Ga naar de hoofdinhoud
Top

Analysis of quality-adjusted survival time without symptoms or toxicity for pembrolizumab plus chemotherapy as treatment for previously untreated participants with advanced or metastatic esophageal cancer

  • Open Access
  • 01-03-2026
Gepubliceerd in:

Abstract

Background

Results of the KEYNOTE-590 trial showed that first-line pembrolizumab plus chemotherapy significantly improved overall and progression-free survival versus chemotherapy alone, and the safety profile was manageable for participants with previously untreated advanced or metastatic esophageal cancer. Using the quality-adjusted time without symptoms or toxicity (Q-TWiST) method of analysis, we assessed the benefit/risk profile of pembrolizumab plus chemotherapy.

Methods

Using data from the KEYNOTE-590 study, we partitioned participant survival time into three health states: time living with all-cause grade ≥ 3 adverse events (AEs) before disease progression (PD; TOX), time before start of PD or death without grade ≥ 3 AEs (TWiST), and time from the start of PD to death or the censoring date (REL). We calculated Q-TWiST by summing the restricted mean time spent in each health state weighted by health state utilities estimated using the EuroQol 5-Dimension, 5-Level quality-of-life questionnaire (EQ-5D-5L). The relative gain in quality-adjusted survival time was defined as the Q-TWiST difference divided by the survival time from chemotherapy alone. A relative gain of > 10% is considered “clinically important,” and a relative gain of > 15% is considered “clearly clinically important.” This analysis was primarily focused on clinical significance rather than statistical significance due to the nature of the Q-TWiST analyses. No prespecified formal hypothesis testing was performed, and hence, there was no adjustment for multiplicity.

Results

At a maximum follow-up of 30 months, Q-TWiST was 2.23 months longer with pembrolizumab plus chemotherapy versus chemotherapy alone for all randomly assigned participants and was clearly clinically important, with a relative Q-TWiST gain of 17.86%. In all three subpopulations, including participants with esophageal squamous cell carcinoma (ESCC), programmed cell death ligand 1 (PD-L1) combined positive score (CPS) ≥ 10, and ESCC PD-L1 CPS ≥ 10, Q-TWiST gain with pembrolizumab plus chemotherapy versus chemotherapy was 2.29 to 3.87 months, equivalent to a relative Q-TWiST gain of 18.12% to 33.47%, which are all clearly clinically important.

Conclusions

Although this analysis is limited by missing data and short follow-up time, pembrolizumab plus chemotherapy provided clinically meaningful and substantial benefit in quality-adjusted survival by Q-TWiST analysis versus chemotherapy alone in participants with advanced esophageal cancer.

Trial registration

Trial registration for KEYNOTE-590 ClinicalTrials.gov, NCT03189719 (date of registration: June 14, 2017).

Supplementary Information

The online version contains supplementary material available at https://doi.org/10.1007/s11136-025-04109-4.

Publisher’s note

Springer Nature remains neutral with regard to jurisdictional claims in published maps and institutional affiliations.

Introduction

Esophageal cancer is the sixth-leading cause of death from cancer worldwide, with a 5-year relative survival rate of approximately 25% [1, 2]. For several decades, the standard-of-care for untreated locally advanced or metastatic esophageal cancer has been chemotherapy combined with a fluoropyrimidine (fluorouracil or capecitabine) and a platinum agent (oxaliplatin or cisplatin), but overall survival (OS) remains poor [3]. Treatments that prolong OS for patients who have advanced esophageal cancer are necessary.
The KEYNOTE-590 (NCT03189719) trial was the first randomized phase 3 trial to show clinically meaningful and statistically significant improvement in OS (hazard ratio [HR], 0.73; 95% CI, 0.62–0.86; p < 0.0001) and progression-free survival (PFS; HR, 0.65, 95% CI, 0.55–0.76; p < 0.0001) with use of a programmed cell death protein 1 (PD-1) inhibitor combined with chemotherapy, compared with chemotherapy alone, in participants with previously untreated advanced esophageal cancer and Siewert type 1 gastroesophageal junction (GEJ) cancer [4]. A manageable safety profile was observed for pembrolizumab combined with chemotherapy compared with chemotherapy alone, and health-related quality of life (HRQOL) was maintained over time and was similar in the two treatment groups [4, 5].
Increasingly, regulatory bodies are demanding evaluation of the effect of a treatment on patient quality of life (QOL) [6]. The American Society of Clinical Oncology framework is focused on a net health benefit that measures the impact of an intervention by subtracting the division of incremental cost by the opportunity cost threshold from the incremental quality-adjusted life year gains. The Q-TWiST method is also used to assess treatment by integrating survival, toxicity, and QOL into a single measure, and it provides an analysis comparable to a net health benefit. With its relative simplicity and clinical relevance, Q-TWiST can better inform the shared decision making between clinicians and patients to assess the benefit of a treatment [7]. Analysis using the Q-TWiST method was initially adopted for adjuvant therapies in oncology, and it was widely used across different types of cancer over the past years [711]. For instance, Q-TWiST was used to evaluate the benefits of pazopanib versus sunitinib in patients with renal cell carcinoma, demonstrating a slightly longer Q-TWiST, primarily due to a reduced length of time with grade 3 or 4 toxicity [11]. This type of analysis complements traditional outcomes generated from clinical trials by providing evidence used to evaluate the benefit/risk profile for patients. We performed a Q-TWiST analysis using data from the KEYNOTE-590 study to examine the benefit/risk profile of adding pembrolizumab to standard-of-care chemotherapy for participants who have advanced esophageal cancer. To our knowledge, this is the first Q-TWiST study conducted for pembrolizumab plus chemotherapy in advanced esophageal cancer across different histologies.

