – Second Edition (BDI-II; Beck et al., 1996), which enquired about cognitive, affective, and somatic symptoms of depression in the past two weeks. Each item was rated from 0 (e.g., “I am not discouraged about my future”) to 3 (e.g., “I feel my future is hopeless and will only get worse”) based on the severity of various symptoms such as pessimism about the future, anhedonia, self-criticism, and feelings of worthlessness. Item scores were summed, with higher composite scores indicating greater severity of depressive symptoms (α = 0.89). The State-Trait Anxiety Inventory (STAI; Spielberger, 1983) was employed to assess maternal anxiety symptoms. This measure comprised 20 items measuring state anxiety (e.g., “I am worried”), each scored on a 4-point Likert scale; 1 = not at all, 4 = very much so. A composite anxiety score was obtained with higher scores indicating greater severity of anxiety symptoms (α = 0.93). To assess maternal stress, the Parenting Stress Index-Short Form PSI-SF; Abidin, 1995) was administered. This measure comprises 36 items which assesses general stress associated with parental demands and children’s demands (e.g., “I often have the feeling that I cannot handle things very well”). Each item was rated based on mothers’ degree of agreement, from 1 = strongly disagree to 5 = strongly agree. A composite score was computed for total stress (α = 0.94), where higher scores indicated greater parenting stress.

Demographics

At recruitment, mothers reported their child’s ethnicity and assigned sex. In a sociodemographic questionnaire administered when children were 5 years old, mothers indicated maternal and paternal educational attainment levels (1 = Primary or Secondary/High school, 2 = Technical/Diploma, 3 = University degree or above), monthly combined household income (1 = S999 to 13 = S$12,000 and over), and their marital status (1 = mother is married to father of child, 0 = mother is not married to father of child).

Analytic Plan

Within the analytic sample (n = 547), Little’s (1988) Missing Completely at Random (MCAR) test based on all age-invariant and age-varying variables revealed a normed chi-square (\(\:{\chi\:}^{2}/df)\) of 1.03 (p =.210). This indicated that the pattern of missing data was not materially different from a random pattern (Bollen, 1989). As missingness was not related to any covariates or variables of interest, all mixed effects models were analyzed using Mplus 8.11 with the MLR estimator, accounting for missing data using Full Information Maximum-Likelihood estimation (FIML). Null models without predictors assessed intraclass correlations (ICC) which indicated the proportion of variance in anxiety symptoms attributable to between-person variation. Mixed effects modelling was then conducted to investigate longitudinal trajectories of anxiety from 8.5 to 13 years. Mixed effects models allowed the nesting of multiple anxiety assessments within children, and accommodated unequal assessment intervals so that all measurement occasions could be retained. Child age in years was rescaled such that 0 represented 8.5 years to ease interpretation of the intercept. In unconditional growth models, child age was added as a random effect allowing both intercepts and slopes to vary across children. As an example, a random-intercept-and-time model is as follows for child i at age j: βo represents the average anxiety level at 8.5 years, and voi refers to child i’s deviation from βo. β1 represents the average rate of change in anxiety symptoms, and v1i refers to child i’s deviation from β1. Eij captures the residual term or unexplained variance in each growth model.
Within-subject models
$$Anxiety_{ij}=b_{oi}+b_{1i} Age_{ij}+E_{ij}$$
Between-subject models
$$\begin{array}{c}b_{oi}=b_o+v_{oi}\\b_{1i}=b_1+v_{1i}\end{array}$$
Thereafter, we incorporated the cross-level Child Sex*Age interaction term in each growth model to examine whether initial anxiety levels and rates of changes varied according to child sex, while retaining child sex as a fixed effect. Finally, to assess associations between early caregiving factors and anxiety trajectories from age 8.5 to 13, we included between-person predictors (i.e., early parental responsiveness, emotional availability, autonomy-support, and maternal distress indices) as fixed effects, age as a random effect, and adjusted for child sex, ethnicity, maternal education, paternal education, household income, and mothers’ marital status as age-invariant covariates. In ancillary analyses, we specified Child Sex*Predictor interaction terms to test whether predictors have differential associations with trajectories of anxiety subtypes according to child sex. A two-level model is as follows for child i at age j. β2 represents the average association between an early predictor and baseline anxiety, and β6 represents the average association between baseline anxiety and rate of change.
Within-subject models
$$Anxiety_{ij}=b_{oi}+b_{1i} Age_{ij}+E_{ij}$$
Between-subject models
$$\begin{array}{lc}b_{oi}=\beta_o+b_2Early\;Predictor_i+b_3Child\;Sex_i+b_4Covariates_i+b_5Child\;Sex^{\ast} \kern-1.5ptPredictor_i+v_{oi}\\\\b_{1i}=\beta_1+\beta_6Early\;Predictor_i+v_{1i}\end{array}$$

Results

Sample Characteristics

Table 1 outlines the demographic characteristics for our sample (see Table S2 in Supplementary Material for descriptive statistics of other key variables). Mean levels of overall anxiety symptoms were 63.57 (SD = 22.85) at 8.5 years, 59.73 (SD = 22.98) at 10 years, and 55.72 (SD = 27.05) at 13 years (out of a maximum score of 150). Compared to normative ratings from representative youths in the United States aged 8–11 and 12–15 (see March, 2013), our sample reported correspondingly higher scores for total and all subtype-specific anxiety symptoms with the exception of harm avoidance (see Table S3 in Supplementary Material for details).
Table 1
Descriptive statistics for participant demographics (n = 547)
 
n
%1
Child sex
 Male
289
52.8
 Female
258
47.2
Ethnicity (n = 443)
 Chinese
254
57.3
 Malay
123
27.8
 Indian
65
14.7
 Other
1
0.2
 Unknown2
104
 
Maternal educational attainment (n = 343)
 Secondary and below
87
25.4
 ITE/NITEC/Polytechnic Diploma/GCE A Levels
109
31.8
 University and above (Bachelor/Masters/PhD)
147
42.9
 Unknown
204
 
