Ga naar de hoofdinhoud
Top

A Pilot Feasibility Trial of Mind–Body Tactical Training for Firefighters: Evaluation of a Yoga-Based Transdiagnostic Program

  • Open Access
  • 16-08-2024
  • ORIGINAL PAPER
Gepubliceerd in:

Abstract

Objectives

Firefighters are at heightened risk for chronic occupational stress and exposure to potentially traumatic events. Experiencing potentially traumatic events is a risk factor for various psychiatric symptoms among firefighters, notably posttraumatic stress disorder (PTSD), depression, and anxiety. This study evaluated the feasibility and preliminary effectiveness of yoga to reduce PTSD symptoms, negative affect, and trait anxiety in firefighters.

Methods

A total of 108 trauma-exposed career firefighters (99% male; Mage = 34.55, SD = 8.37) were enrolled in a single-arm 8-week yoga intervention, termed Mind–Body Tactical Training (MBTT). Feasibility was assessed in five domains. Self-report measures were used to evaluate the MBTT intervention’s effectiveness in reducing symptoms of PTSD, negative affect, and trait anxiety. The Intervention Appropriateness Measure was employed to assess acceptability. Attrition, attendance, and intervention costs were used to determine demand, implementation, and practicality, respectively.

Results

Total PTSD (p < 0.001, d = 0.426), negative affect (p = 0.029, d = 0.242), and trait anxiety (p < 0.001, d = 0.327) decreased from pre- to post-intervention. Improvements in trait anxiety were also observed from pre-intervention to follow-up (p = 0.032). The intervention was generally acceptable to participants, had a 6.48% attrition rate, and had an 80.73 ± 18.96% class attendance. The cost of instructors and equipment totaled US$6636.78, equating to a cost per participant per attended class of US$4.76.

Conclusions

The current study provides initial evidence for the feasibility and effectiveness of yoga as a transdiagnostic treatment for firefighters.

Preregistration

This study is not preregistered.

Publisher's Note

Springer Nature remains neutral with regard to jurisdictional claims in published maps and institutional affiliations.
Firefighters represent a unique and understudied population at heightened risk for experiencing occupational stress (Sawhney et al., 2017; Stanley et al., 2018) and frequent exposure to potentially traumatic events (Jahnke et al., 2016; Pinto et al., 2015). Examples of potentially traumatic events reported by firefighters include exposure to line-of-duty death or injury; incidents involving children (e.g., abuse, deaths); natural disasters; and working fatalities or treating injured patients (Gulliver et al., 2021; Kim et al., 2019; Wagner et al., 2021). The experience of potentially traumatic events presents a transdiagnostic risk factor for a variety of psychiatric symptoms and conditions among firefighters (Kim et al., 2018a, b; Kimbrel et al., 2016; Lee et al., 2017; Milligan-Saville et al., 2018; Vujanovic & Tran, 2021; Wagner et al., 2021), underscoring the need for treatments targeting multiple facets of firefighter mental health and wellbeing.
Despite their resilience, firefighters commonly experience symptoms of PTSD, depression, and anxiety. For example, a recent review showed PTSD prevalence rates as high as 57% among firefighters (Obuobi-Donkor et al., 2022). Additionally, firefighters report subclinical PTSD symptoms, which are associated with similar functional impairment and distress found in diagnosable PTSD (Kim et al., 2020). Firefighters also report heightened rates of depression and anxiety symptoms (Hom et al., 2016; Paulus et al., 2018; Pennington et al., 2018). Given the transdiagnostic risk inherent in the chronic experience of stress and potentially traumatic events, it is important to evaluate specialized and empirically grounded interventions that are tailored to the fire service.
Mindfulness-based interventions (MBIs) offer a potential treatment to build resilience and reduce the risk of adverse mental health outcomes for fire service personnel (e.g., Denkova et al., 2020; Goldberg et al., 2018; Kaplan et al., 2017). Kabat-Zinn (2003) defines mindfulness as “the awareness that emerges through paying attention on purpose, in the present, and nonjudgmentally to the unfolding of experience moment by moment” (p. 145). Practices that combine bodily movement with mindfulness comprise a unique subset of MBIs, commonly referred to as mind–body practices (Tang et al., 2017). Hatha yoga, a mind–body practice that incorporates postures (asanas), breathing practices (pranayama), and meditation (dhyana), holds the potential to increase multiple facets of mindfulness, including observing and describing emotions/inner experiences, and acting with awareness (Saksena et al., 2020). Mindfulness principles practiced in yoga such as concentrated breath control, centering of attention on bodily sensations, and reflection upon freely experienced thoughts and emotions may attribute to enhanced dimensions of mindfulness (Saksena et al., 2020) and qualify yoga as a movement-based mindfulness practice (Gordon, 2013). In turn, the mindfulness components of mind–body practices are hypothesized to provide benefits for those who experience mental health concerns, particularly PTSD symptomatology. Boyd et al. (2018), for example, proposed that remaining in the present moment, promoting openness to experiences, and increasing connection and awareness of the self potentially reduce PTSD symptoms of arousal and reactivity, trauma-related intrusions, and avoidance.
Yoga is increasingly employed to reduce symptoms of PTSD (Cushing & Braun, 2018; Gallegos et al., 2017; Kim et al., 2013; Sciarrino et al., 2017), depression (Bridges & Sharma, 2017; Brinsley et al., 2021; Cramer et al., 2013), and anxiety (Cramer et al., 2018; Hofmann et al., 2016; Zoogman et al., 2019). Moreover, yoga-based interventions have shown acceptability and preliminary efficacy in reducing symptoms of PTSD, depression, and anxiety among military veterans and active-duty service members specifically (Chopin et al., 2020; Cushing et al., 2018; Davis et al., 2020; Groll et al., 2016; Johnston et al., 2015; Seppälä et al., 2014; Staples et al., 2013; Zaccari et al., 2020). These findings are particularly relevant due to the similarities between first responder and military culture (Haugen et al., 2017) and the void of literature examining the effects of yoga on mental health outcomes in the fire service.
Research on the benefits of mindfulness (e.g., Smith et al., 2011, 2019; Stanley et al., 2019) and physical activity (e.g., Craun et al., 2014; Gerber et al., 2010; Meckes et al., 2020; Throne et al., 2000) for first responder mental health is emerging, with a growing number of studies focusing on MBIs conducted with firefighters (e.g., Canady et al., 2021; Denkova et al., 2020; Hendrix et al., 2023; Joyce et al., 2018; Kaplan et al., 2017; Pace et al., 2022; Vujanovic et al., 2022). While the impact of mindfulness and bodily movement on firefighter mental health has been documented separately, the combined benefits of mind–body practices like yoga on mental health outcomes in the fire service remain relatively unexplored.
To date, only two published studies (Cowen, 2010; Floyd et al., 2022) have examined the effect of mind–body practices on firefighter health and wellness. Cowen (2010) explored the impact of a 6-week worksite yoga intervention on firefighters’ functional fitness, flexibility, and perceived stress, reporting a decrease in perceived stress ratings from pre-to-post yoga intervention (n = 77). Firefighters who participated in the follow-up assessments reported that yoga had a positive effect on their professional and personal lives, with 41% of participants reporting that they felt calmer and more focused. Floyd et al. (2022) examined the effects of a ten-class yoga program on functional movement and interoceptive awareness (n = 76). On average, functional movement was significantly improved among participating firefighters, particularly in trunk stability. Significant improvements in interoceptive awareness were also reported. Feasibility was assessed by evaluating attendance; approximately 61% of participants attended 7 of the 10 classes offered and the authors confirmed feasibility based on these data.
Evidence of yoga’s potential psychological health benefits for firefighters is inconsequential if fire service personnel are unwilling or unlikely to engage in mind–body practices. Firefighters are predominantly male (Fahy et al., 2022), a group typically reticent to utilize traditional mental health services (Seidler et al., 2016). The fire service culture upholds traditional masculine values (Yarnal et al., 2004), and masculine gender-role norms are generally incongruent with seeking professional help (Addis & Mahalik, 2003). Indeed, mental health stigma in men, and the fire service specifically, presents a significant barrier to treatment utilization (Haugen et al., 2017; Kim et al., 2018a; Lynch et al., 2018; Oliffe et al., 2016; Vujanovic & Tran, 2021). A recent review of 46 studies (Seidler et al., 2018), however, highlighted that incorporating bodily movement may circumvent this mental health stigma, encouraging the engagement of men in wellness programs, and by extension male-dominated occupations such as firefighting. Seidler et al. (2018) proposed that interacting with male clients using movement-based modalities may serve as an effective method to engage men in therapy. Thus, mind–body practices, such as yoga, may offer a way to involve firefighters in treatment, as they may carry less stigma than traditional psychotherapy. The feasibility of yoga practice in the fire service, however, is not yet established.
The foundational work conducted by Cowen (2010) and Floyd et al. (2022) regarding the potential benefits of yoga on perceived stress and interoceptive awareness in firefighters is promising. Further research is needed to investigate additional psychological outcomes among fire service personnel, as well as the feasibility of yoga in the fire service using established criteria. Thus, the purpose of this study was to evaluate the feasibility and preliminary effectiveness of a worksite yoga intervention (Mind–Body Tactical Training; MBTT) to reduce PTSD symptoms, negative affect, and trait anxiety among firefighters.

