Ga naar de hoofdinhoud
Top

Acceptability, Practicality and Preliminary Indications of Efficacy of a Blended Individual Mindfulness Intervention for Patients with Persistent Depression

  • Open Access
  • 19-05-2025
  • ORIGINAL PAPER
Gepubliceerd in:

Abstract

Objectives

Mindfulness training has been shown to be helpful in the treatment of depression. However, standard mindfulness-based interventions (MBIs) are still not widely available and sustaining a mindfulness practice can be difficult for patients with current depression. Alternative delivery formats may serve to address these problems. This study tested the acceptability, practicality and preliminary efficacy of a blended individual mindfulness-based intervention that supports patients in their practice individually and beyond the duration of standard mindfulness-based interventions.

Method

Thirty-nine patients with persistent depression were entered into the study and supported to practice with either standard length practices (30 min once a day) or shorter, more frequent practices (15 min twice a day) over 12 weeks with minimal therapist support (6 sessions of 30 min duration). Symptoms were assessed at the beginning, and after each third of the intervention. Engagement in practice was monitored throughout and qualitative interviews were conducted post-intervention. Data from 24 service users who waited for depression treatment were collected for benchmarking purposes.

Results

Of those randomised, 24 (62%) completed the intervention. Completers engaged in an average of 89% of formal practices and showed reductions in symptoms of high effect size, ηp2 = 0.66, 90% CI [0.54, 0.73], with 75% of completers moving to symptoms levels below the clinical threshold. Thematic analysis of feedback from completers indicated high acceptability but highlighted the need for longer therapist sessions.

Conclusions

Blended individual mindfulness-based interventions have promise for supporting depressed patients to engage in mindfulness practice and reduce symptoms while aligning well with current trends in service delivery. However, adjustments to the current intervention in line with patient suggestions, including more time for individual therapist sessions to bring them closer to the standard length of psychotherapy sessions, are needed to reduce drop-out and underlying practicality problems.

Preregistration

This study was pre-registered on ClinicalTrials.gov (ClinicalTrials.gov ID: NCT04576741).

Supplementary Information

The online version contains supplementary material available at https://doi.org/10.1007/s12671-025-02598-5.

Publisher's Note

Springer Nature remains neutral with regard to jurisdictional claims in published maps and institutional affiliations.
Training in mindfulness was introduced to the psychological treatment of depression as a means of building skills that allow patients to recognise and decenter from maladaptive habitual patterns of thinking (Teasdale, 1999; Teasdale et al., 1995). In the wider format of Mindfulness-Based Cognitive Therapy, it now represents an established approach in the prevention of recurrent depression and there is increasing evidence for its use in patients with persistent forms of depression (Barnhofer et al., 2009; Chiesa et al., 2015; Cladder-Micus et al., 2018; Eisendrath et al., 2016; Michalak et al., 2015; Winnebeck et al., 2017. However, despite its proven efficacy, MBCT remains underutilised in public health frameworks both in the UK and globally. For example, Crane and Griffiths (2021) report only “a very mixed picture of service availability with a small number of well developed services” (p. 214) within the UK National Health Service Talking Therapies services (NHS TT) that provide evidence-based interventions in a timely manner to more than a million patients per year. Efforts to address these challenges have been ongoing for nearly a decade without significant improvement and despite efforts in strengthening the workforce of MBCT teachers, see for example the Mindful Nation UK report by the Mindfulness All-Party Group in 2015 (MAPPG, 2015). In order to overcome such limitations, it may be helpful to consider delivery formats that align more strongly with the existing health service culture and work force demands (Oman, 2025).
Blended individual mindfulness-based interventions might offer a promising option in this context. Blended interventions combine online components that include recorded or written information and guidance with regular individual therapist support that can be offered via videoconference (Erbe et al., 2017). In contrast to the standard group-based format of MBIs, individual therapist support can serve to offer a more personalised experience and may be easier to accommodate in service settings that use individual psychotherapy sessions as the dominant mode of delivery. Delivery of therapist sessions via videoconference is already common practice in NHS Talking Therapies services, although there is currently no blended digitally enabled MBI that is considered suitable for use in these services. Recent research in the USA has found that the use of a blended intervention with minimal individual therapist support (average of 2.34 hr) allowed reaching a large sample of patients with residual depressive symptoms and produced encouraging clinical results (Segal et al., 2020). Use of such alternative formats is consistent with current trends towards integrating digital interventions in traditional health care settings and their aim of increasing reach and flexibility. Meta-analytic research provides encouraging evidence for the use of these interventions (Nunes-Zlotkowski et al., 2024) and therapists’ appraisals of the general approach are positive (Schuster et al., 2020). Furthermore, supporting therapist sessions with online instructions and information promises to reduce burden on therapist time and has been found to be associated with lower drop-out rates (Erbe et al., 2017).
From a clinical perspective, such approaches may be particularly helpful in supporting patients with current depression given the increased risk of disengagement and need for greater individualised support in this group. A recent qualitative study of graduates from MBCT for relapse prevention indicated that a considerable number of patients felt that the duration of the standard intervention was too short to safely establish relevant skills and the end of the intervention was perceived as abrupt (Siwik et al., 2023). Blended interventions using individual therapist contact may have advantages in this regard as they allow more consistency and focus in addressing individual barriers to engagement while at the same time providing an economical way of supporting patients over more prolonged periods of time. Facilitating practice beyond the duration of standard interventions and allowing time for a more gradual conclusion may help to optimise outcomes particularly in patients with persistent forms of depression where reversal of vulnerabilities may require more sustained efforts. However, no research has yet investigated the use of a blended MBI to support practice over a sustained period of time in patients with persistent depression.
Here we report findings from a pre-post study intended to serve as a small-scale demonstration project for a blended individual mindfulness-based intervention (biMBI) for patients with persistent depression. In an initial step this intervention was designed to be of 12-week duration, going beyond the length of standard mindfulness-based interventions (MBIs) by 4 weeks to allow participants more time to establish and consolidate relevant skills. The intervention combined online elements with minimal individual therapist support via video link (and as such differs from approaches that use mindfulness-based interventions in an individual therapy format). Therapist sessions were restricted to 30 min as previous research had indicated good effects of minimal support in previous research in patients with residual depression (Segal et al., 2020).Contents of the course were introduced in videos and elaborated in written information grouped in 9 themed modules that were spread out over the 12 weeks with a longer interval towards the end (see Table 1 for the themes of the modules and the formal and informal practices associated with them). The themed sessions followed the general sequence of MBCT but introduced major themes in smaller, more incremental steps where possible and included an additional focus on self-compassion to counter high levels of self-criticism and shame that can be present in this group of patients (Zeeck et al., 2020). Participants were provided with guided exercises and meditations and instructed to journal about their experiences to prepare for therapist sessions which consisted of 30-min meetings scheduled every other week. Therapist sessions followed a structured format with a focus on facilitating practice and consolidating learning from practice: an agenda overview, recap of the main theme, guided practice, reflection, discussion of home practice challenges, and assignment of new exercises.
Table 1
Blended mindfulness intervention: session themes, formal and informal practices
Session theme and week
Formal practice
Informal practice
Introduction, background and rationale “Why Depression Tends to Spiral and How Mindfulness Can Help”, and preparation for the course “Getting the Most Out of this Course”
(Week 1)
  