Materials and methods

Data source and study population

We used participant-level data from KEYNOTE 590 (database cutoff, July 2, 2020) in this post hoc analysis. KEYNOTE 590 was a randomized, placebo-controlled, global, phase 3 trial of participants who had previously untreated, histologically or cytologically confirmed, locally advanced, unresectable or metastatic esophageal adenocarcinoma or esophageal squamous cell carcinoma (ESCC) or Siewert type 1 GEJ adenocarcinoma [4]. Participants were randomly assigned (1:1) to receive intravenous pembrolizumab 200 mg or placebo, both given at the same time as chemotherapy (5-fluorouracil 800 mg/m² on days 1–5 plus cisplatin 80 mg/m² on day 1, for a maximum of six cycles), once every 3 weeks for up to 35 cycles [4]. We used Q-TWIST for analysis of all randomly assigned participants, participants who had programmed cell death ligand 1 (PD-L1) combined positive score (CPS) ≥ 10 tumors, participants who had ESCC, and participants who had ESCC and a PD-L1 CPS ≥ 10.
The institutional review board or ethics committee at each participating institution approved the trial protocol and all amendments. The study was conducted in accordance with principles of Good Clinical Practice and was approved by the appropriate institutional review boards and regulatory agencies. All participants provided written informed consent before enrollment.

Assessments

OS was defined as the time from randomization to the date of death from any cause. PFS was defined as the time from random assignment of the participant to documented beginning of disease progression per Response Evaluation Criteria in Solid Tumors, version 1.1 (RECIST v1.1), according to the investigator, or as death from any cause. Tumor response was assessed per RECIST v1.1 according to the investigator.
We evaluated adverse events (AEs) throughout the trial until 30 days (90 days for serious AEs) after the end of treatment, per the National Cancer Institute Common Terminology Criteria for Adverse Events, version 4.0. We evaluated QoL using EuroQol 5-Dimension, 5-Level Quality-of-Life questionnaire (EQ-5D-5-L) scores.

Statistical analysis

For the Q-TWiST analysis, we grouped survival time into three health states:
1.
Toxicity (TOX), defined as time with all-cause grade ≥ 3 AEs between randomization date and disease progression date or PFS censoring date. We calculated the duration of grade ≥ 3 AEs as the time between the AE onset date and the AE resolution date for AEs that had resolved by the time of disease progression, or the date of disease progression for ongoing AEs at the time of disease progression. Participants who did not experience grade ≥ 3 AEs before disease progression were assigned a duration of zero. The duration of an AE was considered the entire duration of any AE episode that started as or worsened to grade ≥ 3. The total number of days with all-cause grade ≥ 3 AEs was combined for each participant, where a day with multiple events was only counted once.
 
2.
Time without symptoms and toxicity (TWiST), defined as time from randomization to the beginning of disease progression per RECIST v1.1 according to investigator assessment, to death, or to censoring date of PFS without all-cause grade ≥ 3 AEs.
 
3.
Relapse (REL), defined as time from the start of progressive disease to death or censoring date (last follow-up or database cutoff) [8, 9].
 
The Kaplan-Meier method was used to estimate OS, PFS, and TOX in both treatment groups. The mean duration spent in each health state (TOX, TWiST, and REL) was calculated as the restricted mean survival time [12] from time 0 to month 30 (maximum follow-up).
We calculated the mean duration of the TWiST and REL health states as follows:
$$\text{T}\text{W}\text{i}\text{S}\text{T}\:=\text{P}\text{F}\text{S}-\text{T}\text{O}\text{X}$$
and
$$\text{R}\text{E}\text{L}\:=\text{O}\text{S}-\text{P}\text{F}\text{S}$$
EQ-5D-5-L translates five dimensions of QOL (mobility, self-care, usual activities, pain/discomfort, and anxiety/depression) into a single utility score. Postbaseline pooled EQ-5D-5-L scores collected in KEYNOTE-590 were used to derive average utility weights for each health state (UtilityTOX, UtilityTWiST, and UtilityREL) using the US mapping algorithm [13]. The US-specific mapping algorithm was selected due to its widespread use and validation in oncology health utility analyses, providing a consistent and comparable framework for interpreting quality of life outcomes. Furthermore, the US tariff offers a standardized reference that aligns with regulatory expectations and facilitates comparison with other studies using similar methodology.
We calculated Q-TWiST as the sum of the restricted mean time spent in each health state, weighted by its corresponding health state utility using the following formula:
$$ \begin{aligned} {\text{Q-TWiST}} = & \left( {{\text{TOX}}\: \times \:{\text{Utility}}_{{{\text{TOX}}}} } \right) \\ & \quad + \left( {{\text{TWiST}}\: \times \:\:{\text{Utility}}_{{{\text{TWiST}}}} } \right) \\ & \quad + \left( {{\text{REL}}\: \times \:\:{\text{Utility}}_{{{\text{REL}}}} } \right) \\ \end{aligned} $$
Differences in restricted mean time spent in each health state and in Q-TWiST between treatment groups were calculated. The corresponding 95% CIs were generated using bootstrap sampling stratified by treatment groups. Relative Q-TWiST gain was calculated as the Q-TWiST difference (defined as difference between Q-TWiST scores of the two treatment groups) between the pembrolizumab plus chemotherapy group and chemotherapy alone group divided by the restricted mean OS of the chemotherapy group. No prespecified formal hypothesis testing was performed, and hence, there was no adjustment for multiplicity.
We conducted three sensitivity analyses, calculated the mean Q-TWiST difference and relative gain at different time points, and plotted to assess the Q-TWiST results over time. To explore the robustness of the TOX health state, we performed a sensitivity analysis considering all-cause AE regardless of grade. Two sensitivity analyses were carried out to account for the impact of missing EQ-5D-5-L data (especially post-treatment discontinuation, in the REL state) and assess the robustness of the Q-TWiST results to various assumptions about the utility values: (1) base case utility values where UtilityTOX and UtilityREL were set equal to 0.5 and UtilityTWiST equal to 1.0, which is commonly used in many Q-TWiST publications and enables a straightforward comparison of results across studies for clinical decision-making [11, 1416] and (2) threshold analysis, particularly addressing the missing EQ-5D-5-L data in TOX and REL health states, where UtilityTOX and UtilityREL weights varied from 0 to 1 simultaneously at increments of 0.1, while holding UtilityTWiST equal to 1 (representing perfect health).
The relative gain in quality-adjusted survival time was defined as “clinically important” or “clearly clinically important,” respectively, on the basis of published thresholds in the literature, where clinically important is representative of a gain ≥ 10% and “clearly clinically important” is representative of a gain ≥ 15% [7].