Paternal educational attainment (n = 340)
 Secondary and below
101
29.7
 ITE/NITEC/Polytechnic Diploma/GCE A Levels
95
27.9
 University and above (Bachelor/Masters/PhD)
144
42.4
 Unknown
207
 
Household monthly income3 (SGD) (n = 452)
 $0 - $999
21
4.6
 $1000 - $1999
38
8.4
 $2000 - $2999
63
13.9
 $3000 - $3999
57
12.6
 $4000 - $4999
49
10.8
 $5000 - $5999
38
8.4
 $6000 - $6999
21
6.2
 $7000 - $7999
21
6.2
 $8000 - $8999
21
6.2
 $9000 - $9999
15
3.3
 $10,000 - $10,999
20
4.4
 $11,000 - $11,999
10
2.2
 $12,000 and above
57
12.6
 Unknown
95
 
Mothers’ current marital status (n = 483)
 Married to father of GUSTO child
455
94.2
 Not married to father of GUSTO child4
28
5.8
 Unknown
64
 
Note. 1Percentages are relative to valid, nonmissing sample for each variable. 2The number of cases with missing data for each variable. 3Household income treated as a continuous variable based on 13 categories, where 1 = S999, 2 = S$1,000 - S$1,999, 3 = S$2,000 - S$2,999, 4 = S$3,000 - S$3,999, 5 = S$4,000 - S$4,999, 6 = S$5,000 - S$5,999, 7 = S$6,000 - S$6,999, 8 = S$7,000 - S$7,999, 9 = S$8,000 - S$8,999, 10 = S$9,000 - S$9,999, 11 = S$10,000 - S$10,999, 12 = S$11,000 - S$11,999, and 13 = S$12,000 and over
4Mothers who were classified as “not married to father of GUSTO child” reported being divorced, never married, widowed, separated, or married to someone other than the father of their GUSTO child.

Mixed Effects Models: Within- and Between-Child Changes in Anxiety Symptoms

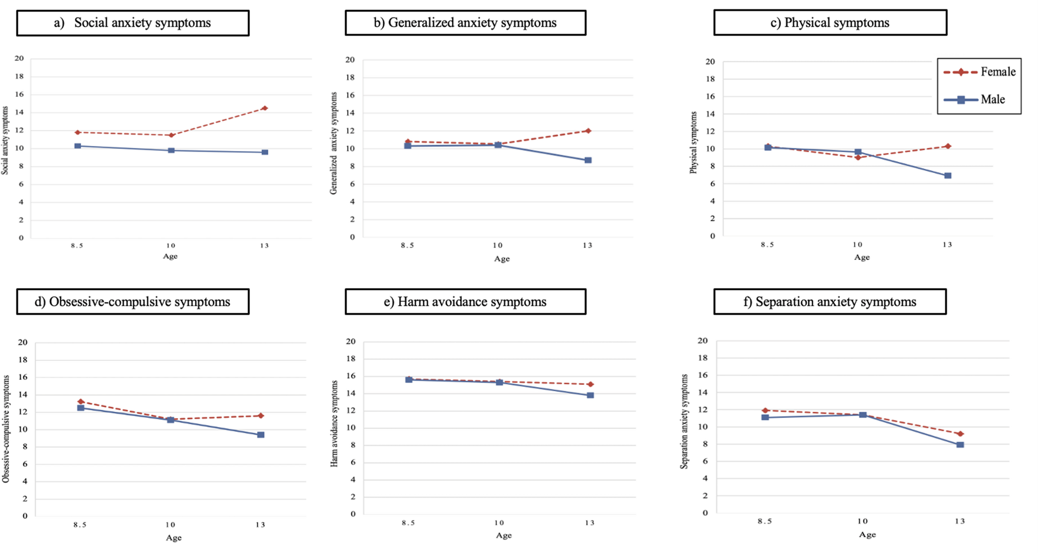
In null models without predictors, intraclass correlations (ICCs) of each anxiety dimension ranged from 0.27 to 0.33, which indicated that substantial variation in anxiety symptoms was explained by between-person differences while the remaining variance was attributable to within-person change. This supported the appropriateness of mixed effects models which clustered anxiety scores at each timepoint within individual children. Following this, unconditional mixed effects models were specified for each dimension of anxiety, with initial anxiety levels and rates of change allowed to vary across children (i.e., age as a random effect). At age 8.5 years, initial anxiety scores were 11.04, 10.57, 10.15, 12.86, 15.65, and 11.55 for social anxiety, generalized anxiety, physical, obsessive-compulsive, harm avoidance, and separation anxiety symptoms, respectively (ps < 0.001). Social anxiety symptoms had an estimated yearly increase of \(\:b\) \(\:=\:\)0.24 (SE = 0.10, 95% CI [0.05, 0.43]), while physical, obsessive-compulsive, harm avoidance, and separation anxiety symptoms showed an estimated yearly decline of −.7\(\:b=\:\)6 to − 0.29. Only the random slope for generalized anxiety symptoms across ages was nonsignificant (\(\:b\) = − 0.09, SE = 0.08, 95% CI [−0.24, 0.07]). For each anxiety subtype, we found significant between-person variance in both initial symptom levels and slopes of longitudinal change. See Table 2 for details of between-person and within-person variance in intercepts and random slopes for each anxiety subtype. Thereafter, Child Sex*Age interaction terms were included and emerged significant in predicting all corresponding random slopes of anxiety symptoms across ages except for separation anxiety. However, initial levels of all anxiety subtypes did not differ by child sex. Figure 1 depicts the trajectories of anxiety symptoms in boys and girls, across dimensions of (a) social anxiety, (b) generalized anxiety, (c) physical, (d) obsessive-compulsive, (e) harm avoidance, and (f) separation anxiety symptoms. Social anxiety symptoms increased more quickly for girls than boys (\(\:b\)sex*age= 0.79, SE = 0.19, 95% CI [0.42, 1.17]); obsessive-compulsive (\(\:b\)sex*age = 0.41, SE = 0.19, 95% CI [0.04, 0.78]) and harm avoidance (\(\:b\)sex*age = 0.28, SE = 0.14, 95% CI [0.01, 0.54]) declined more slowly for girls than boys. In addition, girls showed an increase in generalized anxiety (\(\:b\)sex*age = 0.74, SE = 0.16, 95% CI [0.43, 1.04]) and physical symptoms (\(\:b\)sex*age = 0.85, SE = 0.19, 95% CI [0.48, 1.23]) with age, while boys showed a decline in symptoms.
Table 2
Estimated coefficients and confidence intervals from mixed effects models of anxiety subtypes from 8.5 to 13 years (n = 547)
 