Session 1
“Bringing Awareness to Life” (Week 2, 1st therapist session)
• Body scan
• Mindfulness of a routine activity
• Noticing
Session 2
“Becoming Aware of the Wandering Mind” (Week 3)
• Body scan alternating with
• Body and breath meditation
• Noticing
• Becoming aware of a pleasant event
Session 3
“Coming Home to Presence” (Week 4, 2nd therapist session)
• Stretch and breath alternating with
• Breath and body meditation
• Mindful Pausing
• Noticing
• Becoming aware of an unpleasant event
Session 4
“Moving Closer – Being Aware of Subtle Feeling States” (Week 5)
• Sitting meditation alternating with
• Mental noting
• Mindful pausing
• Mindful pausing in daily life
• Noticing
Session 5
“Bringing Acceptance to What is Difficult” (Week 6, 3rd therapist session)
• Sitting with the difficult meditation
• Mindful pausing
• Mindful pausing in daily life
• Noticing
Session 6
“Finding a Different Relation to Thoughts”
(Week 7)
• Observing difficult thoughts
• Mindful pausing
• Mindful pausing in daily life
• Noticing
Session 7
“Cultivation Compassion for Ourselves and Others” (Week 8, 4th therapist session)
• Meditation on self-compassion
• Kindness for ourselves and others while walking
• Mindful pausing
• Mindful pausing in daily life
• Noticing
Session 8
“Taking Care of Ourselves” (Week 9)
• Choiceless awareness
• Reflecting on activities
• Mindful pausing
• Mindful pausing in daily life
• Noticing
• Values
Session 9
“Engaging in Life Mindfully” (Week 10, 5th therapist session)
• Taking responsibility for your own practice
• Taking responsibility for your own practice
Session 10
Finish and review (Week 12, 6th therapist session)
  
As part of a more individualised approach, blended individual MBIs potentially allow adapting practice regimes more flexibly to the needs of the patient. However, there is currently no reliable information to guide decisions on how best to support the building of core skills like mindfulness and the ability to decentre, that is to step outside of one’s immediate experience, although preliminary evidence suggests that varying practice structures can lead to different outcomes. For example, Cearns and Clark (2023) highlighted that while longer sessions improved mood and resilience, practice consistency was a stronger predictor of long-term adherence and effectiveness. As a step towards exploring different regimes, we allocated participants to practice either with formal practices that were comparable to the standard length of practices in MBCT (LongPrac) or to engage in a regime of shorter, but more frequent formal practices (ShortPrac), thus allowing exploration of differences in emphasis on length and frequency while keeping overall practice length constant. The study was integrated into the stepped care approach of an NHS TT (formerly Increasing Access to Psychological Therapies, IAPT) service, where we recruited patients who had recently entered a wait list for counselling but were facing a wait period of several months.
The feasibility objectives of our study were to assess the acceptability and practicality of a biMBI for patients with acute and persistent depression and to derive preliminary estimates of its efficacy in reducing symptoms and increasing relevant psychological skills. In line with the feasibility framework suggested by Bowen et al. (2009), we used qualitative interviews to assess satisfaction with the intervention as an indicator of acceptability, attrition, adherence to the intervention and practices, that is patient’s ability to carry out the intervention activities, as indicators of practicality, and computed effect sizes of changes as indicators of preliminary efficacy. More specifically with regard to this latter objective, we investigated changes in symptoms, stress, quality of life, mindfulness and decentering within participants, from the beginning to the end of the intervention. To aid interpretation of observed changes, we also collected depression scores from a sample of patients who had opted not to take part and simply continued to wait for counselling for use as a benchmark.

Method

Participants

Patients who had entered the Improving Access to Psychological Therapies (IAPT; now NHS Talking Therapies, NHS TT) service of the Surrey and Borders Partnership (SABP) NHS Foundation Trust (Mind Matters Surrey NHS) for treatment of depression through self-referral or via referral from a healthcare professional were informed about the study in a seminar that was held shortly after their enrolment at the service and at the beginning of a waiting period before the start of their counselling sessions (see the “Procedure” section for more details). NHS TT services offer evidence-based psychological therapies to patients suffering from anxiety or depression. Eligibility was assessed using the Series of Assessments to Guide Evaluation: Self-Report (SAGE-SR, Brodey et al., 2018) and self-report questionnaires, which potential participants completed online following receipt of an email with a link to the secure platform. After completing the SAGE-SR, participants attended a videoconference interview to clarify any uncertainties, ask questions, and ensure they fully understood the study requirements. This multistage eligibility process ensured that assessments on validated self-report instruments were followed up by gathering further information for clinical judgment where necessary. Eligibility assessments and interviews were conducted by JH, who consulted a trained clinical psychologist, TB, for final decisions.
Inclusion criteria were (a) a current diagnosis of Major Depression as assessed by SAGE-SR; (b) a chronic or recurrent lifetime history of depression, with either chronic persistence of symptoms or a history of at least three previous episodes of depression, two of which needed to have occurred during the last 2 years, as assessed by interview questions additional to the SAGE-SR; (c) self-reported severity of current symptoms on a clinical level as indicated by a Patient Health Questionnaire 9 (PHQ-9, Kroenke et al., 2001) score of 10 or more; (d) age between 18 and 65 years thus excluding cases of late-life depression given that such cases might differ in aetiology (Korten et al., 2012); (e) fluency in spoken and written English; and (f) having individual access to a computer or mobile device with internet connection and video link to assure that people were able to take part in the blended intervention.
Exclusion criteria were (a) a history of schizophrenia, schizoaffective disorder, bipolar disorder, current abuse of alcohol or other substances, organic mental disorder, pervasive developmental delay, primary diagnosis of obsessive–compulsive disorder or eating disorder, or regular non-suicidal self-injury; (b) current treatment with CBT more than once a month; (c) an already existing regular meditation practice (meditating more than once per week); and (d) inability to complete research assessments because of visual impairment or cognitive difficulties. Patients who were currently taking antidepressant medication were allowed into the study provided that the medication had not been changed during the last 4 weeks before entry into the study.

Procedure

Design

The study used a single group design with assessment of primary (symptoms) and secondary (relevant psychological skills) outcomes at four timepoints: beginning (T0, Week 0), after the first third (T1, Week 5), after the second third (T2, Week 9) and after the end of the intervention (T3, Week 12, end of intervention). To allow exploration of effects of different practice regimes, participants were randomly allocated to LongPrac or ShortPrac based on a computer-generated sequence. Blinding was not feasible but integrity of the randomisation process was maintained by strictly adhering to the pre-generated sequence without modifications and by limiting access to the allocation list until assignment was needed. Engagement in practice was monitored throughout and participants took part in a qualitative interview about their experience after the end of the intervention.

Recruitment

Patients were informed about the study in brief presentations offered after the end of seminars that the service routinely offered to prepare patients allocated to counselling for the waiting period until the start of their sessions, which patients had been informed was estimated to last between 6 and 12 weeks. Those who indicated an interest in taking part in the study after the presentation were invited for an initial telephone screening following their verbal consent in which they were informed about exclusion criteria and asked to indicate whether any of the exclusions were likely to apply to them. Patients who screened positively were then electronically sent the study information sheet and, after they had given their written informed consent for taking part in the study, were asked to complete the SAGE-SR, administered through a dedicated online platform, and the Patient Health Questionnaire-9 (PHQ-9), administered (as all other study questionnaires) through the Qualtrics XM online platform. To address any ambiguities from the self-assessments and prepare eligible patients for participation in the study, the self-assessments were followed up with a personal interview via videoconference.
A computer-generated sequence was used to allocate eligible participants to LongPrac (30 min/day) or ShortPrac (2 times 15 min/day) at a ratio of 1:1. Before the start of the intervention, participants completed the remaining self-report questionnaires for the baseline assessment (T0). They were then sent a link to the online mindfulness course and their therapist provided them with a video link for the recurrent therapist sessions. Practice during the course was tracked with a short online homework form, which participants completed for each day. They were asked to fill in the self-report questionnaires again at T1, T2 and T3. Following the final questionnaire assessment, participants were invited to take part in a post-intervention interview. Recruitment commenced in March 2021, and data was collected from March 2021 to June 2022.
Benchmark data were drawn from service records of patients who had entered the same counselling pathway with a problem descriptor of depression during the time of study recruitment. These patients had decided against participation in the study intervention but had provided informed consent for the use of their service data.