Results

Participants

In the KEYNOTE-590 trial, 749 participants were enrolled, of which 373 were randomly assigned to receive pembrolizumab plus chemotherapy and 376 to receive chemotherapy alone. Participant baseline characteristics were previously published [4]; the characteristics were well balanced between treatment groups [4]. Participant completion and compliance rates for the EQ-5D-5L are shown in Online Resource Table S1.

Duration of TOX, TWiST, and REL states

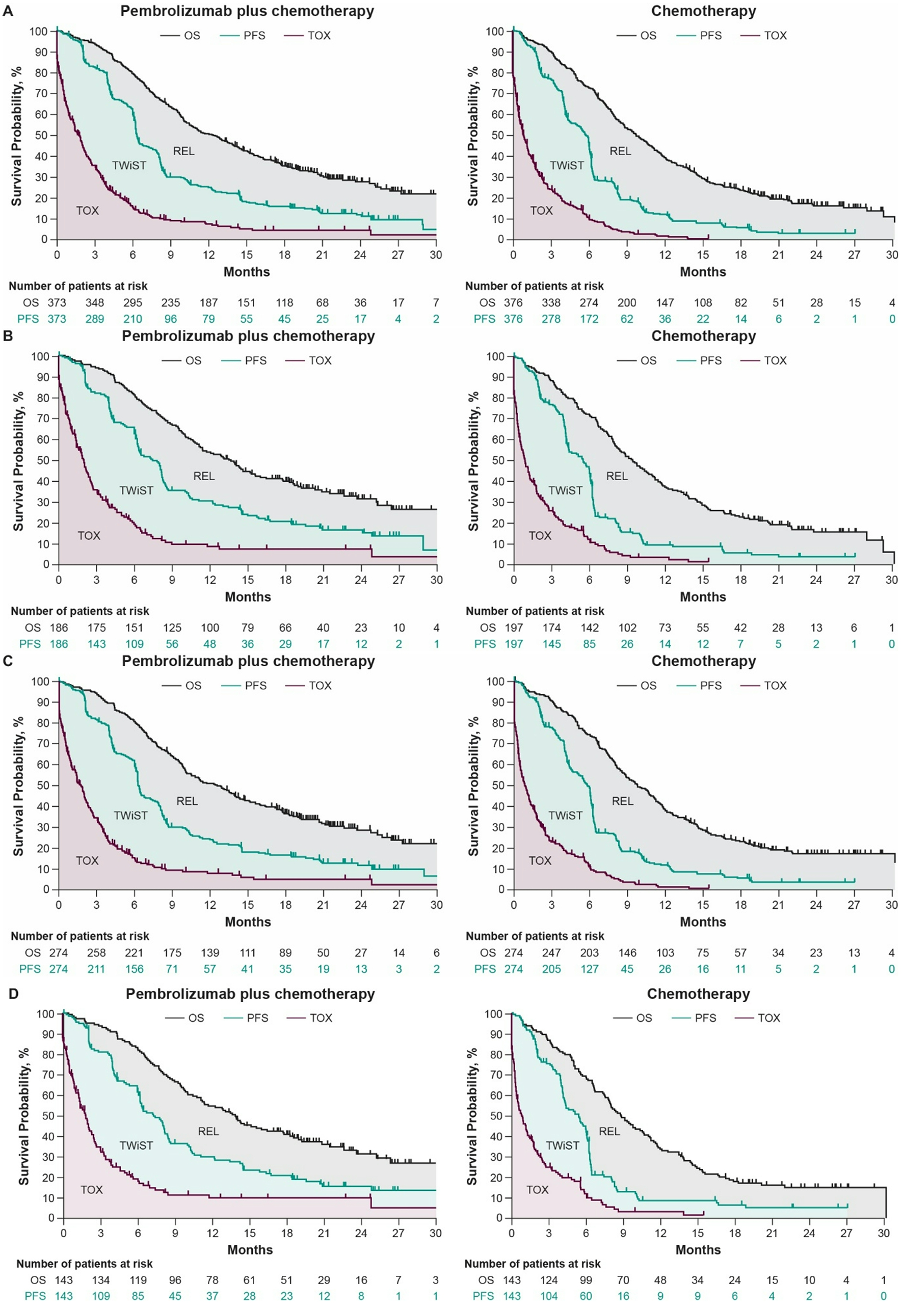
Using the Kaplan-Meier curve for OS, PFS, and TOX for each treatment group separately, the time spent in each of the three Q-TWiST health states is illustrated by the shaded area between the curves across four populations (Fig. 1).
Fig. 1
Partitioned Kaplan-Meier survival curves for the Q-TWiST health states in A all randomly assigned participants and participants with B PD-L1 CPS ≥ 10 tumors, C ESCC, and D ESCC and a PD-L1 CPS ≥ 10. CPS combined positive score, ESCC esophageal squamous cell carcinoma, OS overall survival, PD-L1 programmed cell death ligand 1, PFS progression-free survival, REL relapse, TOX toxicity, TWiST time without symptoms or toxicity
Afbeelding vergroten
At month 30, the mean duration was longer in the TOX state (1.57 months; 95% CI, 0.76–2.39) and the TWiST state (1.39 months; 95% CI, 0.04–2.84) and shorter in the REL state (0.30 month; 95% CI, − 2.07 to 1.38) for all randomly assigned participants in the pembrolizumab plus chemotherapy group compared with the chemotherapy alone group (Table 1).
Table 1
 Restricted mean duration in the three different health states and Q-TWiST difference at month 30 for the intention-to-treat population
 