Social anxiety symptoms
Generalized anxiety
Physical symptoms
Obsessive-compulsive symptoms
Harm avoidance
Separation anxiety
Mean estimates
Estimate [95% CI]
Intercept
10.622***
[10.028, 11.217]
10.562***
[10.086, 11.037]
9.956***
[9.377, 10.534]
12.377***
[11.792, 12.961]
15.711***
[15.276, 16.146]
12.025***
[11.549, 12.502]
Age1
0.238**
[0.049, 0.426]
− 0.087
[−0.243, 0.070]
− 0.340***
[−0.531, − 0.150]
− 0.480***
[−0.664, − 0.296]
− 0.288***
[−0.420, − 0.156]
− 0.763***
[−0.900, − 0.626]
Child sex2*Age interaction
0.794***
[0.421, 1.168]
0.736***
[0.429, 1.044])
0.852***
[0.477, 1.227])
0.412*
[0.043, 0.781])
0.276*
[0.012, 0.540])
0.148
[−0.126, 0.423]
Variance
Estimate [95% CI]
Intercept
13.934***
[7.296, 20.572]
9.626***
[5.055, 14.197]
15.384***
[8.935, 21.833]
13.103***
[6.347, 19.860]
9.463***
[5.585, 13.341]
11.970***
[7.862, 16.079]
Age (slope)
0.920*
[0.172, 1.669]
0.920***
[0.367, 1.473]
1.530***
[0.685, 2.375]
0.837*
[0.080, 1.595]
0.579**
[0.198, 0.960]
0.457*
[0.011, 0.903]
Residual (within-child)
27.228***
[22.320, 32.136]
16.526***
[13.224, 19.829]
22.798***
[18.077, 27.519]
26.795***
[22.204, 31.385]
12.280***
[9.830, 14.730]
14.223***
[11.585, 16.861]
Note. 1Child’s age centered at mean value. 2Child sex coded as 0 = male (reference group), 1 = female. *p <.05, **p <.01, ***p <.001
Fig. 1
Trajectories of anxiety symptoms from ages 8.5 to 13 years: a) social anxiety; b) generalized anxiety; c) physical, d) obsessive-compulsive, e) harm avoidance, and f) separation anxiety symptoms
Afbeelding vergroten

Associations Between Early Predictors and Anxiety Trajectories

Children whose parents granted them greater autonomy-support showed a lower rate of increase in social anxiety symptoms, with a relatively small effect size (\(\:b\) = − 0.29, SE = 0.11, 95% CI [−0.49, − 0.08]) (Ferguson, 2009). Other predictors associated with age-related change in anxiety subtypes included maternal symptoms of anxiety and stress. Specifically, early maternal anxiety was associated with small increases in generalized anxiety symptoms (\(\:b\) = 0.03, SE = 0.01, 95% CI [0.01, 0.06]), physical symptoms\(\:\:(b\:=\) 0.03, SE = 0.01, 95% CI [0.01, 0.05]), and obsessive-compulsive symptoms \(\:(b\) = 0.04, SE = 0.01, 95% CI [0.01, 0.07]). Similarly, maternal stress was associated with small increases in physical symptoms (\(\:b\) = 0.02, SE = 0.01, 95% CI [0.01, 0.03]) across ages (see Tables S4 and S5 in Supplementary Material for full unstandardized estimates and full standardized estimates, respectively). Additional sensitivity analyses were also conducted adjusting for depressive symptoms as a time-varying covariate (see Supplement A and Table S6 in Supplementary Material for details). In ancillary analyses, interaction effects between child sex and caregiving factors largely did not predict changes in anxiety symptoms (see Table S7 in Supplementary Material for details).

