Ga naar de hoofdinhoud
Top

Brief Report: Question-Asking and Collateral Language Acquisition in Children with Autism

  • Open Access
  • 01-04-2010
  • Brief Report
Gepubliceerd in:

Abstract

The literature suggests children with autism use communication primarily for requests and protests, and almost never for information-seeking. This study investigated whether teaching “Where” questions using intrinsic reinforcement procedures would produce the generalized use of the question, and whether concomitant improvements in related language structures, provided as answers to the children’s questions, would occur. In the context of a multiple baseline across participants design, data showed that the children could rapidly acquire and generalize the query, and that there were collateral improvements in the children’s use of language structures corresponding to the answers to the questions the children asked. The results are discussed in the context of teaching child initiations to improve linguistic competence in children with autism.
Lynn Kern Koegel and Robert Koegel are partners in the private firm Koegel Autism Consultants.

Introduction

The importance of questions for language learning and social interaction has long been recognized (Garvey 1975; Hart and Risley 1999; Holzman 1972; Hung 1977; Siller and Sigman 2002; Taylor and Harris 1995). In typically developing children, questions appear within a child’s first lexicon (e.g., saying/daet/while pointing) and, with frequent exposure, children become quite competent at asking questions, within proper contexts, by the preschool year (Nelson 1978; Rowland and Pine 2000; Van Valin 2002). However, the communication of children with autism primarily consists of requests and protests, with few or no questions (Wetherby and Prutting 1984), regardless of language ability (Boucheret al. 2007; Chiang and Carter 2008; Hurtig et al. 1982; Koegel et al. 1998; Murdock et al. 2007; Perkins et al. 2006; Thurm et al. 2007; Williams et al. 2003).
Consequently, a number of research studies have attempted to teach individuals with autism to use questions (Taylor and Harris 1995; Hung 1977; Koegel et al. 1994, 1998; Palmen et al. 2008; Williams et al. 2000, 2003). For example, Koegel et al. (1998) used motivational strategies (wherein the reinforcer was initially adapted to be intrinsically related to the child’s query) to teach children with autism to ask “What’s that?” The children acquired and generalized the question-asking to new persons, settings, and items. The literature suggests that such widespread generalization may have been a result of incorporating intrinsic motivational procedures (cf. Siller and Sigman 2002), since other studies that did not use intrinsic reinforcers reported difficulty with the generalized use of questions beyond the teaching setting in individuals with autism (e.g., Hung 1977).
In addition to the benefits of question-asking, in terms of social interaction and linguistic competence, research suggests that young children with autism who use more self-initiated questions have better academic and social outcomes, as they acquire a variety of questions and specific knowledge corresponding to the questions they use (Koegel et al. 1999).
In regard to the target behaviors selected for intervention in this study, “Where” questions begin to emerge before 2 years of age in typical language development, but were absent in our participants. Thus, we focused on this target, with the hope of improving the children’s use of both the grammatical structures (e.g., prepositions) and the communicative functions (a question that was not present in their repertoires) (Paul et al. 2007). Specifically, the present investigation assessed whether children with autism could be taught to use the question “Where is it?” in appropriate contexts. We also assessed whether this question would generalize to novel settings and people, and whether it would result in collateral improvement in early emerging language structures, such as prepositions, corresponding to the questions that the children asked.

Method

Participants

Three preschool children participated in this study. All received a diagnosis of autism by an outside agency and by our Center, and all exhibited symptoms consistent with the DSM IV-TR. Prior to intervention, the children’s language was assessed by (1) observations of the child, (2) a standardized parent interview (the Geselle), (3) standardized vocabulary tests; and (4) multiple language samples. Based on this combined information (observation, tests, language samples, and parent report) all three children could say over 50 words and had begun to combine words. In addition, prior to intervention, all were delayed in language structures such as their use of prepositions and none of the children asked or responded verbally to “Where?” questions. The first three children that did not demonstrate the use of the targeted question were selected for participation. In order to provide a picture of the children’s overall functioning level, standardized test data for the three children are listed in Table 1.
Table 1
Age equivalents on standardized test measures for all three children
 
Expressive vocab. (EOWPVT)
Receptive vocab. (ROWPVT)
Communication age (Geselle)
Child 1
Named 4 items
No pointing response
2;0
Child 2
2;6
3;8
3;0
Child 3
1;5
Not testable/disruptive
2;0

Child 1

Child 1 was 3;4 at the start of the study. He followed simple commands, said over 50 words, and knew several colors. Occasionally he used three word sentences with correct syntax, but generally used single words to communicate. He had not yet begun to use prepositions, nor did he ask or verbally respond to “Where?” questions.