Method

Participants

A total of 108 participants from two urban fire departments located in the southern U.S. enrolled in the study, with the number of firefighters enrolled per station ranging between 2 and 17 (M = 9 enrolled per station) (Table 1). Firefighters were recruited through an oral presentation, which was presented once per shift at each department’s training center. Individuals who expressed interest in participating were screened for eligibility directly after the presentation ended. Participants were required to be over the age of 18 and classified as full-duty, career firefighters to enroll in the study. Exclusion criteria included the following: self-reported contraindications to physical activity (e.g., chronic dizziness); history of spinal surgery; clinically significant low back pain or disability; active participation in a worker’s compensation claim or personal injury case; pregnancy; inability to abstain from alcohol for 24 h before each class; current engagement in psychotherapy; a recent change in psychiatric medication; active suicidal ideation; involvement in yoga classes in the previous month, or planning to practice yoga while participating in the study. This research study was conducted according to the guidelines of the Declaration of Helsinki and approved by the institutional review board at Louisiana State University.
Table 1
Demographic and occupational characteristics of participants (n = 108)
Characteristics
M/n
SD/%
Age (in years)
34.55
8.37
Gender
  Male
107
99.07
Race
  Black/African American
11
10.19
  White/Caucasian
94
87.04
  Hispanic/Latino
1
0.93
  Multiracial
2
1.85
Rank/position
  Captain
29
26.85
  Lieutenant
13
12.04
  Engineer/Driver
16
14.81
  Firefighter/Operator
48
44.44
  Chief Officer
2
1.85
 Years in the fire service
11.44
8.09
M, mean; SD, standard deviation

Procedure

A Registered Yoga Alliance Teacher with 13 years of teaching experience developed the MBTT intervention, which incorporated Hatha Yoga postures (asanas), breathing practices (pranayama), and meditation/relaxation practices (dhyana) with functional movements that paralleled movement patterns commonly executed during firefighting tasks. Discussions with firefighter crews during MBTT development influenced the curriculum in terms of terminology (e.g., animal names for poses versus Sanskrit names), class environment (e.g., a minimalistic classroom without added components such as aromatherapy), and teaching approach (e.g., emphasis on practical applications to firefighting versus spiritual components). Further, the MBTT curriculum incorporated trauma-informed yoga practices such as using invitations as opposed to commands and employing verbal cues rather than physical touch to correct form.
Participants were offered 16 MBTT classes over an 8-week timeframe. On average, classes were held twice per week, with each class lasting 60 min. MBTT classes were conducted in person, at the worksite, and during the participants’ regularly scheduled shifts. During class, the participants’ units were out-of-service (i.e., not expected to run calls) to facilitate attendance and engagement. Classes were taught by five certified female yoga instructors, all of whom had experience teaching yoga for a minimum of 3 years. Two instructors were responsible for conducting classes at Department A, two instructors taught exclusively at Department B, and one instructor taught at both departments. Yoga instructors taught on specific days of the week. The interaction between the schedule of the fire departments and the instructors allowed participants to receive instruction from all three teachers assigned to their respective department. Before the intervention, instructors were trained in the class curriculum by the lead instructor who developed the MBTT protocol. The lead instructor also provided weekly videos and written instructions on MBTT lessons and conducted fidelity checks throughout the intervention to monitor and promote adherence to the program protocol.
Instructors began all MBTT classes by setting a focus for the class and synchronizing body movements with the breath to encourage present-moment awareness. Participants were asked to return to their focus periodically throughout the class while working through various yoga poses. Classes followed a prescribed regimen to enhance curriculum consistency across shifts and departments, beginning with seated/tabletop positions, transitioning to standing positions, returning to the mat for final stretches, and ending with a reclining supine position.
The beginning seated positions included neck stretches, shoulder rotations, and spinal movements to prepare the muscles for exercise. From a seated position, participants transitioned to tabletop poses such as cat, cow, and balancing table. Movements requiring balance and strength, including chair, high lunge, warrior two, and warrior three, comprised the standing portion of each yoga session. The final stretch portion incorporated movements such as hip stretches (e.g., reclining pigeon) and twists. Sessions ended with the reclining portion of the class, which integrated various mindfulness practices to foster body awareness and grounding in the present moment. New yoga poses were added weekly, while new mindfulness-based themes were introduced every 2 weeks.
Mindfulness concepts incorporated into the MBTT curriculum included breathing with movement, attending to bodily sensations, exploring the concept of transitory nature, and making intentional choices. Examples of mindfulness practices employed to illustrate the bi-weekly concepts involved synchronizing breath with movement, progressive muscle relaxation, focusing on the transition of breath, and taking ownership of one’s present-moment experience by strengthening interoceptive awareness. Taking ownership of the present moment was practiced by teaching the participants to identify what was presently happening within their bodies through body scans in various postures and taking control over their experience by adapting their posture. Mindfulness techniques were practiced during the movement period of classes (e.g., synchronizing movement with breath), as well as the relaxation portion of class (e.g., progressive muscle relaxation). See Table 2 for a full description of mindfulness themes, techniques, and poses addressed in MBTT.
Table 2
Yoga poses and mindfulness concepts added by week
Week
Themes
Mindfulness practice
Poses
1
Breathing with movement to be present
Breath synchronization with movement
Tiger, plank to downward dog, forward/half fold
2
Triceps push-ups, baby cobra, plank flow
3
Physical sensations within the body
Progressive muscle relaxation or body scan
Full sun salutation A
4
3-legged dog and cheetah
5
Everything changes- transitory
4–4-8 breathing and focusing on the transition of the breath
Sun salutation B
6
Lizard, yoga squat, crow, prone pigeon
7
Effective action and making choices
Acknowledging and taking ownership of present experience
Standing splits, half moon, triangle, side angle
8
Seated folds and twists
Measures of PTSD symptoms, negative affect, and trait anxiety were collected at four time points: 6 weeks before the MBTT intervention began (baseline), directly before (pre-intervention), and directly after the 8-week intervention (post-intervention), as well as 6 weeks after the intervention concluded (follow-up). Questions determining intervention acceptability were administered at the post-intervention time point only.