Discussion

The present study expands our understanding of how different anxiety symptoms develop from mid-childhood to early adolescence. On average, social anxiety symptoms increased with age whereas physical, obsessive-compulsive, harm avoidance, and separation anxiety symptoms declined. Girls, compared to boys, exhibited a more rapid increase in social anxiety symptoms and a slower decline in obsessive-compulsive and harm avoidance symptoms with age. Parental autonomy support was associated with age-related decrease, while maternal anxiety and stress were associated with age-related increase, for several subtypes of anxiety symptoms. Our findings elucidate common trajectories of anxiety subtypes from middle childhood to early adolescence and highlight variations by child sex and caregiving factors.
Social anxiety symptoms showed an increase with age, with a higher rate of increase in girls than boys. This corroborates previous work identifying the transition from childhood to adolescence as especially vulnerable for the emergence of social anxiety symptoms (Lijster et al., 2017), and demonstrating increasing or stable-high courses of social anxiety symptoms in community samples followed from childhood to adolescence (Broeren et al., 2013). In Singapore, children transition from primary to secondary school around the ages of 12 to 13 years, a period marked by social-affective and cognitive changes including heightened importance of peer relationships, increased concerns about peer evaluations, and socially-linked developments in self-concept (Rapee et al., 2019, 2022). These social-affective developments may elevate vulnerability to social anxiety symptoms, especially among girls who experience relatively earlier pubertal onset and maturation compared to boys (Dorn et al., 2006). In tandem with developmental transitions, earlier pubertal maturation confers an elevated risk for social anxiety symptoms partly through mechanisms that may more profoundly affect girls, such as greater self-consciousness (Silk et al., 2012), increased emotional reactivity (Alloy et al., 2016), and greater peer adversity (Compian et al., 2009). Altogether, these findings point to the childhood-to-adolescence period as a critical phase for tracking social anxiety symptoms across ages, particularly in girls who may be more adversely affected by socioemotional challenges related to puberty.
In contrast, obsessive-compulsive and harm avoidance symptoms declined with age, with a higher rate of decline for boys than girls. In addition, the direction of the slopes of generalized anxiety and physical symptoms differed by child sex; in girls symptoms increased with age, in boys symptoms decreased with age. Developmental maturations in cognitive control can strengthen children’s ability to disengage attentional focus from threat stimuli, which may be important for challenging unwanted cognitions or fears central to obsessive-compulsive or harm avoidance symptoms (Hallion et al., 2017). We also note more persistent trajectories of symptoms among girls across obsessive-compulsive, harm avoidance, generalized anxiety, and physical anxiety subtypes. This extends prior longitudinal evidence that boys experience stronger declines in various subtypes of anxiety symptoms (i.e., generalized anxiety, panic disorder, obsessive-compulsive symptoms) from early to late adolescence (Hale et al., 2008). Further empirical work is needed to understand the declining, sex-specific trajectories of obsessive-compulsive, and harm avoidance symptoms, which contrast with the rising trajectories of social anxiety symptoms.
Regarding caregiving-related influences, parental autonomy support may serve as a protective factor that buffered against increasing social anxiety problems with age. In line with etiological and maintenance models of social anxiety (Rapee et al., 2019), this suggests that encouraging children’s autonomy facilitates their social confidence in novel situations, potentially attenuating social anxieties. We note that parental encouragement of children’s autonomy has not been consistently related to children’s socioemotional functioning in Chinese samples, potentially because such practices may not be viewed as expressions of parental care in collectivistic societies that value familial interdependence (see Gao et al., 2021). Our finding suggests that in the multi-ethnic context of Singapore in which parents likely embody both interdependence-oriented and independence-oriented socialization goals, parents’ encouragement of autonomy may facilitate children’s socioemotional functioning by attenuating the development of social anxiety symptoms.
Early maternal anxiety and stress were associated with increasing trajectories of generalized anxiety, physical, and obsessive-compulsive symptoms. The association between maternal anxiety and child anxiety symptoms may, in part, be driven by shared genetic factors, with twin studies demonstrating moderate heritability of anxiety symptoms in middle to late childhood (48% – 67% heritability; Trzaskowski et al., 2012). Genetically-informed studies further highlight the role of environmental influences in the intergenerational transmission of anxiety (e.g., Ahmadzadeh et al., 2019). Maternal anxiety may be transmitted to their children through vicarious fear learning (i.e., maternal modeling of anxiety; Burstein & Ginsburg, 2010) or the use of excessively protective or controlling parenting practices (Borelli et al., 2015). Our findings extend previous evidence that early adolescents exposed to greater maternal anxiety have a greater increase in internalizing symptoms across puberty (Havewala et al., 2019), as well as longitudinal evidence that maternal parenting stress explains the development of child anxiety symptoms in adolescence (e.g., Daundasekara et al., 2021). Considering emerging evidence that maternal and paternal anxiety may play unique roles in explaining children’s anxiety levels (Ahmadzadeh et al., 2019), it is important that future research examines both mothers’ and fathers’ mental health in relation to developmental courses of anxiety problems from childhood to adolescence. In addition, further research is needed to understand specific genetic and environmental mechanisms that operate in tandem (e.g., gene-environment correlations) to explain the transmission of anxiety symptoms from parents to their children, especially in late childhood to early adolescence.

Limitations and Future Directions

The current study provides novel insights into the developmental courses of subtype-specific anxiety symptoms during a critical transitional period, while considering sex differences and early caregiving-related factors. Additional strengths include the multi-ethnic, East Asian cohort comprising both girls and boys, our longitudinal design leveraging repeated measures of anxiety symptoms, a cross-informant approach that accounted for early factors of parenting practices and maternal mental health, and the application of mixed effects modeling to better understand sex differences in the developmental course of anxiety symptoms. Nonetheless, our findings should be considered in light of key limitations. First, our longitudinal model encompasses a relatively small age span (i.e., 5 years) across three measurement waves. Hence, we note that differences in trajectories of anxiety symptoms, including sex-specific trajectories, were driven by levels of anxiety symptoms at age 13. This precluded investigating how specific forms of anxiety symptoms may progress over a longer window (e.g., early childhood to late adolescence). Future studies would benefit from including more measurement waves, as well as longer follow-up intervals, to elucidate longer-term anxiety symptom trajectories. Second, our sample predominantly comprised Chinese, Malay, and Indian mother-child dyads from nuclear families with married parents. As this could limit the generalizability of our findings to other populations, future research is needed to explore developmental trajectories of anxiety subtypes and their associations with early caregiving factors in other ethnic groups, countries, high-risk or clinical samples to verify the applicability of our findings. Finally, the validity of the BPI coding system may be limited by potential subjectivity in rater’s coding and the forced-choice format. The coding of responses may be biased by aspects of children’s personality and temperament (e.g., extroversion) that influence their perceptions of parental behavior as well as their responses to BPI items. Additionally, the BPI’s forced-choice format, which presents children with two opposing statements, may restrict the measurement of children’s perceptions by oversimplifying parent-child dynamics. It would be beneficial to incorporate additional data sources, such as parent-reports or behavioral observations of parent-child interactions, when examining parenting practices in relation to children’s socioemotional outcomes.