Child 2

Child 2 was 4;8 at the start of the study. He followed two-step commands, had a vocabulary of over 200 words, knew some colors and shapes, some plurals and was able to combine words to formulate short sentences. He did not use prepositions, ordinal markers, nor did he ask or verbally respond to “Where?” questions.

Child 3

Child 3 was 3;2 at the start of the study. He followed simple one-step commands, had a functional vocabulary of over 50 words, and was observed to combine two to three words to make syntactically correct phrases to express his needs and desires. He did not ask “Where?” questions nor did he use prepositions.

Settings

Intervention was conducted on the University campus in a small clinic room containing a table, chairs, video camera, and toys. Baseline and generalization measures were collected in each child’s home or a lab on campus, set up like a living room containing toys, a sofa, large chairs and a coffee table.

Design and Procedure

Sessions were conducted in the context of a multiple baseline design across children, with baseline sessions systematically staggered. Intervention was implemented twice weekly and sessions lasted 60 min.

Baseline and Generalization

To determine whether the children asked the question “Where is it?” language samples were collected with observations made over time (see baseline). During the language samples, parts of favorite toys or common items (such as a shoe) were placed in locations unknown to the children. The parent or other adult was asked to play with the child as they usually would while attempting to elicit as much verbal communication as possible. We probed whether the child would use the targeted question by providing a context that would be likely to evoke the target question, “Where is X?” (e.g., we would ask the child to put their shoes on, when one shoe was hidden). These (approximately 1 h) sessions were videotaped and the language samples were later analyzed for whether the children used the targeted question or related language structures (Miller 1981).

Intervention

Intervention focused on teaching the children to use the question, “Where is it?” To do this, child preferred items such as small candies or toys were hidden and these objects were provided to the child as an intrinsic reinforcer related to the child’s questions. Specifically, in order to encourage the pragmatically appropriate use of the question, the desired items were hidden and the children were prompted to ask the question (i.e., “Can you say, Where is it?”). After the child asked the question, the clinician responded with the corresponding targeted language structure (e.g., on the table, under the doll, etc.), and the child could obtain the desired item from that location. Next, the verbal prompt was faded and the clinician hid the object and provided a pause for the child to ask the question. Six to eight early developing, common prepositions for Children 1, 2, and 3, and ordinal markers for Child 2, that the children did not use expressively prior to the intervention were selected to use following the child’s question (ordinal markers were added to the target list for Child 2 as he was older and at a more advanced language age). These language targets are listed in Table 2. During each intervention session, the child was repeatedly exposed to each targeted preposition/ordinal marker, ranging from two to eight times per session, depending on how many times the child asked the question.
Table 2
Targeted language structures for each child
Child 1
Child 2
Child 3
In
In
In
On
On
On
Under
Under
Under
Behind
Behind
Behind
On top
On top
In front of
Next to
Next to
Next to
In front of
In front of
 
 
Between
Far away from
Also, for child 2 the following ordinal markers were included
 First
 Second
 Third
 Last

Dependent Measures

Two dependent measures were recorded: (a) the number of unprompted “Where?” questions the child asked in each session; and (b) the number of prepositions/ordinal markers the child correctly produced. The percentage of questions the child asked without verbal prompting during each session was calculated by dividing the number of unprompted questions by unprompted plus prompted questions and multiplying by 100. In addition to the baseline probe, probes were collected prior to approximately every fifth intervention session to assess whether the child had acquired the use of the related language structures. During the probes for language structure usage, items were placed in various locations that had not been used in the intervention sessions, and then the child was asked “Where is the item?” Each probe for a language structure was presented at least twice. If the child did not answer correctly both times it was not presented again. However, if the child responded correctly, two more probe trials were presented and the child had to expressively use the correct language structure on both sets for a correct response to be scored. If the child did not use the language structure correctly during all of the probes, we continued to present the structure during the intervention sessions.