Pembrolizumab plus chemotherapy
Chemotherapy
Difference (95% CIa), months
All randomly assigned participants, N
373
376
NA
TOX
3.69
2.12
1.57 (0.76–2.39)
TWiST
5.83
4.44
1.39 (0.04–2.84)
REL
5.65
5.95
−0.30 (− 2.07 to 1.38)
Q-TWiSTb
11.98
9.75
2.23 (1.25–3.26)
Q-TWiSTc
10.50
8.48
2.02 (1.10–3.04)
PD-L1 CPS ≥ 10, n
186
197
NA
TOX
4.37
2.23
2.14 (0.81–3.46)
TWiST
6.32
4.11
2.20 (0.07–4.41)
REL
5.42
5.79
−0.37 (− 2.87 to 2.33)
Q-TWiSTb
12.82
9.45
3.37 (1.97–4.87)
Q-TWiSTc
11.21
8.12
3.09 (1.68–4.51)
ESCC, n
274
274
NA
TOX
3.76
2.12
1.64 (0.71–2.64)
TWiST
5.78
4.49
1.29 (− 0.26 to 2.93)
REL
5.82
6.02
−0.20 (− 2.31 to 1.91)
Q-TWiSTb
12.17
9.88
2.29 (1.12–3.48)
Q-TWiSTc
10.58
8.56
2.01 (0.86–3.12)
ESCC PD-L1 CPS ≥ 10, n
143
143
NA
TOX
4.71
2.27
2.44 (0.76–4.21)
TWiST
5.97
4.05
1.92 (− 0.60 to 4.22)
REL
5.56
5.24
0.31 (− 2.43 to 3.41)
Q-TWiSTb, c
13.01
9.13
3.87 (2.24–5.55)
Q-TWiSTb, d
11.11
7.81
3.30 (1.53–5.04)
Data are expressed in months except as noted otherwise.
CPS combined positive score, ESCC esophageal squamous cell carcinoma, EQ-5D-5L EuroQol 5-dimension, 5-level questionnaire, NA not applicable, PD-L1 programmed cell death ligand 1, Q-TWiST quality-adjusted time without symptoms of disease progression or toxicity of treatment, REL relapse, TOX toxicity, TWiST time without symptoms or toxicity
aBased on bootstrap percentiles. bBoth pooled-utility and standardized-weight results are shown to offer complementary perspectives on the Q-TWiST analysis. Pooled-utility values reflect the actual patient-reported utility scores observed in the study population. In contrast, standardized weights apply fixed utility values to each health state, allowing for easier comparison across studies and reducing the influence of sample-specific utility distributions. cBased on the US mapping algorithm–derived mean EQ-5D-5L health utility weights for the pooled population (see Table 2). dStandardized utility weights are based on 0.5 for UtilityTOX, 1.0 for UtilityTWiST, and 0.5 for UtilityREL.
We observed a similar trend in the participants with PD-L1 CPS ≥ 10 tumors and participants with ESCC. Notably, the mean duration of all three health states was longer in the participants with ESCC and a PD-L1 CPS ≥ 10 for the pembrolizumab plus chemotherapy group than in the chemotherapy alone group (Table 1).

Q-TWiST

Table 1 shows the restricted mean duration in the three different health states and restricted mean Q-TWiST at month 30 for the intention-to-treat population. After applying the pooled mean US health utility weights for each health state (Table 2), we saw that the Q-TWiST difference favored pembrolizumab plus chemotherapy compared with chemotherapy alone by 2.23 months for all randomly assigned participants (relative gain, 17.86%; Table 1; Fig. 2A).
Table 2
 Pooleda mean EQ-5D-5 L health utility weights using the US mapping algorithm
 
nb
Utility weightsc
Mean
95% CI
All randomly assigned participants (N = 727)
   
TOX
402
0.792
0.780–0.804
TWiST
546
0.868
0.861–0.874
REL
413
0.708
0.687–0.729
PD-L1 CPS ≥ 10 (n= 372)
   
TOX
209
0.797
0.781–0.813
TWiST
273
0.874
0.866–0.883
REL
210
0.704
0.675–0.732
ESCC (n= 532)
   