Measures

Five of the eight dimensions of feasibility proposed by Bowen et al. (2009) were employed to evaluate the feasibility of the MBTT intervention: preliminary effectiveness, acceptability, demand, implementation, and practicality. The PTSD Checklist for DSM-5 (PCL-5; Weathers et al., 2013), Positive and Negative Affect Schedule (PANAS; Watson et al., 1988), and State-Trait Anxiety Inventory (STAI; Spielberger et al., 1983) were utilized to examine the preliminary effectiveness of yoga in reducing symptoms of PTSD, negative affect, and trait anxiety, respectively. Participants also completed the Trauma History Questionnaire (THQ; Hooper et al., 2011) prior to the beginning of the yoga intervention to evaluate exposure to potentially traumatic events. Responses to the THQ were not considered in the analyses of preliminary effectiveness.
The PTSD Checklist for DSM-5 (PCL-5; Weathers et al., 2013) is a 20-item self-report questionnaire that measures PTSD symptom severity over the past month. Each of the 20 items reflects a symptom of PTSD according to the DSM-5 criteria (American Psychiatric Association, 2013). Participants are asked to rate each item on a 5-point scale ranging from 0 (not at all) to 4 (extremely), indicating how much they have been bothered by the symptom in the past month. Total symptom severity scores range from 0 to 80, with higher scores indicating greater symptom severity. The PCL-5 has displayed good psychometric properties (Blevins et al., 2015). In the current study, both Cronbach’s α and McDonald’s ω coefficients over the four measurement time points ranged from 0.93 to 0.96, indicating excellent internal consistency. The symptom cluster scores, representing intrusion, avoidance, negative alterations in cognitions and mood (NACM), and arousal and reactivity, demonstrated acceptable to excellent internal consistency based on Cronbach’s α and McDonald’s ω coefficients ranging from 0.74 to 0.91.
The negative affect subscale of the Positive and Negative Affect Schedule (PANAS-NA; Watson et al., 1988) is a 10-item self-report instrument that instructs respondents to indicate the extent to which they have felt a particular item in the past week. Possible answers are presented on a 5-point Likert scale ranging from 1 (very slightly or not at all) to 5 (extremely). Examples of the items contained in the PANAS-NA include “guilty” and “afraid,” with higher scores on the scale suggesting greater negative affect. The PANAS has been used in previous research to investigate affect in firefighters (e.g., Denkova et al., 2020; Tommasi et al., 2021) and is a valid and reliable measure of affect in the general adult population (Crawford & Henry, 2004). In this study, the PANAS-NA indicated good to excellent internal consistency across four time points, as evidenced by Cronbach’s α and McDonald’s ω coefficients ranging from 0.88 to 0.91.
The short form of the State-Trait Anxiety Inventory (STAI; Spielberger et al., 1983) consists of 10 items that evaluate relatively stable feelings of anxiety. Respondents are asked to indicate the frequency of their feelings about general states of restlessness, worry, confidence, and self-satisfaction. Items are measured on a Likert scale from 1 (almost never) to 4 (almost always), with higher scores reflecting greater trait anxiety. The STAI has been used in previous research to examine trait anxiety among firefighters (e.g., Guthrie & Bryant, 2005; Heinrichs et al., 2005; Wróbel-Knybel et al., 2021) and its psychometric properties have been well established (Barnes et al., 2002; Ortuño-Sierra et al., 2016). In the initial validation studies, Spielberger et al. (1983) reported a high correlation between the short form of the trait scale and the full 20-item version, which suggests that the abbreviated form serves as a suitable alternative to the longer original. Both Cronbach’s α and McDonald’s ω coefficients for the STAI-T in the present study ranged from 0.85 to 0.89 across four time points, indicating good internal consistency.
Acceptability was evaluated using responses to four questions adapted from the Intervention Appropriateness Measure (IAM; Weiner et al., 2017), which was administered directly after the intervention concluded. Participants were asked to rate their responses to the statements “yoga seems fitting for firefighters,” “yoga seems suitable for firefighters,” and “yoga seems applicable for firefighters” on a scale from 1 (Completely Disagree) to 5 (Completely Agree). Participants were also asked to rate their response to the acceptability question “after completing the yoga program, do you believe yoga and the culture of the fire service is a good match?” on a scale of 1 (Not at all) to 5 (Definitely). Satisfactory acceptability was defined as an average score greater than or equal to 4.0 on each question of the IAM.
Demand was determined by examining overall interest, as indicated by the intervention attrition rate. Mindfulness interventions with intensive care unit nurses and law enforcement officers have reported attrition rates between 16 and 20% (Christopher et al., 2018; Gauthier et al., 2015), respectively. Confirmation of demand was established as an attrition rate of ≤ 20%.
Implementation was evaluated through attendance at scheduled intervention sessions. Intervention attendance among firefighter exercise trials has been reported between 50 and 83% (Andrews et al., 2019; Hollerbach et al., 2019), while a systematic review of mindfulness interventions with first responders found attendance rates around 80% (Vadvilavičius et al., 2023). Satisfactory implementation was defined as an average attendance rate of > 75% (Christopher et al., 2018) and an average questionnaire response rate of > 80%. The ability to execute the program (i.e., successfully complete sessions) within the existing infrastructure and operations of the fire service was evaluated by examining the number of MBTT classes that were held as scheduled, rescheduled, or permanently canceled.
Practicality was determined by the cost to administer the intervention. Instructor fees for each class and the cost of materials needed to implement the intervention were recorded. A typical community yoga class costs $15–20 (Saper et al., 2013). A total cost equivalent of no greater than $15 per participant per class attended was established as the benchmark for confirming practicality of the intervention.