Data Recorders and Reliability

Data on question-asking were collected in vivo by the interventionist (a licensed speech/language pathologist). In addition, a pool of university students who were naïve to the experimental hypothesis, scored sessions in vivo or by videotape during 34 sessions throughout all phases of the study for question-asking, and during eight of the test probes for language structure acquisition. Videotaped sessions were scored in a random order in order to control for any possible observer drift. Reliability was calculated on a point by point basis using the formula: agreements divided by agreements plus disagreements times 100. Reliability percentages averaged 99% (range 95–100%) on the number of questions asked. Reliability on the number of correct language structures was 91.5% (range 80–100%).

Results

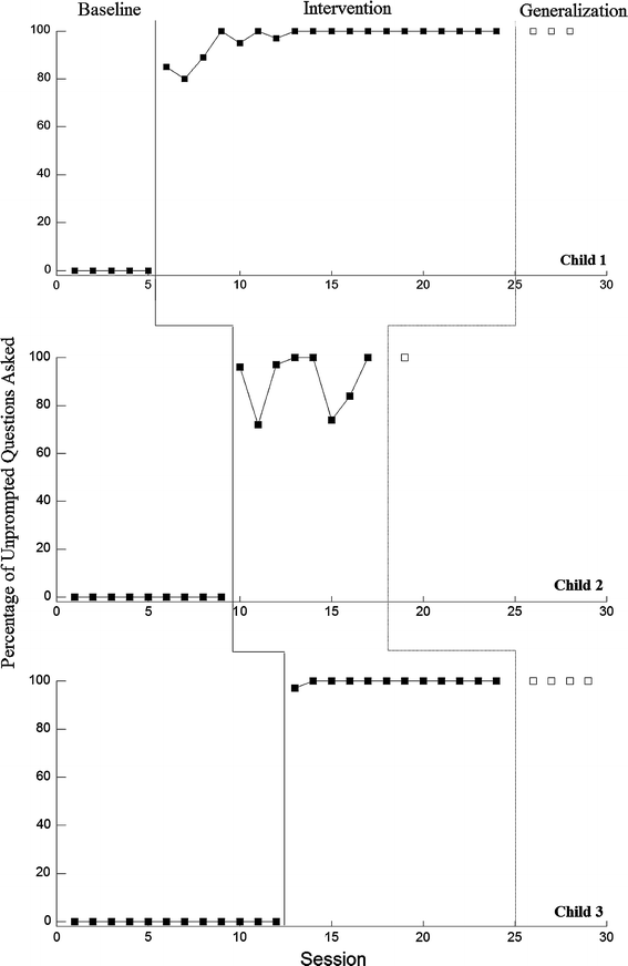
Figure 1 shows the percentage of unprompted questions asked per session. During baseline none of the children asked “Where is it?” However, following the onset of intervention a rapid increase in the use of the question occurred for all three children. The number of times the child asked “Where is it?” without prompts averaged 28 per intervention session for Child 1 (range 18–49), 40 for Child 2 (range 25–50), and 33 for Child 3 (range 23–49). This consistently high use of the question continued throughout the intervention sessions. Child 1 asked the question without prompting 85% of the time during the first intervention session and averaged 97% across intervention sessions (range = 85–100%). Child 2 also demonstrated unprompted question-asking during the first intervention session and continued to ask the question throughout the remaining sessions averaging 90% (range = 72–100%). Likewise, Child 3’s unprompted question-asking averaged 99.7% during intervention (range = 97–100%). In addition, the last data points on each graph in Fig. 1 represent the generalization of the target question during language samples with a parent at home, when opportunities were created by hiding objects then asking the child to get that object. As can be noted, for all three children generalization occurred in the home setting.
Fig. 1
The percentage of unprompted questions asked by each child in all baseline, intervention, and generalization sessions when items were hidden
Afbeelding vergroten
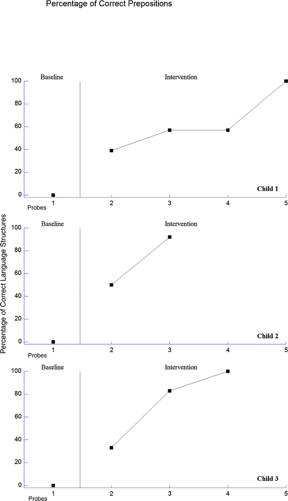
Figure 2 shows the children’s percentages of unprompted expressive use of language structures during baseline and intervention. During intervention, all children exhibited an increase in correct use of the language structures corresponding to the questions they had asked. Child 1 gradually acquired the use of prepositions, with his final point at 100% correct. Child 2’s final point was at 92% and Child 3’s final point was at 100%.
Fig. 2
The percentage of correct use of the targeted language structure for each child prior to and during intervention
Afbeelding vergroten