Intervention

The biMBI was 12 weeks in duration and included 6 biweekly 30-min individual therapist support sessions via video link. The online components of the intervention consisted of brief videos and written instructions alongside audio recordings of guided practices. The brief videos served to provide information on the themes of the sessions while written instructions elaborated on themes introduced in the videos and encouraged reflection to facilitate learning. For each session the intervention also provided specific suggestions about aspects to consider when journaling about experiences with current practice. Materials were accessible via computer or mobile device through an online platform and via an app. The course consisted of 9 themed sessions plus an introduction that provided participants with a detailed treatment rationale. The introduction and sessions 1 to 8 lasted for a week, while session 9 was extended to 2 weeks. A final review meeting ended the course.
Content focussed on building general capacities for attention and bodily awareness during the first half of the intervention and on supporting patients in using these capacities to work with difficult thoughts and emotions during the second half, including bringing acceptance and a decentered stance to their observation. Building on our previous research that used a shorter individual mindfulness intervention for acutely depressed patients (Winnebeck et al., 2017), the sequence was designed to guide participants in small incremental steps, for example by moving from body scan to body and breath meditation using the familiarity with focussing on the body as an entry point for focussed attention meditation. It included a particular focus on becoming aware of subtle feeling states and the practice of choiceless awareness. In order to provide patients with additional tools for working with shame and self-criticism the intervention extended guidance on how to work mindfully with difficult emotions to include an explicit focus on self-compassion. The final stage of the course had a particular emphasis on clarifying values and prepared participants to continue their practice on their own after the end of the course.
Each online session of the programme started with an introductory video to introduce the main theme of the session. This was then elaborated in written information and psychoeducational exercises. Participants were then invited to engage in the main meditation practice of the session using audio guidance and were given written guidance to reflect on the practice. Each session contained a detailed practice description for the time until the next session and participants were invited to journal about their experience. The video instructions and guided meditations were presented by a professional actress who is also a trained yoga and meditation teacher. All materials were accessible within the app and downloadable. A detailed overview of the different components for each session is available in the supplementary materials.
The individual therapist sessions were 30 min in duration and began with a brief overview of the agenda for the session followed by a recapitulation of the main theme. The therapist then led the main practice of the session and invited reflection in an enquiry. Following the enquiry, experiences with home practice over the past interval were discussed with a particular view to addressing barriers to engagement, before the session was finished with a discussion of the home practice for the next 2 weeks. Table 1 provides an overview of the session themes and the formal as well as informal practices for each session.
Throughout the intervention the importance of experiential learning was stressed. The main function of the therapist was described as supporting participants in their engagement in, and learning from, their formal and informal practice. Tracking of daily practice was intended to increase accountability and facilitate reflection on barriers to engagement during the therapist sessions. All therapy sessions were delivered by a trained cognitive behavioural therapist (KB) with basic formal training in MBIs under supervision of an experienced mindfulness teacher (TB).

Measures

Acceptability was assessed in a qualitative post-intervention interview in which participants were asked about overall satisfaction with the programme and practices, their experience and utilisation of mindfulness skills, and their views on potential barriers and facilitators to engagement. Qualitative assessments were based on a semi-structured topic guide and lasted about 30 min. The interviews were transcribed and subjected to thematic analysis using a framework approach. Attrition was recorded in a study flow chart, practicality as reflected in session attendance and engagement in the intervention was assessed using attendance and daily home practice records. Following established practice in mindfulness research, we computed percentage of practice adherence separately for formal and informal practices. Preliminary testing of efficacy focussed on changes in symptoms (primary outcomes) and relevant psychological skills (secondary outcomes) as assessed with the questionnaires described in detail below.
Patient Health Questionnaire-9 (PHQ-9)
The PHQ-9 (Kroenke et al., 2001) assesses the presence and severity of depression according to DSM-IV criteria. It consists of 9 items and asks about patients’ experiences in the last 2 weeks. Presence and severity of depression are scored as follows: 0–4 = minimal, 5–9 = mild, 10–14 = moderate, 15–19 moderately severe, 20–27 = severe, with a score of 9 or more considered to be an indicator of caseness for depression. The PHQ-9 showed moderate internal consistency at baseline, Cronbach’s alpha = 0.62.
Generalised Anxiety Disorder 7 (GAD-7)
The GAD-7 (Spitzer et al., 2006) assesses the presence and severity of generalised anxiety. It consists of 7 items and asks about patients’ experiences in the last 2 weeks in relation to anxiety. Presence and severity of anxiety is scored as follows: 0–5 = mild, 6–10 = moderate, 11–15 = moderately severe, 15–21 severe, with a score of 7 or more considered to be an indicator of a treatment appropriate case of Generalised Anxiety Disorder. The GAD-7 showed moderate internal consistency at baseline, Cronbach’s α = 0.69.
In addition to continuous scores on these two questionnaires we computed binary outcomes in line with NHS Talking Therapies conventions, including indicators for moving to recovery (scoring below the threshold for caseness), reliable improvement (showing improvement that exceeds the measurement error of the questionnaire) and reliable recovery (scoring below the threshold for caseness and having shown improvement that exceeds the measurement error of the questionnaire) based on the PHQ-9 and the combination of PHQ-9 and GAD-7. We also computed counts of patients who showed reliable deterioration based separately on the PHQ-9 and GAD-7 (showing deteriorations that exceeded the measurement error of the questionnaire). In line with NHS Talking Therapies practice, we assumed a measurement error of 6 for the PHQ-9 and of 4 for the GAD-7.
Perceived Stress Scale (PSS)
The PSS (Cohen et al., 1983) measures the perception of stress and the degree to which situations in one’s life are appraised as stressful. The 10 items of the questionnaire ask about patients’ experiences of stress in the last month to assess how unpredictable, uncontrollable, and overloaded respondents find their lives. The PSS showed good internal consistency at baseline, Cronbach’s α = 0.81.
Warwick-Edinburgh Mental Wellbeing Scale
The WEMWBS (Tennant et al., 2007) measures mental wellbeing. The 14 items of the questionnaire ask about the feeling (e.g. “I have been feeling cheerful”) and functioning (e.g. “I have been feeling useful”) aspect of mental wellbeing. The WEMWBS showed good internal consistency at baseline, Cronbach’s α = 0.76.
Experiences Questionnaire (EQ)
The EQ (Fresco et al., 2007) measures decentering, defined as “the ability to observe one’s thoughts and feelings as temporary, objective events in the mind” (Fresco et al., 2007). In addition to the decentering scale (14 items), the EQ also includes a rumination scale (6 items). The two subscales showed moderate internal consistency at baseline, Cronbach’s α = 0.69 for decentering and α = 0.72 for rumination.
Five Facet Mindfulness Questionnaire (FFMQ-15)
The FFMQ-15 (Baer et al., 2008) is a shorter version of the original FFMQ consisting of 15 items which assess levels of mindfulness in daily life across five facets: observing, describing, acting with awareness, non-judging and nonreactivity. The FFMQ-15 total score showed good internal consistency at baseline, Cronbach’s α = 0.80.

Qualitative Interview

The semi-structured post-intervention interview followed a schedule with several questions each to assess participants’ views on (1) intervention and practices, (2) the utilisation of mindfulness skills, and (3) barriers and facilitators to engagement. Each topic included a series of open-ended questions, with follow-up prompts as needed (for the interview schedule see online supplementary materials). The interviews were conducted by JH via videoconference and lasted for about 30 min. All interviews were de-identified and transcribed, and checked for accuracy. All transcripts were then uploaded to “Delve” (Twenty to Nine LLC, 2023) coding software. Responses were grouped by questions to facilitate thematic analysis (Green et al., 2007). Initial codes were generated through a systematic review of the data, followed by the development of themes and sub-themes. The interviews and thematic analysis were conducted by JH, with themes and sub-themes reviewed and discussed with the research team.

Assessment of Participant Engagement

Participants downloaded a homework sheet for each session from the online intervention platform, which was submitted via email at the end of the session interval. Attendance at therapist sessions was recorded by the therapist.