Conclusion

This population-based longitudinal study examined sex-specific developmental trajectories of anxiety subtypes from middle childhood to early adolescence and identified early caregiving-related factors associated with the progression of symptoms. The transition from childhood to early adolescence was identified as a critical developmental window when social anxiety symptoms are especially vulnerable to emergence and escalation, particularly among girls. This highlights the need for targeted school- or community-based screening programs that identify early signs of social anxiety in this age period, to prevent and intervene chronic emotional risks. Additionally, early caregiving factors, at as early as 6 years of age, may lay the foundation for the development of anxiety symptoms into adolescence. Our results reveal that, in early childhood, autonomy-supportive parenting may serve as an attenuating factor, while maternal anxiety and stress serve as risk factors, for the later progression of various anxiety symptoms. The early childhood years might therefore be an important age for preventive and intervention efforts. Key targets of family-centered interventions include promoting children’s social confidence and problem-solving skills, whilst supporting maternal mental health in the early years. Future research should expand on these findings using longer-term follow-up assessments, and investigate the impact of preventive interventions on developmental trajectories of anxiety symptoms into adolescence and beyond.

Declarations

Ethics Approval

The study was approved by the National Healthcare Group Domain Specific Review Board (D/2014/00414), the SingHealth Centralised Institutional Review Board, (2018/2767/D), and the A*STAR Review Board (2020-011).

Competing Interests

The authors have no competing interests to declare.
Open Access This article is licensed under a Creative Commons Attribution-NonCommercial-NoDerivatives 4.0 International License, which permits any non-commercial use, sharing, distribution and reproduction in any medium or format, as long as you give appropriate credit to the original author(s) and the source, provide a link to the Creative Commons licence, and indicate if you modified the licensed material. You do not have permission under this licence to share adapted material derived from this article or parts of it. The images or other third party material in this article are included in the article’s Creative Commons licence, unless indicated otherwise in a credit line to the material. If material is not included in the article’s Creative Commons licence and your intended use is not permitted by statutory regulation or exceeds the permitted use, you will need to obtain permission directly from the copyright holder. To view a copy of this licence, visit http://creativecommons.org/licenses/by-nc-nd/4.0/.

Publisher’s Note

Springer Nature remains neutral with regard to jurisdictional claims in published maps and institutional affiliations.
Titel
Developmental Trajectories of Anxiety Subtypes from Childhood to Early Adolescence: the Role of Parenting Practices and Maternal Distress
Auteurs
Germaine Y.Q. Tng
Evelyn C. Law
Helen Y. Chen
Ranjani Nadarajan
Johan Gunnar Eriksson
Yap Seng Chong
Henning Tiemeier
Peipei Setoh
Publicatiedatum
30-08-2025
Uitgeverij
Springer US
Gepubliceerd in
Research on Child and Adolescent Psychopathology / Uitgave 11/2025
Print ISSN: 2730-7166
Elektronisch ISSN: 2730-7174
DOI
https://doi.org/10.1007/s10802-025-01364-4

Supplementary Information

Below is the link to the electronic supplementary material.
1
There are varying definitions for adolescence, most commonly defined as age 10–19 years (WHO, 2015) or, more recently, age 10–24 years (Sawyer et al., 2018).
 