Discussion

Question-asking is generally absent or depressed in children with autism, but is important for communicative competence (Kaiser et al. 2001; Hurtig et al. 1982; Taylor and Harris 1995; Warren et al. 1981). The lack of varied communicative forms can interfere with relationships and limit information gained from the environment (Gertner et al. 1994; Hadley and Rice 1991; Kaiser et al. 2001; Rice et al. 1991). The present study suggests that children with autism, that lacked questions, could be taught the appropriate use of the question “Where is it?” and that the intervention led to acquisition of corresponding language structures.
One area of interest in this study relates to the generalization of question-asking in individuals with autism (Koegel et al. 1998; Taylor and Harris 1995; Hung 1977). It has been suggested that prompts and/or reinforcement for question use may not be available in more natural settings (Taylor and Harris 1995), leading to a lack of generalization. However, the intrinsic motivational procedures used in the present study may have been helpful in promoting generalization of the question. That is, previous studies that used a more structured format with picture cards and arbitrary reinforcers that were not specifically related to their questions, had limited or no generalization. However, incorporating child preferred items as rewards, directly related to their questions, may have provided consequences that were naturally “built in,” which has been shown to improve responsiveness (Koegel et al. 1998; Newman and Eyck 2005). This may have been helpful in aiding the generalization of the targeted question to the home setting. However, in this study probe data for language structure acquisition were collected in a limited context where opportunities were provided for question use. Further research assessing whether questions and targeted language structures are used under less structured conditions that may provide fewer opportunities or lower levels of support for communication, such as with teachers and peers, would be important.
Related, research suggests that children with autism rarely build on questions, such as asking a follow-up question (Hurtig et al. 1982). The purpose of this study was to instate the appropriate use of a question that was absent in the repertoires of the participants. Although the generalization probes showed that the children asked the targeted question appropriately, it remains important to continue to address the associated social-communicative issues of maintained social reciprocal interactions, including turn-taking, topic maintenance, and so on, within the contexts of social conversation. (Chung et al. 2006; Harper et al. 2008; Kaiser et al. 2001; MacKay et al. 2007; Paul 1985). Again, research addressing and assessing the use of target structures among peers is warranted (Paul 1985). Additionally, this study only addressed the expressive use of the “Where?” question, and a small number of language structures that were tested expressively. Understanding the role of receptive knowledge would be interesting. Finally, research regarding the linguistic structures that provide opportunities for enhancement of social inclusion and group social play should be productive (Kroeger et al. 2007).
In summary, the procedures used in this study resulted in the generalized use of the targeted question outside of the intervention setting. Generalized initiations have often been elusive, limited (Lovaas 1977), or not reported in previous research. Using a range of communicative functions appears to lead to greater communicative competence and may be especially important for improved long-term outcomes. Thus, further research targeting morphemes through child-initiated questions may be especially fruitful.

Acknowledgments

This research was supported by NIMH grant #MH28210, NIH grant 010924 from NIDCD, the Eli and Edythe L. Broad Foundation, and the Kelly Family Foundation. The authors wish to thank Dr. Rosy Fredeen and Dr. Don Hawkins for their assistance with data collection and for their feedback, and Ty Vernon for his assistance with the graphs and early drafts of the manuscript. We also wish to thank the families and their children who participated in this study.