Data Analyses

In order to determine feasibility of implementation we derived indicators of uptake (defined as the proportion of those who started the intervention from those who were found to be eligible) and retention (defined as proportion of those who completed the intervention from those who started the intervention) from the numbers representing the flow of participants through the study as documented in the CONSORT chart. A multiple logistic regression analysis was conducted to explore whether any of our baseline variables predicted drop-out from the intervention. Acceptability was determined based on the overall themes identified from the qualitative post-intervention interview as well as on adherence to formal and informal home practice reflected in the percentages of formal and informal practice prescribed by the programme that patients actually engaged in. We also investigated the relation between practice adherence and change in symptoms over the intervention period using correlational analysis. Indicators of feasibility and acceptability were investigated across the whole intervention group and separately for the groups who had engaged in LongPrac and ShortPrac.
Repeated measures ANOVAs with time as within-subjects factor and meditation condition as between-subjects factor served to derive mean differences (and 95% confidence intervals) to estimate effect sizes for changes within the whole intervention group and between the groups of participants who had engaged in LongPrac or ShortPrac. Effect sizes were calculated following suggestions, and using spreadsheets, provided by Lakens (2013). We report generalised η2, in addition to the more commonly provided partial η2, as it offers an estimate that is more comparable across within- and between-subject designs (Lakens, 2013; Preacher & Kelley, 2011). In order to offer a more intuitively understandable indication of effect size, we also computed the common language effect size (Grissom & Kim, 2014; McGraw & Wong, 1992). In within-subjects designs, the common language effect size reflects the probability that an individual has a higher score at one assessment point than the other (Lakens, 2013), in between-subjects designs it reflects the probability that a randomly sampled participant from one group has a higher value than a randomly sampled participant from the other. Effect sizes were calculated based on observed data in completers only in the first instance providing an estimate of potential under ideal conditions. We also computed effect sizes for the main clinical outcomes based on last observation carried forward, thus contrasting the completer estimates with a highly conservative approach to provide an indication of the potential range of treatment effects.

Results

The flow of participants through the study is depicted in Fig. 1 (CONSORT flow chart). Of the 96 participants assessed for eligibility, 57 (59%) were excluded or unavailable for further steps leaving a sample of 39 participants to be randomised. Of those excluded or unavailable despite having met criteria, 11 had declined to participate following the assessment or did not respond to invitations to engage in the next steps of the study and 17 listed other reasons (for a detailed list of the reasons for exclusions see Fig. 1). Of the 39 participants who took up the intervention (uptake rate of 58%, 39 out of 67 eligible patients), 18 were allocated to the condition with StandPrac and 21 to ShortPrac.
Fig. 1
Flow of participants (CONSORT)
Afbeelding vergroten

Practicality

Across the two conditions, 15 participants dropped out before the final session of the intervention, indicating a retention rate of 62%. The main reasons given for disengaging were insufficient time to practice or experiencing the intervention as too demanding (n = 7, 46% of drop-outs) and loss of motivation (n = 5, 33% of drop-outs) while n = 1 participant (6%) listed personal reasons and n = 2 participants (12%) gave no reason for dropping out. Comparisons between the two meditation condition groups suggested no obvious differences in reasons for disengagement between the groups. A total of 24 participants (20 females, 83%; age range 24–62, M = 41.60, SD = 13.30) completed the intervention, 12 of whom had practised with StandPrac (10 females, 83%; age range 24–60, M = 40.5, SD = 12.80) and 12 with ShortPrac (10 females, 83%; age range 24–62, M = 42.70, SD = 14.30). A multiple logistic regression analysis investigating potential baseline predictors of later disengagement from the intervention showed no significant relation of baseline PHQ-9 scores, baseline GAD-7 scores, baseline PSS scores, gender and age with whether randomised participants completed the intervention or dropped out (all single predictors α > 0.10, percentage correctly classified by whole model: 65.80).
The average number of therapy sessions attended in the whole group of randomised participants was 4.51 (SD = 1.80) out of a total of 6. Participation rates for the 39 randomised participants in therapist Sessions 1 (Week 2), 2 (Week 4), 3 (Week 6), 4 (Week 8), 5 (Week 10), and 6 (Week 12) were 100%, 94.90%, 69.20%, 61.50%, 59%, and 61.50%, respectively. Those who completed the intervention attended an average of 5.79 therapy sessions (SD = 0.41). Practice logs provided by completers showed an 89% rate of adherence to formal practice (StandPrac: 88%, ShortPrac: 90%), indicating that completers across the two meditation conditions spent an average of M = 34.20, SD = 5.20 h with formal practice across the 3 months of the intervention. The rate of adherence to informal practice in the group of completers was 78% (standard meditation: 74%, shorter, more frequent practices: 82%). Adherence to practice (formal, informal, and overall) was not associated with change in PHQ-9 scores over the intervention period (all p > 0.60).

Acceptability

Thematic analysis of qualitative interviews (n = 24) identified three overarching themes: experience of the intervention and practices, utilisation of mindfulness skills, and participants’ views on barriers and facilitators to engagement. With regard to the experience of the intervention and the practices, the most common responses when asked about the overall experience were that it had been positive, ranging from slightly positive to “life changing”, and that interviewees had benefited from participating, for example: “My overall experience is that it’s been very helpful for me, for me and my situation”, and “I can see the benefits of mindfulness greatly”.
The feedback about the guided meditations and informal practices was generally good, although some participants highlighted difficulties with adhering to practice (see further below). Practice preferences in terms of length, type were varied preferences. The therapist sessions were described as positive throughout and highlighted the experience of a mindful therapist stance, for example: “Very good, she [the therapist] transmits so much peace and calm and understanding”.
With regard to the utilisation of mindfulness skills, the participants generally indicated they had been able to apply the skills they had learned to their daily life, for example: “It has really permeated throughout my life, and I’ve become a lot more aware of my body” or “Usually when I’m stressed, a brick wall comes up, but now I recognise that I’m stressed and focus on my breathing”.
Regarding barriers and facilitators of engagement in practice, the main barrier to engagement participants identified was time constraints, with several finding it difficult to fit mindfulness practice into their schedules. One participant shared, “Some days I could manage, but others it felt almost impossible to find the time”. Other barriers identified by several participants were “life getting in the way”, difficulties establishing a routine for practice, particularly when facing stressors, and interruptions in life routines such as being away from home. The main facilitator to engagement participants identified was therapist support. One participant explained, “The therapist sessions really kept me motivated and engaged”. Other facilitators identified by several participants were being part of the study, working from home and having supportive friends and family. When asked if there are any ways the intervention could be improved, several participants indicated the therapist sessions should be longer, with one stating “I would have liked the therapist sessions to be a bit longer because they were so beneficial”. Several suggested having fewer tasks (“Some weeks we had too many tasks, making it hard to keep up”) and some suggested technical improvements (“The app could be more user-friendly”).

Preliminary Tests of Efficacy

Within-Group Changes and Comparison Between Participants Practising with Standard Length and Shorter, More Frequent Meditations

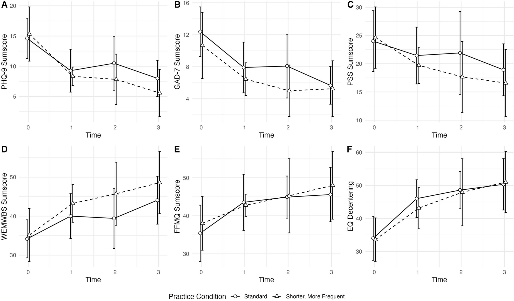
Changes in symptom, stress, wellbeing and skills scores across the four assessment points in participants who completed the intervention using LongPrac or ShortPrac are depicted in Fig. 2. Mean scores showed consistent and statistically significant trends (main effects) for reductions in symptoms (PHQ-9, F(3, 20) = 42.62, p = 0.000, and GAD-7, F(3, 20) = 23.57, p = 0.000) and stress levels (PSS, F(3, 20) = 14.54, p = 0.000) and increases in quality of life (WEMWBS, F(3, 20) = 47.38, p = 0.000) as well as in mindfulness (FFMQ, F(3, 20) = 9.80, p = 0.000) and decentering skills (EQ decentering, F(3, 20) = 29.18, p = 0.000) over time and across the two meditation conditions with visual inspection hinting at a slight worsening of symptoms during the second third of the intervention, between assessments at T1 and T2, in the StandPrac group. Effect sizes for within-group changes ranged from ηG2 = 0.23 to 0.54 and ηp2 = 0.38 to 0.66, while sizes of between group and interaction effects were all close to zero (Table 2). The common language effect size indicated a 95.70% probability for a participant who completed the intervention to have a lower PHQ-9 score than at the beginning of the intervention. Effect sizes for changes in PHQ-9 and GAD-7 based on the entire group of randomised participants carrying forward the last score provided by participants who had dropped out were ηG2 = 0.15 and ηp2 = 0.37 for changes in PHQ-9 and ηG2 = 0.07 and ηp2 = 0.32 for changes in GAD-7. Computation of binary outcomes based on the PHQ-9 showed that 75% of completers had moved to recovery, 91% had shown reliable improvement, and 75% had met criteria for reliable recovery (based on the combination of depression and anxiety scores, see Table 3).
Fig. 2
Symptom, stress, wellbeing and skills scores across four assessment points in patients who practised with standard (n = 12) or shorter, more frequent meditations (n = 12)
Afbeelding vergroten
Table 2
Means and standard deviations of symptom, stress and wellbeing scores across the four assessment points in participants who completed the mindfulness intervention engaging in standard length meditations (n = 12) and shorter, more frequent meditations (n = 12) with between and within group effect sizes
 