TOX
297
0.794
0.779–0.808
TWiST
402
0.872
0.865–0.880
REL
318
0.711
0.686–0.735
ESCC PD-L1 CPS ≥ 10 (n = 278)
   
TOX
156
0.803
0.785–0.820
TWiST
204
0.878
0.868–0.888
REL
159
0.716
0.683–0.750
CPS combined positive score, ESCC esophageal squamous cell carcinoma, EQ-5D-5L EuroQol 5-dimension, 5-level questionnaire, PD-L1 programmed cell death ligand 1, TWiST time without symptoms or toxicity, REL relapse, TOX toxicity.
aBoth treatment groups. bNumber of participants with at least one nonmissing EQ-5D-5L score. cSummary statistics computed based on several records per participant treated as independent observations, except for baseline, for which there is a single record per participant.
We saw a similar trend in each subpopulation (PD-L1 CPS ≥ 10 tumors: 3.37 months [relative gain, 27.79%; Table 1; Fig. 2B]; ESCC: 2.29 months [relative gain, 18.12%; Table 1; Fig. 2C]; ESCC and a PD-L1 CPS ≥ 10: 3.87 months [relative gain, 33.47%; Table 1; Fig. 2D]).
Fig. 2
Relative Q-TWiST gain for pembrolizumab plus chemotherapy compared with chemotherapy alone in A all randomly assigned participants and participants with B PD-L1 CPS ≥ 10 tumors, C ESCC, and D ESCC and a PD-L1 CPS ≥ 10. US utility weights were derived from postbaseline EQ-5D-5L scores using US mapping algorithm. Standardized utility weights are based on 0.5 for UtilityTOX, 1.0 for UtilityTWiST, and 0.5 for UtilityREL. CPS combined positive score, ESCC esophageal squamous cell carcinoma, EQ-5D-5L EuroQol 5-dimension, 5 level questionnaire, PD-L1 programmed cell death ligand 1, Q-TWiST quality-adjusted time without symptoms of disease progression or toxicity of treatment, UtilityREL utility of the REL state, UtilityTOX utility of the TOX state, UtilityTWiST utility of the TWiST state
Afbeelding vergroten

Sensitivity analyses

For all randomly assigned participants across all three subpopulations, the participants treated with pembrolizumab plus chemotherapy showed a positive mean Q-TWiST difference and relative Q-TWiST gain compared with chemotherapy alone starting at month 9; the benefit increased with longer duration of follow-up (Online Resource Fig. S1). In the analysis with standardized utility weights (0.5 for TOX, 1.0 for TWiST, and 0.5 for REL), mean Q-TWiST was 2.02 months longer for all randomly assigned participants (relative gain, 16.17%; Table 1; Fig. 2A) for pembrolizumab plus chemotherapy compared with chemotherapy alone. We saw a similar trend in all three subpopulations (participant with PD-L1 CPS ≥ 10 tumors: 3.09 months [relative gain, 25.47%; Table 1; Fig. 2B]; participants who had ESCC: 2.01 months [relative gain, 15.95%; Table 1; Fig. 2C]; participants who had ESCC and a PD-L1 CPS ≥ 10: 3.30 months [relative gain, 28.51%; Table 1; Fig. 2D]).
Noting that UtilityTOX and UtilityREL simultaneously varied between 0.00 and 1.00 at increments of 0.1, the mean Q-TWiST difference for pembrolizumab plus chemotherapy compared with chemotherapy alone increased from 1.09 to 2.96 months (relative gain, 8.68% to 23.65%) for all randomly assigned participants (Fig. 3A). We observed a similar trend in all three subpopulations (participants with PD-L1 CPS ≥ 10 tumors: increased from 1.84 to 4.34 months [relative gain, 15.15% to 35.78%; Fig. 3B]; participants with ESCC: increased from 1.09 to 2.94 months [relative gain, 8.66% to 23.23%; Fig. 3C]; participants who had ESCC and a PD-L1 CPS ≥ 10: increased from 1.92 to 4.68 months [relative gain, 16.59% to 40.43%; Fig. 3D]).
Fig. 3
Threshold utility analysis of Q-TWiST with a maximum follow-up of 30 months for A all randomly assigned participants and participants with B PD-L1 CPS ≥ 10 tumors, C ESCC, and D ESCC and a PD-L1 CPS ≥ 10. UtilityTOX and UtilityREL were varied from 0 to 1 by increments of 0.01 while UtilityTWiST was kept constant at 1.0 for all Q-TWiST calculations. CPS combined positive score, ESCC esophageal squamous cell carcinoma, PD-L1 programmed cell death ligand 1, UtilityREL utility of the REL state, UtilityTOX utility of the TOX state, UtilityTWiST utility of the TWiST state, Q-TWiST quality-adjusted time without symptoms of disease progression or toxicity of treatment
Afbeelding vergroten
In the sensitivity analysis for the TOX state when the definition of TOX was changed to time with all-cause AEs regardless of grade, the mean Q-TWiST difference for pembrolizumab plus chemotherapy versus chemotherapy alone decreased from 2.23 to 1.32 months at month 30 for all randomly assigned participants (relative gain, 17.86% to 10.56%; Online Resource Table S2). We observed a similar trend in the participants with PD-L1 CPS ≥ 10 tumors subpopulation (decreased from 3.37 to 1.97 months [relative gain, 27.79% to 16.28%]) and the participant who had ESCC subpopulation (decreased from 2.29 to 1.39 months [relative gain, 18.12% to 11.02%]) (Online Resource Table S2). In the participants who has ESCC and a PD-L1 CPS ≥ 10 subpopulation, an increase from 3.87 to 4.13 months (relative gain, 33.47% to 35.69%) was observed (Online Resource Table S2).