Open Access

This article is distributed under the terms of the Creative Commons Attribution Noncommercial License which permits any noncommercial use, distribution, and reproduction in any medium, provided the original author(s) and source are credited.
Open AccessThis is an open access article distributed under the terms of the Creative Commons Attribution Noncommercial License (https://creativecommons.org/licenses/by-nc/2.0), which permits any noncommercial use, distribution, and reproduction in any medium, provided the original author(s) and source are credited.
Titel
Brief Report: Question-Asking and Collateral Language Acquisition in Children with Autism
Auteurs
Lynn Kern Koegel
Robert L. Koegel
Israel Green-Hopkins
Cynthia Carter Barnes
Publicatiedatum
01-04-2010
Uitgeverij
Springer US
Gepubliceerd in
Journal of Autism and Developmental Disorders / Uitgave 4/2010
Print ISSN: 0162-3257
Elektronisch ISSN: 1573-3432
DOI
https://doi.org/10.1007/s10803-009-0896-z
go back to reference Boucher, J., Bigham, S., Mayes, A., & Muskett, T. (2007). Recognition and language in low functioning autism. Journal of Autism and Developmental Disorders, 38(7), 1259–1269.CrossRefPubMed
go back to reference Chiang, H. M., & Carter, M. (2008). Spontaneity of communication in individuals with autism. Journal of Autism and Developmental Disorders, 38, 693–705.CrossRefPubMed
go back to reference Chung, K., Reavis, S., Mosconi, M., Drewry, J., Matthews, T., & Tassé, M. J. (2006). Peer mediated social skills training program for young children with high-functioning autism. Research in Developmental Disabilities, 28, 423–436.CrossRefPubMed
go back to reference Garvey, C. (1975). Requests and responses in children’s speech. Journal of Child Language, 2, 41–63.CrossRef
go back to reference Gertner, B. L., Rice, M. L., & Hadley, P. A. (1994). Influence of communicative competence on peer preferences in a preschool classrooms. Journal of Speech and Hearing Research, 37, 913–923.PubMed
go back to reference Hadley, P. A., & Rice, M. L. (1991). Conversational responsiveness of speech- and language impaired preschoolers. Journal of Speech and Hearing Research, 34, 1308–1317.PubMed
go back to reference Harper, C. B., Symon, J. B. G., & Frea, W. D. (2008). Recess is time-in: Using peers to improve social skills of children with autism. Journal of Autism and Developmental Disorders, 38, 815–826.CrossRefPubMed
go back to reference Hart, B., & Risley, T. R. (1999). Meaningful differences in the everyday experience of young American children. Baltimore, MD: Paul H. Brookes.
go back to reference Holzman, M. (1972). The use of interrogative forms in the verbal interactions of three mothers and their children. Journal of Psycholinguistic Research, 1, 311–336.CrossRef
go back to reference Hung, D. W. (1977). Generalization of “curiosity” questioning behavior in autistic children. Journal of Behavior Therapy and Experimental Psychiatry, 8, 237–245.CrossRef
go back to reference Hurtig, R., Ensrud, S., & Tomblin, J. B. (1982). The communicative function of question-asking in autistic children. Journal of Autism and Developmental Disorders, 12(1), 57–69.CrossRefPubMed
go back to reference Kaiser, A. P., Hester, P. P., & McDuffie, A. S. (2001). Supporting communication in young children with developmental disabilities. Mental Retardation and Developmental Disabilities: Research Reviews, 7, 143–150.CrossRef
go back to reference Koegel, L. K., Valdez-Menchaca, M. C., & Koegel, R. L. (1994). Autism: Social communication difficulties and related behaviors. In M. Hersen & V. B. Van Hasselt (Eds.), Advanced abnormal psychology. New York: Plenum.
go back to reference Koegel, L. K., Camarata, S. M., Valdez-Menchaca, M., & Koegel, R. L. (1998). Setting generalization of question-asking by children with autism. American Journal on Mental Retardation, 102, 346–357.CrossRefPubMed
go back to reference Koegel, L. K., Koegel, R. L., Shoshan, Y., & McNerney, E. (1999). Pivotal response intervention II: Preliminary long-term outcome data. Journal of the Association for Persons with Severe Handicaps, 24(3), 186–198.CrossRef
go back to reference Kroeger, K. A., Schultz, J. R., & Newsom, C. (2007). A comparison of two group-delivered social skills programs for young children with autism. Journal of Autism and Developmental Disorders, 37, 808–817.CrossRefPubMed