Standard length meditations
Shorter, more frequent meditations
Within-group effect
Interaction effect
Between-group effect
T0
T1
T2
T3
T0
T1
T2
T3
Measure
M (SD)
M (SD)
M (SD)
M (SD)
M (SD)
M (SD)
M (SD)
M (SD)
ηp2
[90% CI]
ηG2
ηp2
[90% CI]
ηG2
ηp2
[90% CI]
ηG2
PHQ-9
16.00 (2.60)
9.20 (3.70)
11.10 (3.90)
8.40 (2.60)
17.20 (3.70)
8.30 (1.80)
7.60 (3.30)
4.50 (2.70)
0.66
[0.54–0.73]
0.54
0.08
[0–0.15]
0.03
0.07
[0–0.28]
0.04
GAD-7
12.60 (3.00)
7.90 (3.30)
8.40 (3.90)
6.00 (3.60)
10.70 (4.30)
6.50 (2.40)
5.20 (3.30)
4.50 (1.80)
0.54
[0.41–0.64]
0.35
0.04
[0–0.11]
0.02
0.11
[0–0.32]
0.06
PSS
24.10 (5.60)
21.40 (5.20)
22.30 (7.50)
19.00 (4.70)
25.30 (2.30)
19.50 (3.70)
17.80 (4.70)
16.50 (5.50)
0.38
[0.21–0.48]
0.17
0.08
[0–0.17]
0.03
0.04
[0–0.22]
0.03
WEMWBS
34.00 (5.00)
40.00 (6.00)
39.10 (8.00)
43.10 (5.50)
34.20 (7.20)
44.30 (5.10)
44.80 (6.90)
49.20 (8.40)
0.55
[0.39–0.63]
0.30
0.06
[0–0.13]
0.02
0.13
[0–0.34]
0.09
FFMQ
35.40 (7.70)
43.50 (7.70)
45.20 (5.60)
45.80 (7.40)
37.50 (6.40)
42.70 (3.40)
45.60 (6.00)
48.60 (6.40)
0.43
[0.26–0.53]
0.23
0.02
[NA]
0.01
0.01
[0–0.15]
0.00
EQ Decentering
33.90 (6.90)
46.00 (5.90)
48.70 (5.90)
50.80 (7.90)
32.20 (6.50)
42.80 (7.30)
48.10 (7.00)
51.20 (7.70)
0.64
[0.51–0.71]
0.45
0.02
[0–.06]
0.00
0.00
[0–0.13]
0.00
Table 3
Binary outcomes in subgroups (standard practice versus shorter, more frequent practice) and across the whole group of completers (n = 24)
 
Binary outcome
Standard practice
Shorter, more frequent practice
Whole group
PHQ-9
Moving to recovery: Yes (%)
9 (75)
10 (83)
19 (79)
Reliable improvement: Yes (%)
9 (75)
11 (91)
20 (83)
Reliable recovery: Yes (%)
8 (66)
10 (83)
18 (75)
Reliable deterioration: Yes (%)
0 (0)
0 (0)
0 (0)
GAD-7
In/moving to recovery: Yes (%)
11 (91)
11 (91)
22 (91)
Reliable improvement: Yes (%)
10 (83)
9 (75)
19 (79)
Reliable recovery: Yes (%)
9 (75)
9 (75)
18 (75)
Reliable deterioration: Yes (%)
0 (0)
0 (0)
0 (0)
PHQ-9/GAD-7
Moving to recovery: Yes (%)
8 (66)
10 (83)
18 (75)
Reliable improvement: Yes (%)
11 (91)
11 (91)
22 (91)
Reliable recovery: Yes (%)
8 (66)
10 (83)
18 (75)
Reliable deterioration: Yes (%)
0 (0)
0 (0)
0 (0)

Comparisons Between Completers and Patients Who Waited for Counselling

Comparison data on the PHQ-9 from 24 patients (17 females, 71%; age range 21–65, M = 44.70, SD = 12.60) who had waited for counselling for a mean of 11.80 weeks (SD = 1.20, min = 10, max = 14) provided a benchmark for comparison. Mean PHQ-9 scores in this group had decreased from M = 17.21 (SD = 3.64) at the beginning to M = 13.54 (SD = 5.80) at the end of the wait period, reflecting within group changes of ηG2 = 0.12/ηp2 = 0.30. Figure 3 shows this change compared to the change seen in treatment completers. Effect sizes for the interaction effects reflecting the difference in change in completers and controls were ηG2 = 0.06/ηp2 = 0.16. A formal test of the interaction showed that this effect was statistically significant, F(1, 46) = 8.92, p = 0.005. The common language effect size of differences at the end of the treatment or wait period indicated a probability of 83% for a completer to have a lower PHQ-9 score at the end of the treatment period than a patient who had chosen to wait for counselling.
Fig. 3
Depressive symptoms (PHQ-9) at the beginning and end of treatment/wait period in patients who completed the intervention (n = 24) and patients who waited for counselling (n = 24)
Afbeelding vergroten
We used qualitative interviews to assess satisfaction with the intervention as an indicator of acceptability. Attrition, adherence to the intervention and practices, that is patient’s ability to carry out the intervention activities, as indicators of practicality, and computed effect sizes of changes as indicators of preliminary efficacy.