Discussion

In KEYNOTE-590, OS and PFS were better for participants treated with pembrolizumab plus chemotherapy compared with those who received only chemotherapy. However, use of pembrolizumab plus chemotherapy also led to increased toxicity. Thus, when evaluating treatment options, clinical efficacy, toxicity, and HRQoL should be considered.
Q-TWiST analyses are generally focused on clinical significance rather than on statistical significance, reporting effect sizes and the corresponding 95% CIs. In the current analysis, the mean difference and relative gain in quality-adjusted survival time between treatment groups were clinically meaningful and were substantial for all randomly assigned participants across the three subpopulations evaluated. The gain in quality-adjusted survival time was primarily due to a longer PFS duration. The numerically longer mean Q-TWiST observed for pembrolizumab plus chemotherapy versus for chemotherapy alone at month 30 supports the OS and PFS data observed in the KEYNOTE-590 trial [4], as well as observations from HRQoL analyses in which pembrolizumab plus chemotherapy did not negatively impact QoL compared with chemotherapy alone [5]. The 2.23 month gain in Q-TWiST indicates that patients may experience over two additional months of quality-adjusted and symptom-free survival compared to the control arm. In clinical practice, this translates to a meaningful extension of time during which patients are likely to remain symptom free and toxicity free, supporting continued functional independence and engagement in daily activities, potentially delaying transitions to more intensive care, and thereby helping clinicians and patients make more informed treatment decisions.
The relative Q-TWiST gain in the current analysis was 17.86% at a maximum follow-up of 30 months for all randomly assigned participants, a numerical improvement over the relative Q-TWiST gain (13%) reported for nivolumab plus chemotherapy versus chemotherapy alone at a maximum follow-up of 33 months for previously untreated participants with advanced gastric cancer, GEJ cancer, or esophageal adenocarcinoma [17]. In participants with ESCC, nivolumab plus ipilimumab and nivolumab plus chemotherapy both provided clinically meaningful improvement in Q-TWiST compared with chemotherapy alone (5.7 weeks and 7.6 weeks, respectively) after a minimum follow-up of 29 months [16]. The relative gain in quality-adjusted survival time of more than 15% is consistent with the relative gain of 17.0% to 20.0% reported for pembrolizumab monotherapy or in combination with chemotherapy compared with chemotherapy alone in participants with different tumor types [15, 18], and it is higher than the relative Q-TWiST gain reported across tumors and therapies in a previous systematic literature review [14]. In the systematic literature review that contextualizes and benchmarks Q-TWiST analysis [14], 51 articles with 81 distinct Q-TWiST comparisons were identified. As reported, the mean (median) relative Q-TWiST gains were 7.8% (7.2%) across all cancer types. Forty percent of the studies reported a relative Q-TWiST gain ≥ 10% (defined as clinically important difference) and 22.7% of the studies reported a relative Q-TWiST gain ≥ 15% (defined as clearly clinically important difference). The 10% and 15% thresholds were recommended in a previous systematic literature review conducted by Revicki, Feeny, Hunt, and Cole [7]. However, the authors stated that these clinically important difference estimates should be interpreted with caution, pending confirmation in future studies by direct patient assessment of the clinically relevant health states for Q-TWiST. Additionally, one should make comparisons to the literature with caution, considering the differences in participant baseline characteristics, follow-up duration, tumor type, and treatment regimen. The relative gain in quality-adjusted survival time was more pronounced in participants with PD-L1 CPS ≥ 10 tumors and participants who had ESCC and a PD-L1 CPS ≥ 10, likely a result of the extended PFS benefit observed. In addition, the relative gain in quality-adjusted survival time obtained in the base case exceeded established thresholds reported in the literature of at least 15.0%, which is considered “clearly clinically important,” although these established thresholds are not specific to participants with advanced esophageal cancer [7]. With a relative gain of greater than 15%, pembrolizumab plus chemotherapy conferred a clearly clinically meaningful improvement in quality-adjusted survival time compared with chemotherapy alone. Q-TWiST analysis provides an assessment of the benefit–risk associated with cancer treatment. These findings continue to support the use of pembrolizumab plus chemotherapy for this population.
As observed from the sensitivity analyses, the relative gain in quality-adjusted survival time increased as follow-up time increased, indicating a better PFS benefit. Using standardized utilities as mentioned in the methods section, a lower relative gain in quality-adjusted survival time was observed compared with using US utilities, implying that the impact of combined TOX and REL outweighed the impact of TWiST. The utility threshold analysis showed that UtilityTOX had a more substantial impact on relative Q-TWiST gain than UtilityREL, as expected given the larger difference in restricted time spent in the TOX state compared with the REL state. With increasing UtilityTOX, the relative Q-TWiST gain increased across all three subpopulations, whereas the relative Q-TWiST gain increased with increasing UtilityREL for all subpopulations except ESCC PD-L1 CPS ≥ 10.
One of the limitations of the primary analysis is the TOX state only includes grade 3–5 AEs and ignores the potential impact of grade 1–2 AEs on QOL. To account for this limitation, we conducted a sensitivity analysis that defined TOX as grade 1–2 AEs. Additionally, post-progression toxicities were not included in the analysis and may also influence results. Furthermore, missing EQ-5D-5L data and the short follow-up time might introduce a potential bias when interpreting data. However, compliance with scheduled EQ-5D-5L assessments was high (approximately 90%) and well balanced between treatment arms. The utility threshold analysis, conducted to assess how different utility thresholds affect the estimated treatment effect, consistently demonstrated a benefit of pembrolizumab plus chemotherapy over chemotherapy alone. Immunotherapy is often associated with long-term survival and delayed treatment effects; therefore, with short follow-up times, using the traditional Q-TWiST method could contribute to underestimation of the quality-adjusted survival length with immunotherapies. Performing Q-TWiST analyses with longer follow-up times is expected to further reduce uncertainty. Short-term data may provide an incomplete assessment of the treatment effect; long-term data are needed to ensure the validity and reliability of these results. However, the sensitivity analysis showed the relevant treatment effect increased over time. Therefore, the Q-TWiST difference and relative gain would likely increase with longer follow-up.