go back to reference Abidin, R. R. (1995). Parenting Stress Index (3rd ed.). Psychological Assessment Resources.
go back to reference Ablow, J. C., Measelle, J. R., the MacArthur Working Group on Outeome Assessment. (2003). Manual for the Berkeley Puppet Inter- view: Symptomatology, social, and academic modules (BPI 1.0). University of Pittsburgh.
go back to reference Ahlen, J., & Ghaderi, A. (2019). Dimension-specific symptom patterns in trajectories of broad anxiety: A longitudinal prospective study in school-aged children. Development and Psychopathology, 32(1), 31–41. https://doi.org/10.1017/s0954579418001384CrossRef
go back to reference Ahmadzadeh, Y. I., Eley, T. C., Leve, L. D., Shaw, D. S., Natsuaki, M. N., Reiss, D., Neiderhiser, J. M., & McAdams, T. A. (2019). Anxiety in the family: A genetically informed analysis of transactional associations between mother, father and child anxiety symptoms. Journal of Child Psychology and Psychiatry, 60(12), 1269–1277. https://doi.org/10.1111/jcpp.13068CrossRefPubMed
go back to reference Ainsworth, M. S. (1979). Infant-mother attachment. American Psychologist, 34(10), 932–937. https://doi.org/10.1037/0003-066x.34.10.932CrossRefPubMed
go back to reference Alloy, L. B., Hamilton, J. L., Hamlat, E. J., & Abramson, L. Y. (2016). Pubertal development, emotion regulatory styles, and the emergence of sex differences in internalizing disorders and symptoms in adolescence. Clinical Psychological Science, 4(5), 867–881. https://doi.org/10.1177/2167702616643008CrossRefPubMedPubMedCentral
go back to reference Bailey, N. A., Irwin, J. L., Davis, E. P., Sandman, C. A., & Glynn, L. M. (2021). Patterns of maternal distress from pregnancy through childhood predict psychopathology during early adolescence. Child Psychiatry and Human Development,54(2), 470–480. https://doi.org/10.1007/s10578-021-01259-7CrossRefPubMedPubMedCentral
go back to reference Beck, A. T., Steer, R. A., Ball, R., & Ranieri, W. F. (1996). Comparison of Beck depression inventories-IA and-II in psychiatric outpatients. Journal of Personality Assessment,67(3), 588–597. https://doi.org/10.1207/s15327752jpa6703_13CrossRefPubMed
go back to reference Beesdo-Baum, K., & Knappe, S. (2012). Developmental epidemiology of anxiety disorders. Child and Adolescent Psychiatric Clinics of North America,21(3), 457–478. https://doi.org/10.1016/j.chc.2012.05.001CrossRefPubMed
go back to reference Bollen, K. A. (1989). Structural equations with latent variables. Wiley.CrossRef
go back to reference Borelli, J. L., Margolin, G., & Rasmussen, H. F. (2015). Parental overcontrol as a mechanism explaining the longitudinal association between parent and child anxiety. Journal of Child and Family Studies, 24(6), 1559–1574. https://doi.org/10.1007/s10826-014-9960-1CrossRef
go back to reference Bornstein, M. H. (2012). Cultural approaches to parenting. Parenting,12(2–3), 212–221. https://doi.org/10.1080/15295192.2012.683359CrossRefPubMed
go back to reference Broeren, S., Muris, P., Diamantopoulou, S., & Baker, J. R. (2013). The course of childhood anxiety symptoms: Developmental trajectories and child-related factors in normal children. Journal of Abnormal Child Psychology, 41, 81–95. https://doi.org/10.1007/s10802-012-9669-9CrossRefPubMed
go back to reference Bronfenbrenner, U. (1979). The ecology of human development: Experiments by nature and design. Harvard University Press.CrossRef
go back to reference Burstein, M., & Ginsburg, G. S. (2010). The effect of parental modeling of anxious behaviors and cognitions in school-aged children: An experimental pilot study. Behaviour Research and Therapy, 48(6), 506–515. https://doi.org/10.1016/j.brat.2010.02.006CrossRefPubMedPubMedCentral
go back to reference Cai, S., Pang, W. W., Low, Y. L., & Rifkin-Graboi, A. (2015). Infant feeding effects on early neurocognitive development in Asian children. The American Journal of Clinical Nutrition, 101(2), 326–336. https://doi.org/10.3945/ajcn.114.095414CrossRefPubMed
go back to reference Chan, S. S. M., Wong, O. W. H., Hussain, S., & Leung, P. W. L. (2025). Twelve-month prevalence of DSM-5 mental disorders and the psychosocial correlates- a child and adolescent psychiatric epidemiologic survey in Hong Kong SAR. The Lancet Regional Health,57, Article 101533. https://doi.org/10.1016/j.lanwpc.2025.101533CrossRefPubMedPubMedCentral
go back to reference Cheung, H. S., & Lim, E. (2022). A scoping review of Singapore parenting: Culture-general and culture‐specific functions of parenting styles and practices. Infant and Child Development. https://doi.org/10.1002/icd.2312CrossRef
go back to reference Compian, L. J., Gowen, L. K., & Hayward, C. (2009). The interactive effects of puberty and peer victimization on weight concerns and depression symptoms among early adolescent girls. The Journal of Early Adolescence, 29(3), 357–375. https://doi.org/10.1177/0272431608323656CrossRef
go back to reference Daundasekara, S. S., Beauchamp, J. E. S., & Hernandez, D. C. (2021). Parenting stress mediates the longitudinal effect of maternal depression on child anxiety/depressive symptoms. Journal of Affective Disorders, 295, 33–39. https://doi.org/10.1016/j.jad.2021.08.002CrossRefPubMed
go back to reference de Lijster, J. M., van den Dries, M. A., van der Ende, J., Utens, E. M. W. J., Jaddoe, V. W., Dieleman, G. C., Hillegers, M. H. J., Tiemeier, H., & Legerstee, J. S. (2019). Developmental trajectories of anxiety and depression symptoms from early to middle childhood: A population-based cohort study in the Netherlands. Journal of Abnormal Child Psychology,47(11), 1785–1798. https://doi.org/10.1007/s10802-019-00550-5CrossRefPubMedPubMedCentral
go back to reference Dorn, L. D., Dahl, R. E., Woodward, H. R., & Biro, F. (2006). Defining the boundaries of early adolescence: A user’s guide to assessing pubertal status and pubertal timing in research with adolescents. Applied Developmental Science,10(1), 30–56. https://doi.org/10.1207/s1532480xads1001_3CrossRef
go back to reference Ferguson, C. J. (2009). An effect size primer: A guide for clinicians and researchers. Professional Psychology, Research and Practice,40(5), 532–538. https://doi.org/10.1037/a0015808CrossRef