Data Analyses

Descriptive statistics were calculated for all psychological variables at all four time points: baseline, pre-intervention, post-intervention, and follow-up. To assess changes in PTSD, affect, and anxiety over time, data were analyzed on an intention-to-treat basis using three separate linear mixed-effects models for repeated measures. Linear mixed-effects models were selected to account for all available data points and the correlations between repeated measures within subjects (Detry & Ma, 2016). An alpha of 0.05 was used to determine statistical significance for the linear mixed-effects models. Missing values were not replaced. Outliers were checked by examining normal probability plots of the residuals for each dependent variable. Outliers were detected among PTSD symptom severity scores only; removal of these data did not change findings for this outcome, and they were therefore retained.
Pre-specified pairwise comparisons were used to confirm stability between baseline and pre-intervention, improvements from pre-intervention to post-intervention, and maintenance of improvements from pre-intervention to follow-up. Holm-Bonferroni correction (Holm, 1979) was applied to the p-values of these three a priori comparisons separately for each of the linear mixed-effects models of PTSD, negative affect, and trait anxiety (three comparisons per model). Standardized effect size statistics were calculated using Cohen’s d to determine meaningful changes in PTSD, affect, and anxiety. Cohen’s d statistics were calculated from paired t-tests of the data collected at pre-intervention and post-intervention, using the pooled standard deviation from these two timepoints as the denominator. The benchmarks suggested by Cohen (1988) were used to interpret Cohen’s d: small (d = 0.20), medium (d = 0.50), and large (d = 0.80). Internal consistency was assessed by Cronbach’s α coefficient and McDonald’s ω coefficient. The percentage, mean, and standard deviations were calculated for each of the IAM survey questions to assess intervention acceptability. Statistical analyses were conducted using IBM SPSS 27 statistical software and Holm-Bonferroni corrections were calculated using a Microsoft Excel calculator (Gaetano, 2018).

Results

Overall, the participants identified as male (99.07%) and white (87.04%). Firefighters from five ranks (Captain, Lieutenant, Engineer/Driver, Firefighter/Operator, Administration) participated in the study, with Firefighter/Operators (44.44%) comprising the majority of the sample. The job duties for all participants at each rank involved medical, fire, or disaster response. Additional demographic and occupational characteristics of participants are described in Table 1.
Regarding trauma exposure rates, two participants reported two traumatic events (1.85%) and the remainder of the sample reported three or more traumatic events (98.15%) over their lifespan. The three most commonly endorsed traumatic events were seeing or handling dead bodies (100.00%); witnessing someone seriously injured or killed (98.15%); and exposure to dangerous chemicals or radioactivity that may threaten health (65.74%). A small sector of the sample reported prior combat exposure (5.56%) from military or law enforcement activities. Thus, all participants met the DSM-5 Criterion A for PTSD (American Psychiatric Association, 2013).

Feasibility

Effectiveness
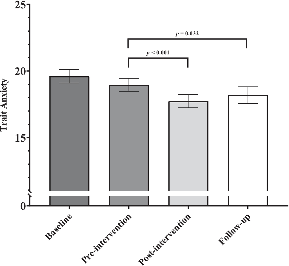
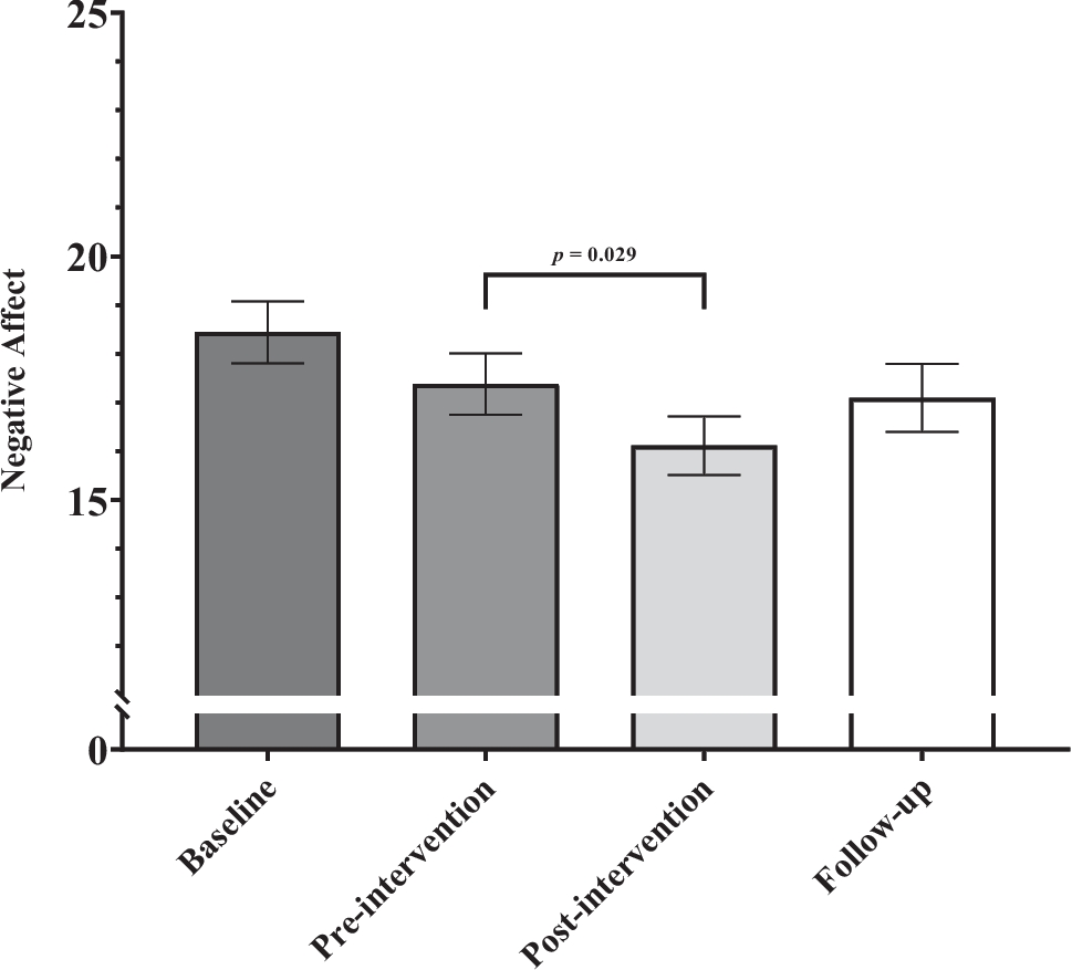
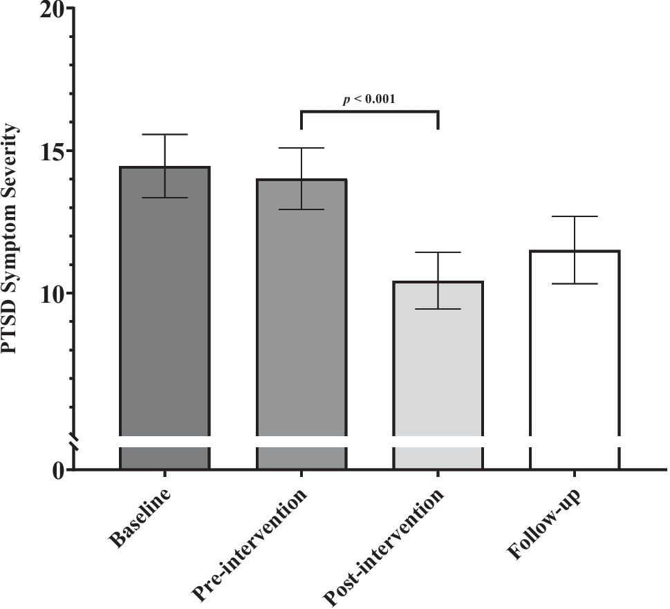
A significant time effect was found for total PTSD symptoms (F(3,289.060) = 7.271, p < 0.001). Pairwise comparisons showed stability in PTSD symptoms from baseline to pre-intervention (p = 0.232), a significant decrease in PTSD symptom severity from pre-intervention to post-intervention (p < 0.001) with an effect size approaching medium (d = 0.426), and no significant change from pre-intervention to follow-up (p = 0.082) (Table 3, Fig. 1). The linear mixed-effects model showed a significant time effect for negative affect (F(3,287.506) = 4.608, p = 0.004). Pairwise comparisons showed no change in negative affect from baseline to pre-intervention (p = 0.058), a significant decrease from pre-intervention to post-intervention (p = 0.029) with a small effect size (d = 0.242), and no change from pre-intervention to follow-up (p = 0.290) (Table 3, Fig. 2). A significant time effect for trait anxiety was found (F(3,288.565) = 6.071, p < 0.001). Pairwise comparisons showed stability in trait anxiety from baseline to pre-intervention (p = 0.070), a significant reduction in anxiety scores from pre-intervention to post-intervention (p < 0.001) with a small to medium effect size (d = 0.327), and a significant decrease between pre-intervention and follow-up (p = 0.032) (Table 3, Fig. 3).
Table 3
Scores on psychological variables across time
 