go back to reference Lovaas, I. O. (1977). The autistic child: Language development through behavior modification. New York: Irvington.
go back to reference MacKay, T., Knott, F., & Dunlop, A. W. (2007). Developing social interaction and understanding in individuals with autism spectrum disorder: A group work intervention. Journal of Intellectual and Developmental Disability, 32, 279–290.CrossRefPubMed
go back to reference Miller, J. F. (1981). Assessing language production in children. Boston, MA: Allyn and Bacon.
go back to reference Murdock, L. C., Cost, H. C., & Tieso, C. (2007). Measurement of social communication skills of children with autism spectrum disorders during interaction with typical peers. Focus on Autism and Other Developmental Disabilities, 22, 160–172.CrossRef
go back to reference Nelson, K. (1978). Children’s language (Vol. 1). New York: Gardner Press.
go back to reference Newman, B., & Eyck, P. T. (2005). Self-management of initiations by students diagnosed with autism. Analysis of Verbal Behavior, 21, 117–122.
go back to reference Palmen, A., Didden, R., & Arts, M. (2008). Improving question asking in high-functioning adolescents with autism spectrum disorders: Effectiveness of small-group training. Autism, 12, 83–98.CrossRefPubMed
go back to reference Paul, L. (1985). Programming peer support for functional language. In S. F. Warren & A. K. Rogers-Warren (Eds.), Teaching functional language (pp. 289–307). Austin, TX: Pro-Ed.
go back to reference Paul, R., Tetnowski, J., & Reuler, E. (2007). Communication sampling procedures. In R. Paul & P. W. Cascella (Eds.), Introduction to clinical methods in communication disorders (2nd ed., pp. 111–155). Baltimore, MD: Paul H. Brookes.
go back to reference Perkins, M. R., Dobbinson, S., Boucher, J., Bol, S., & Bloom, P. (2006). Lexical knowledge and lexical use in autism. Journal of Autism and Developmental Disorders, 36, 795–805.CrossRefPubMed
go back to reference Rice, M. L., Sell, M. A., & Hadley, P. A. (1991). Social interactions of speech, and language impaired children. Journal of Speech and Hearing Research, 34, 1299–1307.PubMed
go back to reference Rowland, C. F., & Pine, J. M. (2000). Subject-auxiliary inversion errors and wh-question acquisition: ‘what children do know?’. Journal of Child Language, 27(1), 157–181.CrossRefPubMed
go back to reference Siller, M., & Sigman, M. (2002). The behaviors of parents of children with autism predict the subsequent development of their children’s communication. Journal of Autism and Developmental Disorders, 32, 77–89.CrossRefPubMed
go back to reference Taylor, B. A., & Harris, S. L. (1995). Teaching children with autism to seek information: Acquisition of novel information and generalization of responding. Journal of Applied Behavior Analysis, 28, 3–14.CrossRefPubMed
go back to reference Thurm, A., Lord, C., Lee, L.-C., & Newschaffer, C. (2007). Predictors of language acquisition in preschool children with autism spectrum disorders. Journal of Autism and Developmental Disabilities, 37, 1721–1734.CrossRef
go back to reference Van Valin, R. D., Jr. (2002). The development of subject-auxiliary inversion in English wh- questions: An alternative analysis. Journal of Child Language, 29, 161–175.CrossRefPubMed
go back to reference Warren, S. F., Baxter, D. K., Anderson, S. R., Marshall, A., & Baer, D. M. (1981). Generalization of question-asking by severely retarded individuals. Journal of the Association for Persons with Severe Handicaps, 6, 15–22.
go back to reference Wetherby, A. M., & Prutting, C. A. (1984). Profiles of communicative and cognitive-social abilities in autistic children. Journal of Speech and Hearing Research, 27, 364–377.PubMed
go back to reference Williams, G., Donley, C., & Keller, J. (2000). Teaching children with autism to ask questions about hidden objects. Journal of Applied Behavior Analysis, 33, 627–630.CrossRefPubMed
go back to reference Williams, G., Pérez-González, L. A., & Vogt, K. (2003). The role of specific consequences in the maintenance of three types of questions. Journal of Applied Behavior Analysis, 36, 285–296.CrossRefPubMed