go back to reference Gao, D., Liu, J., Bullock, A., & Chen, X. (2021). Children’s interpretation moderates relations of maternal autonomy support with sociability and assertiveness in China. Social Development,30(2), 449–462. https://doi.org/10.1111/sode.12491CrossRef
go back to reference Gao, D., Liu, J., Xu, L., Mesman, J., & van Geel, M. (2022). Early adolescent social anxiety: Differential associations for fathers’ and mothers’ psychologically controlling and autonomy-supportive parenting. Journal of Youth and Adolescence,51(9), 1858–1871. https://doi.org/10.1007/s10964-022-01636-yCrossRefPubMed
go back to reference Hale, W. W., Raaijmakers, Q., Muris, P., van Hoof, A., & Meeus, W. (2008). Developmental trajectories of adolescent anxiety disorder symptoms: A 5-year prospective community study. Journal of the American Academy of Child and Adolescent Psychiatry,47(5), 556–564. https://doi.org/10.1097/chi.0b013e3181676583CrossRefPubMed
go back to reference Hallion, L. S., Tolin, D. F., Assaf, M., Goethe, J., & Diefenbach, G. J. (2017). Cognitive control in generalized anxiety disorder: Relation of inhibition impairments to worry and anxiety severity. Cognitive Therapy and Research,41(4), 610–618. https://doi.org/10.1007/s10608-017-9832-2CrossRef
go back to reference Havewala, M., Felton, J. W., & Lejuez, C. W. (2019). Friendship quality moderates the relation between maternal anxiety and trajectories of adolescent internalizing symptoms. Journal of Psychopathology and Behavioral Assessment, 41, 495–506. https://doi.org/10.1007/s10862-019-09742-1CrossRefPubMedPubMedCentral
go back to reference Jagannathan, N., Ginger, E. J., Yu, M., Chasson, G. S., & Leventhal, A. M. (2024). A prospective longitudinal investigation of the trajectory of obsessive-compulsive symptoms during adolescence. Psychiatry Research, 341, Article 116155. https://doi.org/10.1016/j.psychres.2024.116155CrossRefPubMed
go back to reference Kessler, R. C., Petukhova, M., Sampson, N. A., Zaslavsky, A. M., & Wittchen, H. U. (2012). Twelve-month and lifetime prevalence and lifetime morbid risk of anxiety and mood disorders in the United States. International Journal of Methods in Psychiatric Research,21(3), 169–184. https://doi.org/10.1002/mpr.1359CrossRefPubMedPubMedCentral
go back to reference Liang, Y., Huebner, E. S., & Tian, L. (2022). Joint trajectories of loneliness, depressive symptoms, and social anxiety from middle childhood to early adolescence: Associations with suicidal ideation. European Child & Adolescent Psychiatry, 32(9), 1733–1744. https://doi.org/10.1007/s00787-022-01993-wCrossRef
go back to reference Lijster, J. M. D., Dierckx, B., Utens, E. M., Verhulst, F. C., Zieldorff, C., Dieleman, G. C., & Legerstee, J. S. (2017). The age of onset of anxiety disorders: A meta-analysis. The Canadian Journal of Psychiatry, 62(4), 237–246. https://doi.org/10.1177/0706743716640757CrossRefPubMed
go back to reference Little, R. J. A. (1988). A test of missing completely at random for multivariate data with missing values. Journal Of The American Statistical Association,83, 1198–1202. https://doi.org/10.1080/01621459.1988.10478722CrossRef
go back to reference LoParo, D., Fonseca, A. C., Matos, A. P. M., & Craighead, W. E. (2024). Anxiety and depression from childhood to young adulthood: Trajectories and risk factors. Child Psychiatry and Human Development, 55(1), 127–136. https://doi.org/10.1007/s10578-022-01391-yCrossRefPubMed
go back to reference Marçal, K. E. (2020). Demographic and socioeconomic predictors of behavioral trajectories from age 3 to 15: A longitudinal mixed effects approach. Journal of Child and Family Studies, 29(7), 1818–1832. https://doi.org/10.1007/s10826-020-01710-8CrossRef
go back to reference March (2013). The Multidimensional Anxiety Scale for Children 2nd Edition™ (MASC 2™). Multi-Health Systems, Inc. (MHS). https://storefront.mhs.com/collections/masc-2
go back to reference Matte-Gagné, C., Harvey, B., Stack, D. M., & Serbin, L. A. (2015). Contextual specificity in the relationship between maternal autonomy support and children’s socio-emotional development: A longitudinal study from preschool to preadolescence. Journal of Youth and Adolescence,44(8), 1528–1541. https://doi.org/10.1007/s10964-014-0247-zCrossRefPubMed
go back to reference McLaughlin, K. A., & King, K. (2015). Developmental trajectories of anxiety and depression in early adolescence. Journal of Abnormal Child Psychology, 43(2), 311–323. https://doi.org/10.1007/s10802-014-9898-1CrossRefPubMedPubMedCentral
go back to reference Measelle, J. R., Ablow, J. C., Cowan, P. A., & Cowan, C. P. (1998). Assessing young children’s views of their academic, social, and emotional lives: An evaluation of the self-perception scales of the Berkeley puppet interview. Child Development,69(6), 1556–1576. https://doi.org/10.1111/j.1467-8624.1998.tb06177.xCrossRefPubMed
go back to reference Morales-Muñoz, I., Mallikarjun, P. K., Chandan, J. S., Thayakaran, R., Up thegrove, R., & Marwaha, S. (2023). Impact of anxiety and depression across childhood and adolescence on adverse outcomes in young adulthood: A UK birth cohort study. British Journal of Psychiatry. https://doi.org/10.1192/bjp.2023.23CrossRef
go back to reference Murray, A. L., Ushakova, A., Speyer, L., Brown, R., Auyeung, B., & Zhu, X. (2021). Sex/gender differences in individual and joint trajectories of common mental health symptoms in early to middle adolescence. JCPP Advances. https://doi.org/10.1002/jcv2.12057CrossRefPubMedPubMedCentral
go back to reference Nelemans, S. A., Hale, W. W., Branje, S. J. T., Raaijmakers, Q. A. W., Frijns, T., van Lier, P. A. C., & Meeus, W. H. J. (2013). Heterogeneity in development of adolescent anxiety disorder symptoms in an 8-year longitudinal community study. Development and Psychopathology, 26(1), 181–202. https://doi.org/10.1017/s0954579413000503CrossRefPubMed
go back to reference Ochi, M., Fujiwara, T., Mizuki, R., Kawakami, N., World Mental Health Japan Survey Group. (2014). Association of socioeconomic status in childhood with major depression and generalized anxiety disorder: Results from the World Mental Health Japan survey 2002–2006. BMC Public Health,14, 1–8. https://doi.org/10.1186/1471-2458-14-359CrossRef
