Ga naar de hoofdinhoud
Top

Biomechanical assessment of two different surgical treatments for the correction of flat foot

  • Open Access
  • 01-04-2014
  • Meeting abstract
Gepubliceerd in:

Introduction

The flat foot is a very frequent deformity in orthopedics and can be observed at different levels of severity already in childhood and infancy. The possible functional alterations associated with flat feet are not fully established. These can result in critical clinical consequences, such as secondary deformities of the forefoot and lower limb, pain and muscle fatigue. The prescription of orthotics or indication for surgical interventions are still much debated. A diagnosis based only on foot morphology is not sufficient to decide the therapeutic approach. In fact, the degree of severity of the deformity and the effects of treatments require also careful functional assessment. This study aims at investigating by means of movement analysis the effects of two different surgical treatments for severe flat foot.

Methods

Ten children (11.3 ± 1.6 yrs, 19.7 ± 2.8 BMI) were operated for the correction of flat foot [1, 2] in both feet. One foot was corrected with a calcaneo-stop method, i.e. a screw implanted into the calcaneus, and the other with an endoprosthesis implanted into the sinus-tarsi. Gait analysis was performed pre- and 12 month post-operative, using a 8-camera motion system (Vicon, UK). An established protocol for lower limb [3] and a multi-segment foot kinematic analysis [4] were used to calculate joint rotations and moments during three walking trials for each subject.

Results

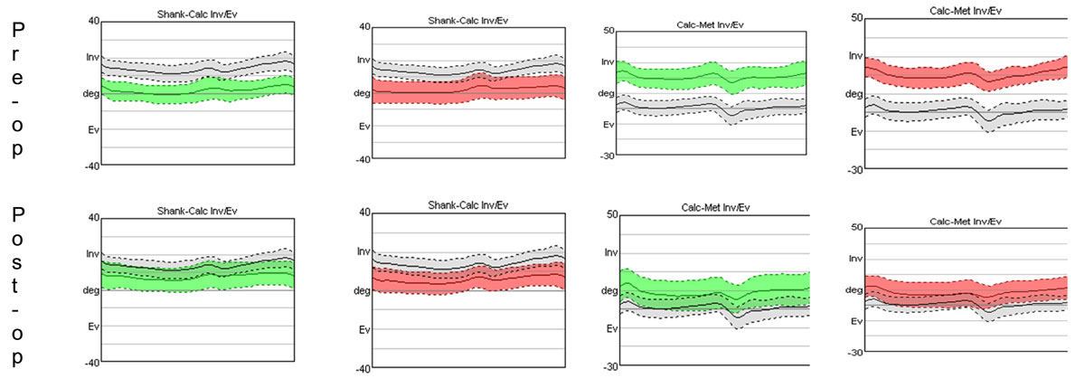
Significant differences in standard X-ray measurements were observed between pre- and post-op, but not between feet. Analysis of the kinematic variables revealed important functional corrections. In particular, joint rotations at the ankle (Figure 1, left) and those between the metatarsus and calcaneus segments (Figure 1, right) improved significantly between pre- and post-op. Ground reaction force showed that the deficits in propulsion and stability pre-op were resolved in both feet, i.e. with both implants.
Figure 1
Patterns of joint rotations between calcaneus and shank (two left columns), and between metatarsus and calcaneus (two right columns), during pre-op (top) and at 12 month post-op (bottom). Where in red is the calcaneo-stop group, in green is the endoprosthesis group, and in grey is the control group.
Afbeelding vergroten

Conclusion

The combined lower limb and multi-segment foot kinematics analyses was found adequate and provided a thorough and accurate functional assessment of the entire limbs. Both surgical treatments enabled good restoration of the normal kinematics of the foot and of the lower limb joints. This population will be monitored further to assess the functional progresses in time; preservation, or even improvement, of these results, are expected.
Open Access This article is licensed under a Creative Commons Attribution 4.0 International License, which permits use, sharing, adaptation, distribution and reproduction in any medium or format, as long as you give appropriate credit to the original author(s) and the source, provide a link to the Creative Commons licence, and indicate if changes were made.
The images or other third party material in this article are included in the article’s Creative Commons licence, unless indicated otherwise in a credit line to the material. If material is not included in the article’s Creative Commons licence and your intended use is not permitted by statutory regulation or exceeds the permitted use, you will need to obtain permission directly from the copyright holder.
To view a copy of this licence, visit https://creativecommons.org/licenses/by/4.0/.
The Creative Commons Public Domain Dedication waiver (https://creativecommons.org/publicdomain/zero/1.0/) applies to the data made available in this article, unless otherwise stated in a credit line to the data.
Titel
Biomechanical assessment of two different surgical treatments for the correction of flat foot
Auteurs
Lisa Berti
Giulia Celin
Paolo Caravaggi
Sandro Giannini
Alberto Leardini
Publicatiedatum
01-04-2014
Uitgeverij
BioMed Central
Gepubliceerd in
Journal of Foot and Ankle Research / Uitgave bijlage 1/2014
Elektronisch ISSN: 1757-1146
DOI
https://doi.org/10.1186/1757-1146-7-S1-A52
1.
go back to reference Giannini S, et al: Surgical treatment of flexible flatfoot in children: a four year follow-up study. J Bone Joint Surg Am. 2001, 83-A (Suppl 2 Pt 2): 73-9.PubMed
2.
go back to reference Roth S, et al: Minimally invasive calcaneo-stop method for idiopathic, flexible pes planovalgus in children. Foot Ankle Int. 2007, 28 (9): 991-5. 10.3113/FAI.2007.0991.CrossRefPubMed
3.
go back to reference Leardini A, et al: A new anatomically based protocol for gait analysis. Gait Posture. 2007, 26 (4): 560-71. 10.1016/j.gaitpost.2006.12.018.CrossRefPubMed
4.
go back to reference Leardini A, et al: Rear-foot, mid-foot and fore-foot motion during the stance phase of gait. Gait Posture. 2007, 25 (3): 453-62. 10.1016/j.gaitpost.2006.05.017.CrossRefPubMed