PTSD symptoms
Negative affect
Trait anxiety
Baseline (BL)
14.98
(12.77 to 17.19)
18.46
(17.27 to 19.65)
19.56
(18.58 to 20.54)
Pre-intervention (Pre)
14.02
(11.82 to 16.22)
17.39
(16.20 to 18.58)
19.00
(18.02 to 19.97)
Post-intervention (Post)
10.48
(8.24 to 12.73)
16.08
(14.85 to 17.30)
17.81
(16.82 to 18.81)
Follow-up (FU)
11.78
(9.51 to 14.05)
16.70
(15.47 to 17.94)
17.95
(16.95 to 18.96)
Mean differences
ΔPre-BL
 − 0.97
(− 3.10 to 1.17)
 − 1.07
(− 2.36 to 0.22)
 − 0.56
(− 1.39 to 0.26)
ΔPost-Pre
 − 3.54***
(− 5.74 to − 1.34)
 − 1.31*
(− 2.66 to 0.03)
 − 1.18***
(− 2.04 to − 0.33)
ΔFU-Pre
 − 2.24
(− 5.14 to 0.66)
 − 0.69
(− 2.41 to 1.03)
 − 1.04*
(− 2.18 to 0.10)
Data are presented as mean (95% CI). *p < 0.05, ***p < 0.001 based on pairwise comparisons with Holm-Bonferroni correction where the mixed-effects model was significant
Fig. 1
PCL-5 mean scores at all time points. Error bars are 95% confidence intervals
Afbeelding vergroten
Fig. 2
PANAS-NA subscale mean scores at all time points. Error bars are 95% confidence intervals
Afbeelding vergroten
Fig. 3
STAI-T subscale mean scores at all time points. Error bars are 95% confidence intervals
Afbeelding vergroten
Given the improvement in total PTSD symptom severity, it was of interest to further examine the four PTSD symptom cluster scores using exploratory linear mixed-effects models. Post hoc pairwise comparisons were made between baseline and pre-intervention, pre-intervention and post-intervention, and pre-intervention and follow-up. Due to the exploratory nature of these analyses, the Bonferroni correction was made to p-values of these three comparisons separately for each linear mixed-effects model (three comparisons per model). Results indicated a significant time effect for symptom reduction on three of the four clusters: avoidance (F(3,284.162) = 3.573, p = 0.014); arousal/reactivity (F(3,283.356) = 5.919, p < 0.001); and NACM (F(3,289.041) = 5.960, p < 0.001). PTSD intrusion symptoms approached significance (F(3,281.763) = 2.556, p = 0.056). Pairwise comparisons between time points showed significant symptom reductions with small to moderate effect sizes occurring from pre-intervention to post-intervention among avoidance (p = 0.019, d = 0.309); arousal/reactivity (p < 0.001, d = 0.431); and NACM (p < 0.001, d = 0.390). A significant reduction in arousal/reactivity with a small effect size was also found from pre-intervention to follow-up (p = 0.029, d = 0.275).
Acceptability
One hundred participants completed the IAM questionnaire at the post-intervention time point. Of the participants surveyed, 85.19% “agreed” or “completely agreed” that yoga is fitting for firefighters (M = 4.04, SD = 0.72). Similarly, 87.96% “agreed” or “completely agreed” that yoga is suitable for firefighters (M = 4.09, SD = 0.68) and applicable to firefighters (87.37%, M = 4.14, SD = 0.73). Additionally, participants were asked to assess their beliefs regarding the congruence between yoga and fire service culture after participating in the intervention. When asked after completing the yoga program, do you believe yoga and the culture of the fire service is a good match, 72.22% responded with “quite a bit” or “definitely” (M = 3.96, SD = 1.05).
Demand
Demand was assessed via the MBTT attrition rate. Of the 108 firefighters enrolled, seven withdrew after the intervention commenced due to logistical issues (n = 4), competing time commitments (n = 1), or health concerns (n = 2). The remaining 101 participants completed the intervention, representing a 6.48% attrition rate. Please see Fig. 4 for an overview.
Fig. 4
CONSORT diagram. Four assessment time points depicted in the diagram are as follows: baseline, pre-intervention, post-intervention, and follow-up. Baseline occurred 6 weeks prior to the MBTT yoga intervention. The MBTT intervention began within a week of baseline assessments. Post-intervention measures were taken within a week of MBTT ending and follow-up occurred 6 weeks after the intervention concluded
Afbeelding vergroten
Implementation
Average attendance to MBTT sessions was 80.73 ± 18.96% among all participants. Seventy-seven participants completed 80% or more of the classes offered and 98 attended 50% or more classes. Overall questionnaire compliance was 94.03%. One hundred and twenty-eight MBTT classes were scheduled to be conducted across all shifts at both departments over the 8-week intervention. One hundred and twenty-six classes were held (98.44%); two classes were permanently canceled due to scheduling constraints. One hundred and fourteen of the originally scheduled classes were held as scheduled (89.06%); five classes were moved to a different location due to hurricane response needs, and seven classes were rescheduled for a different day and time. The number of participants that expressed interest in participating in MBTT classes at Department A exceeded the department’s ability to take firefighters out of service and maintain emergency response preparedness. For this reason, two classes were scheduled per day to facilitate attendance for all interested firefighters, while also maintaining operations.
Practicality
Instructors were paid US$42 per class, which included base pay as well as reimbursement for required professional liability insurance. The total instructor cost to complete all classes was US$5292. The cost of yoga blocks, mats, and straps to supply both departments totaled US$1344.78. The total cost per participant per class attended was US$4.76.