Conclusion

Results of the current Q-TWiST analysis showed that use of pembrolizumab plus chemotherapy caused clinically meaningful and substantial improvement in quality-adjusted survival compared with chemotherapy alone in participants with untreated locally advanced or metastatic esophageal cancer. The relative gain in quality-adjusted survival time exceeded the established thresholds in the literature, defined as either “clinically important” or “clearly clinically important.” The sensitivity analyses showed results were similar regardless of different follow-up periods, utility values, and definitions of the TOX state. The results of the current analysis add evidence from participants’ perspectives to strengthen the benefit/risk profile of pembrolizumab plus chemotherapy for the assessed population. Future studies with longer follow-up will be important to validate the current findings considering the delayed treatment effects often associated with immunotherapy.

Acknowledgments

The authors thank the participants, their families, and caregivers, and the primary investigators and site personnel for their involvement in the trial. The authors also thank Lin Wang, PhD, of Merck Sharp & Dohme LLC, a subsidiary of Merck & Co., Inc., Rahway, NJ, USA (at the time of the development of the manuscript), and Anasooya Anoop, MSc, and David Maher-McWilliams, MSc, of MSD (UK) Limited, London, United Kingdom, for their contributions to this analysis. Medical writing and/or editorial assistance was provided by Obinna T. Ezeokoli, PhD, Shane Walton, PhD, and Lauren D’Angelo, PhD, of ApotheCom (Yardley, PA, USA). This assistance was funded by Merck Sharp & Dohme LLC, a subsidiary of Merck & Co., Inc., Rahway, NJ, USA.

Declarations

Competing interests

Ying Zhang is an employee of MSD Europe Inc., Brussels, Belgium, and holds stock in Merck & Co., Inc., Rahway, NJ, USA. Marc Diez Garcia has no conflicts of interest to disclose. Sukrut Shah, Seongjung Joo, Adriana Valderrama, and Shujing Zhang are employees of Merck Sharp & Dohme LLC, a subsidiary of Merck & Co., Inc., Rahway, NJ, USA, and hold stock in Merck & Co., Inc., Rahway, NJ, USA. Peter C. Enzinger reports consulting fees from ALX Oncology, Arcus Bioscience, Astellas, AstraZeneca, Blueprint Medicines, Bristol Myers Squibb, Chimeric Therapeutics, Celgene, Coherus, Daiichi Sankyo, Five Prime, Ideaya, Istari, Legend, Lilly, Loxo, Merck, Novartis, Ono Pharmaceuticals, Servier, Taiho, Takeda, Turning Point Therapeutics, Xencor, and Zymeworks, outside the current work.
Open Access This article is licensed under a Creative Commons Attribution 4.0 International License, which permits use, sharing, adaptation, distribution and reproduction in any medium or format, as long as you give appropriate credit to the original author(s) and the source, provide a link to the Creative Commons licence, and indicate if changes were made. The images or other third party material in this article are included in the article’s Creative Commons licence, unless indicated otherwise in a credit line to the material. If material is not included in the article’s Creative Commons licence and your intended use is not permitted by statutory regulation or exceeds the permitted use, you will need to obtain permission directly from the copyright holder. To view a copy of this licence, visit http://creativecommons.org/licenses/by/4.0/.

Publisher’s note

Springer Nature remains neutral with regard to jurisdictional claims in published maps and institutional affiliations.
Titel
Analysis of quality-adjusted survival time without symptoms or toxicity for pembrolizumab plus chemotherapy as treatment for previously untreated participants with advanced or metastatic esophageal cancer
Auteurs
Ying Zhang
Marc Diez Garcia
Sukrut Shah
Seongjung Joo
Adriana Valderrama
Shujing Zhang
Peter C. Enzinger
Publicatiedatum
01-03-2026
Uitgeverij
Springer International Publishing
Gepubliceerd in
Quality of Life Research / Uitgave 3/2026
Print ISSN: 0962-9343
Elektronisch ISSN: 1573-2649
DOI
https://doi.org/10.1007/s11136-025-04109-4