Discussion

Our findings provide qualified support for the feasibility of a biMBI in the treatment of acutely depressed patients who suffer from a persistent course with encouraging findings regarding acceptability, as reflected in satisfaction with the intervention reported in a qualitative interview, practicality, as assessed by adherence to practice and intervention, and preliminary indications of efficacy, as assessed by effect sizes of changes in symptoms, functioning and well-being, in those who completed the intervention. Most of the completers described their experience with the intervention as engaging and beneficial. Therapist support was particularly valued, reinforcing evidence that individualised guidance enhances engagement in digital interventions (Paxling et al., 2013). However, we also observed a high rate of attrition with only 64% of those who started the intervention continuing over the full duration of the 12 weeks. This rate is higher than the drop-out rate of 18.5% reported for blended interventions for depression (Nunes-Zlotkowski et al., 2024) and the 20% average reported for MBIs (Lam et al., 2022), but exceeds the retention rate reported for NHS Talking Therapies, where according to the most recent NHS Talking Therapies report available at the time of writing only 55% of referrals accessing the service completed a course of treatment (NHS Digital, 2023).
Most of the participants who chose not to continue participation in the intervention for reasons other than changes in personal circumstances indicated that they had struggled with having insufficient time to practice (time constraints), experienced the intervention as too demanding or simply reported a loss of motivation. This aligns with prior research indicating that time demands and symptom-related disengagement are common barriers in mindfulness interventions (Carmody & Baer, 2007; Crane & Williams, 2010, Marks et al., 2022). All of these barriers to engagement would have been intended to be the subject of intervention during the brief therapist sessions. The fact that it did not seem possible to resolve difficulties in these cases is consistent with the wider feedback participants provided on the sessions, which were described as important for supporting continued engagement while at the same time being perceived as too short for detailed discussion and problem solving. While previous research has suggested good effects of individual mindfulness-based interventions using minimal therapist sessions in patients with mild depression (Strauss et al., 2023), these observations suggest that in the context of treating persistent depression therapist sessions need to be more extensive. For example, while low-intensity interventions in the UK NHS Talking Therapies services often use sessions of 30 to 40 min duration, high-intensity treatment typically involves sessions of 50 min duration. Given that patients in our study were waiting for a high-intensity treatment in the service, it would seem sensible for further studies to increase the time for therapist sessions to 50 min. In a follow-up study to the current research, we investigated the use of the blended intervention in patients with persistent depression over a period of 6 months and observed a rate of dropout of 30% over this longer intervention period using a therapist session length of 45 min (Hamilton & Barnhofer, 2024). Furthermore, participants suggested reducing the number of assigned tasks to prevent overload, which is in line with previous research that has indicated that overly demanding interventions can act as a barrier to sustained engagement (Marks et al., 2022). Additionally, technical improvements to the online platform were recommended to enhance usability and engagement. Addressing these concerns may help to build a viable and scalable intervention for services like NHS Talking Therapies, providing opportunities to optimise accessibility, engagement, and effectiveness in future iterations.
Patients who discontinued participation in the intervention did not seem to differ significantly from those who completed the intervention in terms of baseline sociodemographic or clinical characteristics including their severity of depression at intake suggesting, that reasons for discontinuation are more complex than severity of symptoms or other easily accessible characteristics of patients, which is in line with previous findings from research on MBIs in acutely depressed patients (Avest et al., 2019). While the reasons for discontinuation discussed by non-completers resonate with concerns about whether an MBI that emphasises the importance of regular practice may be at risk of being too demanding for patients with acute depression, it was encouraging to see that those who completed the intervention described their experience in highly positive terms. Completers highlighted the helpfulness of the individual therapist sessions and consistently reported that they had been able to apply the skills learned in daily life. In line with patients’ positive reports of their experience with the therapist sessions, attendance at these sessions was high. Furthermore, adherence to practice in the group of completers was strong and at a level that is above what is commonly reported for standard MBIs. Completers engaged in 89% of formal practices, which compares well to the 64% of practice completion reported as average for MBIs in a meta-analysis of 43 studies (Parsons et al., 2017), and indicates that for the majority of participants the blended format served well to support continued practice. From a clinical perspective, practice engagement is considered as key to intervention success and research on MBIs tends to show small but significant correlations between practice adherence and symptom improvement (Parsons et al., 2017). The fact that we did not find such correlations in our study may be because engagement was at ceiling level and variation therefore restricted.
Our checks for efficacy signals indicated that the intervention has potential to reduce symptoms of depression and anxiety, reduce stress, and increase general mental wellbeing. As expected, completers reported sizeable increases in their mindfulness and decentering skills. Within the group of completers, the effect size for change in depression, our primary outcome, was at a moderate to high level and small effects were still visible when non-completers were included by carrying forward their last available values, which provides an estimate of effects under worst possible conditions. This finding suggests potential to reach moderate to high levels of efficacy in line with the evidence for established blended interventions for depression more widely (Nunes-Zlotkowski et al., 2024). While the study did not include a formal control group, we were able to access service data for a random group of depressed patients allocated to the counselling pathway of the mental health service to benchmark depression scores at the end of the biMBI against scores from those who had chosen to wait rather than participate in our study. The fact that the effects observed in treatment completers were stronger than those in these patients provide a degree of reassurance that effects are not attributable to unspecific factors such as the occurrence of spontaneous remissions.
Using the binary outcome indicators routinely applied within NHS Talking Therapies services, we found that 75% of completers met criteria for reliable recovery (based on the combination of depression and anxiety scores) while conservatively estimating this outcome with all patients who had entered the intervention in the denominator still yielded a rate of 46%. This seems encouraging given that our sample was recruited to show many characteristics of difficult-to-treat depression. There were no reliable deteriorations and no adverse events, which provides reassurance with regard to the safety of the intervention and is consistent with the wider literature on blended interventions (Ebert et al., 2016) and MBIs more specifically (Baer et al., 2019).
While discontinuation or disengagement represents a complex problem for all psychological therapies particularly in early stages, in the current case challenges seemed to have expressed themselves most prominently in the context of practice adherence and accumulated over time. We had varied practice length in our study with the intention of exploring whether there might be any early indications of differences in effects and acceptability related to different length practices given recent arguments for altering demands of practice. The fact that there was little evidence to suggest advantages of one regime over the other is in line with findings from a recent preliminary study by Fincham et al. (2023). Preferences expressed for LongPrac or ShortPrac seemed to vary in our qualitative interviews. Given the current lack of evidence for or against particular formats, it might be best to provide patients with the option of making their own decisions about practice length and frequency, based on their individual circumstances and preferences (while making sure that the total amount of practice remains within the range of established standard mindfulness-based interventions).
Based on the current findings, it will be important to address reasons for discontinuation. Suggestions arising from the patient experience include (1) to increase the duration of therapist contacts and (2) to provide participants with the option to choose between LongPrac or ShortPrac as a means of allowing them to adapt more easily to the demands of the intervention. Furthermore, technical improvements of the app to enhance useability may help to further increase engagement. At the same time, we believe that high levels of adherence to practice and encouraging preliminary outcomes in completers suggest that the chosen approach has potential for successfully supporting patients over time windows beyond the usual duration of standard mindfulness-based interventions.

Limitations and Future Research

The current study represents an initial exploration of biMBI within one particular treatment arm of one NHS Talking Therapies service, delivered by a single therapist, and it remains to be seen how these initial findings will transfer to other contexts. As the main focus of this study was on feasibility, it is important to highlight again that the current data on changes in symptoms, while encouraging, need to be considered as no more than preliminary. The small sample size and high drop-out limits generalisability and self-selection bias may have influenced the preliminary results. The absence of a control group further limits conclusions, although benchmark comparisons provided context. Qualitative feedback was generally positive and included helpful suggestions for improvements of the intervention. However, interviews were conducted only with completers and therefore lack the potentially more detailed concerns from patients who decided to discontinue engagement.
Future more controlled research with an updated version of the intervention using longer therapist sessions, reducing the number of home practice tasks, and improved usability of the app seems warranted. This research should expand current studies in two ways, first in terms of the intervention length in order to test its effects in supporting sustained practice more thoroughly and second in comparison to control conditions in randomised controlled trials in order to formally test efficacy. Preliminary evidence for the former stream is already available from a study that tested the intervention in patients with persistent depression over a period of 6 months (Hamilton & Barnhofer, 2024). From a health economic perspective, it will be important to keep in mind that increases in the length of the therapist sessions come with cost-implications. However, persistent depression is associated with significant health care costs and even with more than minimal therapist input blended interventions may have potential to produce considerable savings.
As Oman (2025) notes, the integration of mindfulness-based interventions into public health frameworks is increasingly recognised as a scalable and effective strategy for improving mental health outcomes. The current study suggests that once updated in line with patient suggestions the blended individual mindfulness-based approach investigated in this study may serve as a feasible and acceptable approach for patients with persistent depression. If tested positively in more rigorous studies, this approach may be able complement existing means of offering mindfulness-based interventions for depression and serve to help with current difficulties in effectively disseminating this important approach.

Acknowledgements

The authors are grateful to Kate Weekes, Serena Gregory, Helen Membrey, Dr Janine Zylstra, Hayley Crittenden and Siva Sangaralingham from the Local Clinical Research (LCRN) Network Kent, Surrey and Sussex Core Team and to Olga Balazikova, Elisabetta Maragnoli, Hazel Tuncer, Olivia Sukiennik, Liliana Costa, Charlotte Mann and Jassim Somer from the Surrey and Borders Partnership NHS Foundation Trust for their generous help with formal aspects of this research and recruitment into the study.

Declarations

Ethics Approval

The London—Surrey Research Ethics Committee approved the study in December 2020 (IRAS Project ID: 284114), and several subsequent amendments in the process.
Informed consent was given by all participants prior to study participation.