Discussion

This study is the first to support the feasibility and preliminary effectiveness of a yoga-based intervention (MBTT) to improve psychological outcomes in fire service personnel using an established feasibility framework. Regarding efficacy, MBTT had an immediate treatment effect on total scores of PTSD and specific symptom clusters of avoidance, arousal/reactivity, and NACM from pre-to-post-intervention. Similar improvements were noted for negative affect and trait anxiety over the intervention period.
A growing number of yoga-based randomized controlled trials have reported positive changes in PTSD symptomatology (e.g., Cushing & Braun, 2018; Davis et al., 2020; Jindani et al., 2015; Seppälä et al., 2014; van der Kolk et al., 2014), negative affect (Kerekes et al., 2017; Noggle et al., 2012; Vadiraja et al., 2009), and anxiety (e.g., Simon et al., 2021), prompting investigation of the potential mechanisms of change underlying yoga. The various components of mindfulness interwoven into the practice of yoga and their influence on psychological outcomes are of particular relevance. Williston et al. (2021) proposed interoception, acceptance, and attentional flexibility as potential mechanisms of action underlying MBIs, including yoga, for the treatment of PTSD. Relatedly, Mehling et al. (2018) observed improved mindfulness and interoceptive bodily awareness in war veterans with PTSD after completion of a 12-week integrative exercise program. Veterans who completed their program, which combined aerobic and resistance training with yoga and mindfulness-based principles, demonstrated greater improvement in PTSD symptom severity compared to the wait-list group. The authors proposed that changes in mindfulness non-reactivity and interoception may serve as partial mechanisms of action for the observed improvements in PTSD symptomatology. Though the current study did not explore variables underlying changes in psychological outcomes, it is conceivable that the noted improvements are attributable in part to increased overall levels of mindfulness or specific components of mindfulness, such as non-reactivity and interoceptive awareness. More research examining the mechanisms of MBIs generally and yoga specifically is needed to fully understand the role of mindfulness in psychological symptom improvement.
Despite immediate positive responses, MBTT did not sustain reductions in PTSD symptoms or negative affect 6 weeks post-intervention. More specifically, participants’ scores at follow-up were not significantly different from pre-intervention. Despite the lack of statistical significance for these variables, it is important to note that both PTSD symptoms and negative affect exhibited relatively small mean score changes from post-intervention to follow-up, indicating partial retention of intervention benefits. The diminished psychological benefits found at post-intervention align with previous yoga-based research findings. For example, Rhodes et al. (2016) completed a follow-up study with 49 of their original 60 study participants who participated in a yoga intervention designed to improve symptoms of chronic, treatment-resistant PTSD. They found that a greater frequency of yoga practice after treatment cessation translated to greater decreases in PTSD symptom severity. Based on these findings, Rhodes and colleagues proposed that increased frequency of yoga practice over extended periods may sustain decreases in symptoms of PTSD.
The combined findings from the current study and Rhodes et al. (2016) suggest that continuous participation in yoga may be required to maintain PTSD symptom improvement. This hypothesis offers an additional line of inquiry to pursue in future research. Subsequent interventions designed for the fire service may consider utilizing methods to facilitate continuation of yoga (e.g., providing information about virtual yoga offerings, connecting firefighters with local yoga studios) once an in-person or formal intervention is complete. Such studies could then assess the acceptability and engagement with yoga practiced independently and determine if continued or more frequent practice yields maintenance of benefits.
In the current study, negative affect improved significantly from pre-intervention to post-intervention, which agrees with a large body of literature demonstrating the efficacy of MBIs, including yoga interventions, for depression symptoms (e.g., Bridges & Sharma, 2017; Brinsley et al., 2021; Cramer et al., 2013; Kriakous et al., 2021; Querstret et al., 2020). Observational studies examining dispositional mindfulness among firefighters also show a positive impact on negative affect. For example, Smith et al. (2019) found that firefighters who were higher in dispositional mindfulness experienced less negative affect compared to those who were lower in mindfulness. Specifically, mindfulness appeared to mitigate increases in negative affect on days of higher stress. While we did not assess mindfulness in the present study, the results of Smith et al. (2019) may help to explain our own findings and support the use of MBIs to improve the mental health of firefighters.
Trait anxiety was the only variable that was both improved at the end of the yoga intervention and remained significantly improved at the 6-week follow-up assessment. Defined as a characteristic predisposition to appraise stimuli as threatening (Elmwood et al., 2012), trait anxiety serves as a promising candidate to reflect a sustained benefit of yoga practice. In support of our own findings, one previous study among cancer patients also reported reductions in anxiety that persisted in the 6 months after completing a yoga intervention (Lundt & Jentschke, 2019). A recent review by Bandealy et al. (2021) noted that the limited published literature reporting post-yoga follow-up data makes it difficult to draw conclusions about yoga’s long-term effect on anxiety; the present study helps to address this paucity of literature.
The current study met the a priori criteria for satisfactory acceptability on three of the four questions contained in the Intervention Appropriateness Measure (IAM). Firefighter participants considered the MBTT intervention to be fitting, suitable, and applicable for the fire service, while support of the cultural match between the MBTT intervention and the fire service approached the threshold for agreement. The acceptability of a yoga-based program within our predominantly male sample of firefighters is notable, as the masculine values of the fire service may initially appear incongruent with yoga practice (Cagas et al., 2021; Yarnal et al., 2004). A possible explanation for the high endorsement of acceptability found in the present study could be the culturally considerate application and peer-supported environment integrated into the design of the MBTT program. A similar concept was noted with participants of a military-tailored yoga program for veterans, who expressed appreciation for the willingness of instructors to modify activities during classes and the ability to share the practice of yoga with fellow veteran participants (Cushing et al., 2018). Implementing yoga in a group setting exclusively comprised of fire service personnel offers a particularly promising delivery approach for this population; firefighters live and work in a unit, and the group setting employed by the MBTT program honored this component of fire service culture.
The MBTT intervention had a 6.48% attrition rate, which satisfied a priori criteria for confirmation of intervention demand. Johnson et al. (2014) reported that all 147 Marines who consented to participate in a mindfulness intervention implemented as part of pre-deployment training completed the intervention. The present study’s intervention was similarly implemented during the participants’ on-duty time among a similar sample size of tactical athletes. The low attrition rate in both studies suggests strong demand for MBIs within this population.
Satisfactory implementation was evident from attendance and questionnaire compliance. Questionnaire compliance exceeded a priori average questionnaire response rate criteria of > 80%. Average class attendance (80.7 ± 19.0%) was equivalent to previously reported interventions with firefighters. For example, a supervised strength and endurance intervention among firefighters reported 86% compliance (Pawlak et al., 2015), and 97% of participants in a separate fitness-oriented program for firefighters attended at least 83% of sessions (Beach et al., 2014). The implementation data indicate that the participants and administrative leadership prioritized attendance and maintaining classes as scheduled. Previous literature shows that a lack of emphasis and support from fire service leadership for physical training exists (Dobson et al., 2013), potentially leading to lower on-duty physical activity and structured exercise among firefighters. The current study and its goal to address prevalent psychological health concerns for firefighters may have been of particular importance to the leadership staff within the fire departments involved in this study, prompting increased administrative support, and allowing for successful implementation. Additionally, yoga practice requires minimal equipment and offers flexibility in location. The permanent cancelation of only two classes despite emergency and natural disaster responses further emphasizes the ability to implement a yoga program in the fire service.
The intervention’s cost-effectiveness (i.e., practicality) was also demonstrated. Cost of care is the most cited reason for not receiving mental health services (Substance Abuse & Mental Health Services Administration, 2019), and a recent survey of US adults indicated that the cost of one individual therapy session can range from $60 to $250 (Cherry, 2022). Yoga classes were offered below the cost of typical community yoga classes and at a fraction of the cost per participant for individual therapy sessions. In this study, one individual yoga class cost $42 and the total cost per participant per class attended was $4.76. Thus, yoga may potentially offer a more affordable and cost-effective way to engage in wellness activities aimed at improving psychological concerns among firefighters.