Supplementary Information

Below is the link to the electronic supplementary material.
1.
go back to reference Then, E. O., Lopez, M., Saleem, S., Gayam, V., Sunkara, T., Culliford, A., et al. (2020). Esophageal cancer: An updated surveillance epidemiology and end results database Analysis. World Journal of Oncology, 11, 55–64. CrossRefPubMedPubMedCentral
2.
go back to reference Sung, H., Ferlay, J., Siegel, R. L., Laversanne, M., Soerjomataram, I., Jemal, A., et al. (2021). Global cancer statistics 2020: GLOBOCAN estimates of incidence and mortality worldwide for 36 cancers in 185 countries. CA: A Cancer Journal for Clinicians, 71, 209–249.
3.
go back to reference Belkhiri, A., & El-Rifai, W. (2015). Advances in targeted therapies and new promising targets in esophageal cancer. Oncotarget, 6, 1348.CrossRefPubMedPubMedCentral
4.
go back to reference Sun, J. M., Shen, L., Shah, M. A., Enzinger, P., Adenis, A., Doi, T., et al. (2021). Pembrolizumab plus chemotherapy versus chemotherapy alone for first-line treatment of advanced oesophageal cancer (KEYNOTE-590): A randomised, placebo-controlled, phase 3 study. Lancet, 398, 759–771.CrossRefPubMed
5.
go back to reference Mansoor, W., Kulkarni, A. S., Kato, K., Sun, J-M., Shah, M. A., Enzinger, P. C. (2021). Health-related quality of life (HRQoL) of pembrolizumab plus chemotherapy versus chemotherapy as first-line therapy in patients with advanced esophageal cancer: The phase III KEYNOTE-590 study. Journal of Clinical Oncology, 39(suppl 3), Abstract 168.
6.
go back to reference Schnipper, L. E., Davidson, N. E., Wollins, D. S., Blayney, D. W., Dicker, A. P., Ganz, P. A., et al. (2016). Updating the American society of clinical oncology value framework: Revisions and reflections in response to comments received. Journal of Clinical Oncology, 34, 2925–2934. CrossRefPubMed
7.
go back to reference Revicki, D. A., Feeny, D., Hunt, T. L., & Cole, B. F. (2006). Analyzing oncology Clinical trial data using the Q-TWiST method: Clinical importance and sources for health state preference data. Quality of Life Research, 15, 411–423.CrossRefPubMed
8.
go back to reference Goldhirsch, A., Gelber, R. D., Simes, R. J., Glasziou, P., & Coates, A. S. (1989). Costs and benefits of adjuvant therapy in breast cancer: A quality-adjusted survival analysis. Journal of Clinical Oncology, 7, 36–44.CrossRefPubMed
9.
go back to reference Gelber, R. D., Cole, B. F., Gelber, S., & Goldhirsch, A. (1995). Comparing treatments using quality-adjusted survival: The Q-TWiST method. The American Statistician, 49, 161–169. CrossRef
10.
go back to reference Patil, S., Figlin, R. A., Hutson, T. E., Michaelson, M. D., Negrier, S., Kim, S. T., et al. (2012). Q-TWiST analysis to estimate overall benefit for patients with metastatic renal cell carcinoma treated in a phase III trial of sunitinib vs interferon-α. British Journal of Cancer, 106, 1587–1590. CrossRefPubMedPubMedCentral
11.
go back to reference Beaumont, J. L., Salsman, J. M., Diaz, J., Deen, K. C., McCann, L., Powles, T., et al. (2016). Quality-adjusted time without symptoms or toxicity analysis of pazopanib versus sunitinib in patients with renal cell carcinoma. Cancer, 122, 1108–1115.CrossRefPubMed
12.
go back to reference Irwin, J. O. (1949). The standard error of an estimate of expectation of life, with special reference to expectation of tumourless life in experiments with mice. The Journal of Hygiene, 47, 188. CrossRefPubMed
13.
go back to reference Pickard, A. S., Law, E. H., Jiang, R., Pullenayegum, E., Shaw, J. W., Xie, F., et al. (2019). United States valuation of EQ-5D-5L health States using an international protocol. Value in Health : The Journal of the International Society for Pharmacoeconomics and Outcomes Research, 22, 931–941. CrossRefPubMed
14.
go back to reference Solem, C. T., Kwon, Y., Shah, R. M., Aly, A., & Botteman, M. F. (2018). Systematic review and benchmarking of Quality-Adjusted time without symptoms or toxicity (Q-TWiST) in oncology. Expert Review of Pharmacoeconomics & Outcomes Research, 18, 245–253. CrossRef
15.
go back to reference Huang, M., O’Shaughnessy, J., Haiderali, A., Pan, W., Hu, P., Chaudhuri, M., et al. (2022). Q-TWiST analysis of pembrolizumab combined with chemotherapy as first-line treatment of metastatic triple-negative breast cancer that expresses PD-L1. European Journal of Cancer, 177, 45–52.CrossRefPubMed
16.
go back to reference Chau, I., Bridgewater, J. A., Wyrwicz, L., Greenwood, M., Blum, S. I., Moreno-Koehler, A. et al. (2024). A quality-adjusted time without symptoms and toxicity (Q-TWiST) analysis comparing nivolumab plus ipilimumab (N + I) or nivolumab plus chemotherapy (N + CT) versus CT in patients (pts) with advanced esophageal squamous cell carcinoma (ESCC): CheckMate 648. Journal of Clinical Oncology, 42(suppl 3), Abstract 251.
17.
go back to reference Sugarman, R., Botteman, M., Rusibamayila, N., Nguyen, H., & Lin, D. (2022). A quality-adjusted time without symptoms or toxicity (Q-TWiST) analysis of patients in checkmate 649: Nivolumab plus chemotherapy versus chemotherapy as first-line treatment for advanced gastric cancer/gastroesophageal junction cancer/esophageal adenocarcinoma (GC/GEJC/EAC). Journal of Clinical Oncology, 40(suppl 4), Abstract 273. CrossRef
18.
go back to reference Huang, M., Pietanza, M. C., Samkari, A., Pellissier, J., Burke, T., Chandwani, S., et al. (2019). Q-TWiST analysis to assess benefit-risk of pembrolizumab in patients with PD-L1-positive advanced or metastatic non-small cell lung cancer. Pharmacoeconomics, 37, 105–116.CrossRefPubMed