Conflict of Interest

Jonathan Hamilton and Kate Brennan declare that they have no known competing financial interests or personal relationships that could have appeared to influence the work reported in this paper. Dan Brown declares the following financial interest that may be considered a competing interest: Dan Brown was at the time of the study implementation Consultant Clinical Lead for the host service Mind Matters Surrey NHS. Thorsten Barnhofer declares the following financial interest which may be considered as potential competing interest: Thorsten Barnhofer is receiving royalties for a book on Mindfulness-Based Cognitive Therapy and offers workshops on mindfulness-based interventions.

Use of Artificial Intelligence

AI was not used.
Open Access This article is licensed under a Creative Commons Attribution 4.0 International License, which permits use, sharing, adaptation, distribution and reproduction in any medium or format, as long as you give appropriate credit to the original author(s) and the source, provide a link to the Creative Commons licence, and indicate if changes were made. The images or other third party material in this article are included in the article's Creative Commons licence, unless indicated otherwise in a credit line to the material. If material is not included in the article's Creative Commons licence and your intended use is not permitted by statutory regulation or exceeds the permitted use, you will need to obtain permission directly from the copyright holder. To view a copy of this licence, visit http://creativecommons.org/licenses/by/4.0/.

Publisher's Note

Springer Nature remains neutral with regard to jurisdictional claims in published maps and institutional affiliations.
Titel
Acceptability, Practicality and Preliminary Indications of Efficacy of a Blended Individual Mindfulness Intervention for Patients with Persistent Depression
Auteurs
Jonathan Hamilton
Kate Brennan
Daniel Brown
Thorsten Barnhofer
Publicatiedatum
19-05-2025
Uitgeverij
Springer US
Gepubliceerd in
Mindfulness / Uitgave 7/2025
Print ISSN: 1868-8527
Elektronisch ISSN: 1868-8535
DOI
https://doi.org/10.1007/s12671-025-02598-5