Limitations and Future Research

Though the present study provides encouraging findings, conclusions must be considered within the context of study limitations. First, this study employed only one treatment condition, and randomization to treatment was not conducted. The quasi-experimental design allows for observing changes over time but limits the ability to attribute these changes solely to the intervention. Relatedly, self-report bias and environmental circumstances (e.g., social or work climate) during the intervention period may have contributed to the noted improvements in symptoms of PTSD, affect, and anxiety. Therefore, randomized controlled trials are needed to provide more robust evidence for the effectiveness of yoga in improving mental health symptoms in firefighters.
Second, the study employed general measures of negative affect and anxiety, limiting specificity of symptom assessment. Future studies should use specific symptom measures to more accurately evaluate MBTT’s effects on symptom types. Finally, this sample was relatively homogeneous and composed of predominantly white, male firefighters. To improve generalizability, future studies should include a more diverse sample than the current study, particularly with firefighters who identify as women and as members of diverse racial/ethnic groups.
Despite limitations, this study contributes to the growing body of mindfulness-based literature and offers a promising entry into a previously uncharted area of inquiry: yoga as a feasible, transdiagnostic avenue to address negative mental health outcomes in firefighters. Only two previously published studies are known to have examined the effect of yoga on firefighters (Cowen, 2010; Floyd et al., 2022), and these studies neither assessed the feasibility of their yoga interventions within a multidimensional framework nor did they focus on psychological conditions common among firefighters. The present study documents the multicomponent feasibility of MBTT aimed at improving symptoms of PTSD, affect, and anxiety, and thus begins to address this gap in the literature.

Acknowledgements

The authors are grateful to all participants who took part in the intervention and provided their data for this study.

Declarations

Ethics Approval

This study was approved by the Institutional Review Board of Louisiana State University (No. 4373). All procedures performed in this study that involved human participants were in accordance with the ethical standards of the institution and with the 1964 Helsinki declaration and its later amendments or comparable ethical standards.
Informed consent was obtained from all individual participants included in the study after they had been given an opportunity to review the document and ask questions regarding the study. Participants maintained the opportunity to decline participation in this study. All consenting procedures were approved by the Institutional Review Board of Louisiana State University.

Use of Artificial Intelligence

AI was not used.

Conflict of Interest

The authors declare no competing interests.
Open Access This article is licensed under a Creative Commons Attribution-NonCommercial-NoDerivatives 4.0 International License, which permits any non-commercial use, sharing, distribution and reproduction in any medium or format, as long as you give appropriate credit to the original author(s) and the source, provide a link to the Creative Commons licence, and indicate if you modified the licensed material. You do not have permission under this licence to share adapted material derived from this article or parts of it. The images or other third party material in this article are included in the article’s Creative Commons licence, unless indicated otherwise in a credit line to the material. If material is not included in the article’s Creative Commons licence and your intended use is not permitted by statutory regulation or exceeds the permitted use, you will need to obtain permission directly from the copyright holder. To view a copy of this licence, visit http://creativecommons.org/licenses/by-nc-nd/4.0/.