go back to reference Ohannessian, C. M., Milan, S., & Vannucci, A. (2017). Gender differences in anxiety trajectories from middle to late adolescence. Journal of Youth and Adolescence, 46(4), 826–839. https://doi.org/10.1007/s10964-016-0619-7CrossRefPubMed
go back to reference Okwori, G. (2022). Prevalence and correlates of mental health disorders among children & adolescents. Children and Youth Services Review, 136, Article 106441. https://doi.org/10.1016/j.childyouth.2022.106441CrossRef
go back to reference Racine, N., McArthur, B. A., Cooke, J. E., Eirich, R., Zhu, J., & Madigan, S. (2021). Global prevalence of depressive and anxiety symptoms in children and adolescents during COVID-19: A meta-analysis. JAMA Pediatrics, 175(11), 1142–1150. https://doi.org/10.1001/jamapediatrics.2021.2482
go back to reference Rapee, R. M., Oar, E. L., Johnco, C. J., Forbes, M. K., Fardouly, J., Magson, N. R., & Richardson, C. E. (2019). Adolescent development and risk for the onset of social-emotional disorders: A review and conceptual model. Behaviour Research and Therapy, 123, 103501. https://doi.org/10.1016/j.brat.2019.103501CrossRefPubMed
go back to reference Rapee, R. M., Magson, N. R., Forbes, M. K., Richardson, C. E., Johnco, C. J., Oar, E. L., & Fardouly, J. (2022). Risk for social anxiety in early adolescence: Longitudinal impact of pubertal development, appearance comparisons, and peer connections. Behaviour Research and Therapy, 154, Article 104126. https://doi.org/10.1016/j.brat.2022.104126CrossRefPubMed
go back to reference Sawyer, S. M., Azzopardi, P. S., Wickremarathne, D., & Patton, G. C. (2018). The age of adolescence. The Lancet Child & Adolescent Health,2(3), 223–228. https://doi.org/10.1016/s2352-4642(18)30022-1CrossRef
go back to reference Sebastian, C., Burnett, S., & Blakemore, S. J. (2008). Development of the self-concept during adolescence. Trends in Cognitive Sciences, 12(11), 441–446. https://doi.org/10.1016/j.tics.2008.07.008CrossRefPubMed
go back to reference Silk, J. S., Stroud, L. R., Siegle, G. J., Dahl, R. E., Lee, K. H., & Nelson, E. E. (2012). Peer acceptance and rejection through the eyes of youth: Pupillary, eyetracking and ecological data from the chatroom interact task. Social Cognitive and Affective Neuroscience,7(1), Article nsr044. https://doi.org/10.1093/scan/nsr044CrossRef
go back to reference Sim, J. B. Y., & Tham, P. H. H. (2025). Demystifying character education for the Singapore context. Journal of Moral Education, 54(2), 203–219. https://doi.org/10.1080/03057240.2023.2260957CrossRef
go back to reference Sirois, M. S., & Bernier, A. (2018). Mother–child relationships and children’s psychosocial functioning: The specific roles of attachment security and maternal behavior. Parenting,18(3), 172–189. https://doi.org/10.1080/15295192.2018.1465305CrossRef
go back to reference Soh, S. E., Tint, M. T., Gluckman, P. D., Godfrey, K. M., Rifkin-Graboi, A., Chan, Y. H., & GUSTO Study Group. (2014). Cohort profile: Growing up in Singapore towards healthy outcomes (GUSTO) birth cohort study. International Journal of Epidemiology, 43(5), 1401–1409. https://doi.org/10.1093/ije/dyt125CrossRefPubMed
go back to reference Sowislo, J. F., & Orth, U. (2013). Does low self-esteem predict depression and anxiety? A meta-analysis of longitudinal studies. Psychological Bulletin, 139(1), 213–240. https://doi.org/10.1037/a0028931CrossRefPubMed
go back to reference Spielberger, C. D. (1983). Manual for the State-Trait Anxiety Inventory STAI (Form Y). Consulting Psychologists.
go back to reference Steinsbekk, S., Ranum, B., & Wichstrøm, L. (2022). Prevalence and course of anxiety disorders and symptoms from preschool to adolescence: A 6-wave community study. Journal of Child Psychology and Psychiatry, 63(5), 527–534. https://doi.org/10.1111/jcpp.13487CrossRefPubMed
go back to reference Trzaskowski, M., Zavos, H. M. S., Haworth, C. M. A., Plomin, R., & Eley, T. C. (2012). Stable genetic influence on anxiety-related behaviours across middle childhood. Journal Of Abnormal Child Psychology,40(1), 85–94. https://doi.org/10.1007/s10802-011-9545-zCrossRefPubMed
go back to reference Tseliou, F., Riglin, L., Thapar, A. K., Heron, J., Dennison, C. A., Armitage, J. M., Thapar, A., Rice, F., & Collishaw, S. (2024). Childhood correlates and young adult outcomes of trajectories of emotional problems from childhood to adolescence. Psychological Medicine, 54(10), 2504–2514. https://doi.org/10.1017/s0033291724000631CrossRefPubMed
go back to reference Vivan, A., de Rodrigues, S., Wendt, L., Bicca, G., Braga, M. G., D. T., & Cordioli, A. V. (2014). Obsessive-compulsive symptoms and obsessive-compulsive disorder in adolescents: A population-based study. Revista Brasileira De Psiquiatria, 36(2), 111–118. https://doi.org/10.1590/1516-4446-2013-1113CrossRefPubMed
go back to reference Westenberg, P. M., Gullone, E., Bokhorst, C. L., Heyne, D. A., & King, N. J. (2007). Social evaluation fear in childhood and adolescence: Normative developmental course and continuity of individual differences. British Journal of Developmental Psychology, 25(3), 471–483. https://doi.org/10.1348/026151006X173099CrossRef
go back to reference WHO. (2015). The global strategy for women’s, children’s, and adolescents’ health (2016–30). http://www.who.int/life-course/partners/global-strategy/ewec-globalstrategyreport-200915.pdf?ua=1. Accessed 20 Mar 2024.
go back to reference Wong, J. C. M., Lei, N. C. L., Kom, D. M. Y., & Fee, … Verhulst, F. (2024). Youth epidemiology and resilience (YEAR) in a student population: Prevalence and predictors of mental health symptoms. Frontiers in Psychiatry, 15. https://doi.org/10.3389/fpsyt.2024.1454484
go back to reference Xu, X., Huebner, E. S., & Tian, L. (2021). Co-developmental trajectories of specific anxiety symptoms from middle childhood to early adolescence: Associations with psychological well-being and academic achievement. Journal of Youth and Adolescence,50(6), 1140–1156. https://doi.org/10.1007/s10964-021-01411-5CrossRefPubMed