Supplementary Information

Below is the link to the electronic supplementary material.
go back to reference Baer, R., Crane, C., Miller, E., & Kuyken, W. (2019). Doing no harm in mindfulness-based programs: Conceptual issues and empirical findings. Clinical Psychology Review, 71, 101–114. https://doi.org/10.1016/j.cpr.2019.01.001CrossRefPubMedPubMedCentral
go back to reference Baer, R. A., Smith, G. T., Lykins, E., Button, D., Krietemeyer, J., Sauer, S., Walsh, E., Duggan, D., & Williams, J. M. G. (2008). Construct validity of the Five Facet Mindfulness Questionnaire in meditating and nonmeditating samples. Assessment, 15(3), 329–342. https://doi.org/10.1177/1073191107313003CrossRefPubMed
go back to reference Barnhofer, T., Crane, C., Hargus, E., Amarasinghe, M., Winder, R., & Williams, J. M. G. (2009). Mindfulness-Based Cognitive Therapy as a treatment for chronic depression: A preliminary study. Behaviour Research and Therapy, 47(5), 366–373. https://doi.org/10.1016/j.brat.2009.01.019CrossRefPubMedPubMedCentral
go back to reference Bowen, D. J., Kreuter, M., Spring, B., Cofta-Woerpel, L., Linnan, L., Weiner, D., Bakken, S., Kaplan, C. P., Squiers, L., Fabrizio, C., & Fernandez, M. (2009). How we design feasibility studies. American Journal of Preventive Medicine, 36(5), 452–457. https://doi.org/10.1016/j.amepre.2009.02.002CrossRefPubMedPubMedCentral
go back to reference Brodey, B., Purcell, S. E., Rhea, K., Maier, P., First, M., Zweede, L., Sinisterra, M., Nunn, M. B., Austin, M., & Brodey, I. S. (2018). Rapid and accurate behavioral health diagnostic screening: Initial validation study of a web-based, self-report tool (the SAGE-SR). Journal of Medical Internet Research, 20(3), e108. https://doi.org/10.2196/jmir.9428CrossRefPubMedPubMedCentral
go back to reference Carmody, J., & Baer, R. A. (2007). Relationships between mindfulness practice and levels of mindfulness, medical and psychological symptoms and well-being in a Mindfulness-Based Stress Reduction program. Journal of Behavioral Medicine, 31(1), 23–33. https://doi.org/10.1007/s10865-007-9130-7CrossRefPubMed
go back to reference Cearns, M., & Clark, S. R. (2023). The effects of dose, practice habits, and objects of focus on digital meditation effectiveness and adherence: Longitudinal study of 280,000 digital meditation sessions across 103 countries. Journal of Medical Internet Research, 25, e43358. https://doi.org/10.2196/43358CrossRefPubMedPubMedCentral
go back to reference Chiesa, A., Castagner, V., Andrisano, C., Serretti, A., Mandelli, L., Porcelli, S., & Giommi, F. (2015). Mindfulness-Based Cognitive Therapy vs. psycho-education for patients with major depression who did not achieve remission following antidepressant treatment. Psychiatry Research, 226(2–3), 474–483. https://doi.org/10.1016/j.psychres.2015.02.003CrossRefPubMed
go back to reference Cladder-Micus, M. B., Speckens, A. E., Vrijsen, J. N., Donders, A. R. T., Becker, E. S., & Spijker, J. (2018). Mindfulness-Based Cognitive Therapy for patients with chronic, treatment-resistant depression: A pragmatic randomized controlled trial. Depression and Anxiety, 35(10), 914–924. https://doi.org/10.1002/da.22788CrossRefPubMed
go back to reference Cohen, S., Kamarck, T., & Mermelstein, R. (1983). A global measure of perceived stress. Journal of Health and Social Behavior, 24(4), 385. https://doi.org/10.2307/2136404CrossRefPubMed
go back to reference Crane, C., & Williams, J. M. G. (2010). Factors associated with attrition from Mindfulness-Based Cognitive Therapy in patients with a history of suicidal depression. Mindfulness, 1(1), 10–20. https://doi.org/10.1007/s12671-010-0003-8CrossRefPubMedPubMedCentral
go back to reference Crane, R., & Griffiths, H. (2021). Implementing mindfulness-based programs. In R. C. Karunavira, & G. M. Griffiths (Eds.), Essential resources for mindfulness teachers (pp. 214–224). Routledge.
go back to reference Ebert, D. D., Donkin, L., Andersson, G., Andrews, G., Berger, T., Carlbring, P., Rozenthal, A., Choi, I., Laferton, J. a. C., Johansson, R., Kleiboer, A., Lange, A., Lehr, D., Reins, J. A., Funk, B., Newby, J., Perini, S., Riper, H., Ruwaard, J., . . . Cuijpers, P. (2016). Does internet-based guided-self-help for depression cause harm? An individual participant data meta-analysis on deterioration rates and its moderators in randomized controlled trials. Psychological Medicine, 46(13), 2679–2693. https://doi.org/10.1017/s0033291716001562
go back to reference Eisendrath, S. J., Gillung, E., Delucchi, K. L., Segal, Z. V., Nelson, J. C., McInnes, L. A., Mathalon, D. H., & Feldman, M. D. (2016). A randomized controlled trial of Mindfulness-Based Cognitive Therapy for treatment-resistant depression. Psychotherapy and Psychosomatics, 85(2), 99–110. https://doi.org/10.1159/000442260CrossRefPubMed
go back to reference Erbe, D., Eichert, H., Riper, H., & Ebert, D. D. (2017). Blending face-to-face and internet-biased interventions for the treatment of mental disorders in adults: Systematic review. Journal of Medical Internet Research, 19(9), e306. https://doi.org/10.2196/jmir.6588CrossRefPubMedPubMedCentral
go back to reference Fincham, G. W., Mavor, K., & Dritschel, B. (2023). Effects of mindfulness meditation duration and type on well-being: An online dose-ranging randomized controlled trial. Mindfulness, 14(5), 1171–1182. https://doi.org/10.1007/s12671-023-02119-2CrossRefPubMedPubMedCentral
go back to reference Fresco, D. M., Moore, M. T., Van Dulmen, M. H., Segal, Z. V., Helen, S., MA, Teasdale, J. D., & Williams, J. M. G. (2007). Initial psychometric properties of the experiences questionnaire: Validation of a self-report measure of decentering. Behavior Therapy, 38(3), 234–246. https://doi.org/10.1016/j.beth.2006.08.003
go back to reference Green, J., Willis, K., Hughes, E., Small, R., Welch, N., Gibbs, L., & Daly, J. (2007). Generating best evidence from qualitative research: The role of data analysis. Australian and New Zealand Journal of Public Health, 31(6), 545–550. https://doi.org/10.1111/j.1753-6405.2007.00141.xCrossRefPubMed
go back to reference Grissom, R. J., & Kim, J. J. (2014). Effect sizes for research, univariate and multivariate applications, effect sizes for research: A broad practical approach. Taylor and Francis. https://doi.org/10.4324/9781410612915CrossRef
go back to reference Hamilton, J., & Barnhofer, T. (2024). Investigating change in the ability to decentre and depressive symptomatology over the course of a six-month mindfulness-based intervention in patients with persistent depression. Psychiatry Research, 341, 116153. https://doi.org/10.1016/j.psychres.2024.116153CrossRefPubMed
go back to reference Korten, N. C., Comijs, H. C., Lamers, F., & Penninx, B. W. (2012). Early and late onset depression in young and middle aged adults: Differential symptomatology, characteristics and risk factors? Journal of Affective Disorders, 138(3), 259–267. https://doi.org/10.1016/j.jad.2012.01.042CrossRefPubMed
go back to reference Kroenke, K., Spitzer, R. L., & Williams, J. B. W. (2001). The PHQ-9. Journal of General Internal Medicine, 16(9), 606–613. https://doi.org/10.1046/j.1525-1497.2001.016009606.xCrossRefPubMedPubMedCentral
go back to reference Lakens, D. (2013). Calculating and reporting effect sizes to facilitate cumulative science: A practical primer for t-tests and ANOVAs. Frontiers in Psychology, 4, 863. https://doi.org/10.3389/fpsyg.2013.00863
go back to reference Lam, S. U., Kirvin-Quamme, A., & Goldberg, S. B. (2022). Overall and differential attrition in mindfulness-based interventions: A meta-analysis. Mindfulness, 13(11), 2676–2690. https://doi.org/10.1007/s12671-022-01970-zCrossRefPubMedPubMedCentral
go back to reference McGraw, K. O., & Wong, S. P. (1992). A common language effect size statistic. Psychological Bulletin, 111(2), 361–365. https://doi.org/10.1037/0033-2909.111.2.361CrossRef
go back to reference Michalak, J., Schultze, M., Heidenreich, T., & Schramm, E. (2015). A randomized controlled trial on the efficacy of Mindfulness-Based Cognitive Therapy and a group version of cognitive behavioral analysis system of psychotherapy for chronically depressed patients. Journal of Consulting and Clinical Psychology, 83(5), 951–963. https://doi.org/10.1037/ccp0000042CrossRefPubMed
go back to reference Nunes-Zlotkowski, K. F., Shepherd, H. L., Beatty, L., Butow, P., & Shaw, J. M. (2024). Blended psychological therapy for the treatment of psychological disorders in adult patients: Systematic review and meta-analysis. Interactive Journal of Medical Research, 13, e49660. https://doi.org/10.2196/49660CrossRef
go back to reference Oman, D. (2025). Mindfulness for global public health: Critical analysis and agenda. Mindfulness 16(3), 573–612. https://doi.org/10.1007/s12671-023-02089-5CrossRef
go back to reference Parsons, C. E., Crane, C., Parsons, L. J., Fjorback, L. O., & Kuyken, W. (2017). Home practice in Mindfulness-Based Cognitive Therapy and Mindfulness-Based Stress Reduction: A systematic review and meta-analysis of participants’ mindfulness practice and its association with outcomes. Behaviour Research and Therapy, 95, 29–41. https://doi.org/10.1016/j.brat.2017.05.004CrossRefPubMedPubMedCentral
go back to reference Preacher, K. J., & Kelley, K. (2011). Effect size measures for mediation models: Quantitative strategies for communicating indirect effects. Psychological Methods, 16(2), 93–115. https://doi.org/10.1037/a0022658CrossRefPubMed
go back to reference Schuster, R., Topooco, N., Keller, A., Radvogin, E., & Laireiter, A. (2020). Advantages and disadvantages of online and blended therapy: Replication and extension of findings on psychotherapists’ appraisals. Internet Interventions, 21, 100326. https://doi.org/10.1016/j.invent.2020.100326CrossRefPubMedPubMedCentral
go back to reference Segal, Z. V., Dimidjian, S., Beck, A., Boggs, J. M., Vanderkruik, R., Metcalf, C. A., Gallop, R., Felder, J. N., & Levy, J. (2020). Outcomes of online Mindfulness-Based Cognitive Therapy for patients with residual depressive symptoms. JAMA Psychiatry, 77(6), 563. https://doi.org/10.1001/jamapsychiatry.2019.4693CrossRefPubMed
go back to reference Siwik, C. J., Adler, S. R., Moran, P. J., Kuyken, W., Segal, Z., Felder, J., Eisendrath, S., & Hecht, F. M. (2023). Preventing depression relapse: A qualitative study on the need for additional structured support following Mindfulness-Based Cognitive Therapy. Global Advances in Integrative Medicine and Health, 12. https://doi.org/10.1177/27536130221144247
go back to reference Spitzer, R. L., Kroenke, K., Williams, J. B. W., & Löwe, B. (2006). A brief measure for assessing generalized anxiety disorder. Archives of Internal Medicine, 166(10), 1092. https://doi.org/10.1001/archinte.166.10.1092CrossRefPubMed
go back to reference Strauss, C., Bibby-Jones, A., Jones, F., Byford, S., Heslin, M., Parry, G., Barkham, M., Lea, L., Crane, R., De Visser, R., Arbon, A., Rosten, C., & Cavanagh, K. (2023). Clinical effectiveness and cost-effectiveness of supported Mindfulness-Based Cognitive Therapy self-help compared with supported Cognitive Behavioral Therapy self-help for adults experiencing depression. JAMA Psychiatry, 80(5), 415. https://doi.org/10.1001/jamapsychiatry.2023.0222CrossRefPubMedPubMedCentral
go back to reference Teasdale, J. D. (1999). Emotional processing, three modes of mind and the prevention of relapse in depression. Behaviour Research and Therapy, 37, S53–S77. https://doi.org/10.1016/s0005-7967(99)00050-9CrossRefPubMed
go back to reference Teasdale, J. D., Segal, Z., & Williams, J. G. (1995). How does cognitive therapy prevent depressive relapse and why should attentional control (mindfulness) training help? Behaviour Research and Therapy, 33(1), 25–39. https://doi.org/10.1016/0005-7967(94)e0011-7CrossRefPubMed
go back to reference Tennant, R., Hiller, L., Fishwick, R., Platt, S., Joseph, S., Weich, S., Parkinson, J., Secker, J., & Stewart-Brown, S. (2007). The warwick-edinburgh mental well-being scale (WEMWBS): development and UK validation. Health and Quality of Life Outcomes, 5, 63. https://doi.org/10.1186/1477-7525-5-63
go back to reference Ter Avest, M. J., Dusseldorp, E., Huijbers, M. J., Van Aalderen, J. R., Cladder-Micus, M. B., Spinhoven, P., Greven, C. U., & Speckens, A. E. (2019). Added value of Mindfulness-Based Cognitive Therapy for depression: A tree-based qualitative interaction analysis. Behaviour Research and Therapy, 122, 103467. https://doi.org/10.1016/j.brat.2019.103467CrossRefPubMed
go back to reference Winnebeck, E., Fissler, M., Gärtner, M., Chadwick, P., & Barnhofer, T. (2017). Brief training in mindfulness meditation reduces symptoms in patients with a chronic or recurrent lifetime history of depression: A randomized controlled study. Behaviour Research and Therapy, 99, 124–130. https://doi.org/10.1016/j.brat.2017.10.005CrossRefPubMed