Publisher's Note

Springer Nature remains neutral with regard to jurisdictional claims in published maps and institutional affiliations.
Titel
A Pilot Feasibility Trial of Mind–Body Tactical Training for Firefighters: Evaluation of a Yoga-Based Transdiagnostic Program
Auteurs
Amanda J. Weathers-Meyer
Adam C. Lowe
Shelby J. McGrew
Nolynn E. Sutherland
Celeste M. G. Yann
Robbie A. Beyl
Anka A. Vujanovic
Publicatiedatum
16-08-2024
Uitgeverij
Springer US
Gepubliceerd in
Mindfulness / Uitgave 8/2024
Print ISSN: 1868-8527
Elektronisch ISSN: 1868-8535
DOI
https://doi.org/10.1007/s12671-024-02419-1
go back to reference Addis, M. E., & Mahalik, J. R. (2003). Men, masculinity, and the contexts of help seeking. American Psychologist, 58(1), 5–14. https://doi.org/10.1037/0003-066X.58.1.5CrossRefPubMed
go back to reference American Psychiatric Association. (2013). Diagnostic and statistical manual of mental disorders: DSM-5 (5th ed.). American Psychiatric Publishing. https://doi.org/10.1176/appi.books.9780890425596CrossRef
go back to reference Andrews, K., Gallagher, S., & Herring, M. (2019). The effects of exercise interventions on health and fitness of firefighters: A meta-analysis. Scandinavian Journal of Medicine & Science in Sports, 29(6), 780–790. https://doi.org/10.1111/sms.13411CrossRef
go back to reference Bandealy, S. S., Sheth, N. C., Matuella, S. K., Chaikind, J. R., Oliva, I. A., Philip, S. R., Jones, P. M., & Hoge, E. A. (2021). Mind-body interventions for anxiety disorders: A review of the evidence base for mental health practitioners. Focus, 19(2), 173–183. https://doi.org/10.1176/appi.focus.20200042CrossRefPubMedPubMedCentral
go back to reference Barnes, L. L., Harp, D., & Jung, W. S. (2002). Reliability generalization of scores on the Spielberger State-Trait Anxiety Inventory. Educational and Psychological Measurement, 62(4), 603–618. https://doi.org/10.1177/0013164402062004005CrossRef
go back to reference Beach, T. A., Frost, D. M., McGill, S. M., & Callaghan, J. P. (2014). Physical fitness improvements and occupational low-back loading: An exercise intervention study with firefighters. Ergonomics, 57(5), 744–763. https://doi.org/10.1080/00140139.2014.897374CrossRefPubMed
go back to reference Blevins, C. A., Weathers, F. W., Davis, M. T., Witte, T. K., & Domino, J. L. (2015). The Posttraumatic Stress Disorder Checklist for DSM-5 (PCL-5): development and initial psychometric evaluation. Journal of Traumatic Stress, 28, 489–498. https://doi.org/10.1002/jts.22059CrossRefPubMed
go back to reference Bowen, D. J., Kreuter, M., Spring, B., Cofta-Woerpel, L., Linnan, L., Weiner, D., Bakken, S., Patrick Kaplan, C., Squiers, L., Fabrizio, C., & Fernandez, M. (2009). How we design feasibility studies. American Journal of Preventive Medicine, 36(5), 452–457. https://doi.org/10.1016/j.amepre.2009.02.002CrossRefPubMedPubMedCentral
go back to reference Boyd, J. E., Lanius, R. A., & McKinnon, M. C. (2018). Mindfulness-based treatments for posttraumatic stress disorder: a review of the treatment literature and neurobiological evidence. Journal of Psychiatry & Neuroscience, 43(1), 7–25. https://doi.org/10.1503/jpn.170021CrossRef
go back to reference Bridges, L., & Sharma, M. (2017). The efficacy of yoga as a form of treatment for depression. Journal of Evidence-Based Complementary & Alternative Medicine, 22(4), 1017–1028. https://doi.org/10.1177/2156587217715927CrossRef
go back to reference Brinsley, J., Schuch, F., Lederman, O., Girard, D., Smout, M., Immink, M. A., Stubbs, B., Firth, J., Davison, K., & Rosenbaum, S. (2021). Effects of yoga on depressive symptoms in people with mental disorders: A systematic review and meta-analysis. British Journal of Sports Medicine, 55(17), 992–1000. https://doi.org/10.1136/bjsports-2019-101242CrossRefPubMed
go back to reference Cagas, J. Y., Biddle, S. J. H., & Vergeer, I. (2021). Yoga not a (physical) culture for men? Understanding the barriers for yoga participation among men. Complementary Therapies in Clinical Practice, 42, 101262. https://doi.org/10.1016/j.ctcp.2020.101262CrossRefPubMed
go back to reference Canady, B. E., Zullig, K. J., Brumage, M. R., & Goerling, R. (2021). Intensive mindfulness-based resilience training in first responders: a pilot study. Health Behavior and Policy Review, 8(1), 60–70. https://doi.org/10.14485/HBPR.8.1.6CrossRef
go back to reference Cherry, K. (2022). How much does therapy cost? Verywell Mind. Retrieved January 08 2023, from https://www.verywellmind.com/how-much-does-therapy-cost-5189261
go back to reference Chopin, S. M., Sheerin, C. M., & Meyer, B. L. (2020). Yoga for warriors: An intervention for veterans with comorbid chronic pain and PTSD. Psychological Trauma: Theory, Research, Practice, and Policy, 12(8), 888–896. https://doi.org/10.1037/tra0000649CrossRefPubMed
go back to reference Christopher, M. S., Hunsinger, M., Goerling, R. J., Bowen, S., Rogers, B. S., Gross, C. R., Dapolonia, E., & Pruessner, J. C. (2018). Mindfulness-based resilience training to reduce health risk, stress reactivity, and aggression among law enforcement officers: A feasibility and preliminary efficacy trial. Psychiatry Research, 264, 104–115. https://doi.org/10.1016/j.psychres.2018.03.059CrossRefPubMedPubMedCentral
go back to reference Cohen, J. (1988). Statistical power analysis for the behavioral sciences. Routledge Academic.
go back to reference Cowen, V. S. (2010). Functional fitness improvements after a worksite-based yoga initiative. Journal of Bodywork and Movement Therapies, 14(1), 50–54. https://doi.org/10.1016/j.jbmt.2009.02.006CrossRefPubMed
go back to reference Cramer, H., Lauche, R., Langhorst, J., & Dobos, G. (2013). Yoga for depression: a systematic review and meta-analysis. Depression and Anxiety, 30(11), 1068–1083. https://doi.org/10.1002/da.22166CrossRefPubMed
go back to reference Cramer, H., Lauche, R., Anheyer, D., Pilkington, K., de Manincor, M., Dobos, G., & Ward, L. (2018). Yoga for anxiety: A systematic review and meta-analysis of randomized controlled trials. Depression and Anxiety, 35(9), 830–843. https://doi.org/10.1002/da.22762CrossRefPubMed
go back to reference Craun, S. W., Bourke, M. L., Bierie, D. M., & Williams, K. S. (2014). A longitudinal examination of secondary traumatic stress among law enforcement. Victims & Offenders, 9(3), 299–316. https://doi.org/10.1080/15564886.2013.848828CrossRef
go back to reference Crawford, J. R., & Henry, J. D. (2004). The Positive and Negative Affect Schedule (PANAS): construct validity, measurement properties and normative data in a large non-clinical sample. British Journal of Clinical Psychology, 43(3), 245–265. https://doi.org/10.1348/0144665031752934CrossRefPubMed
go back to reference Cushing, R. E., & Braun, K. L. (2018). Mind–body therapy for military veterans with post-traumatic stress disorder: A systematic review. The Journal of Alternative and Complementary Medicine, 24(2), 106–114. https://doi.org/10.1089/acm.2017.0176CrossRefPubMed
go back to reference Cushing, R. E., Braun, K. L., Alden, S. W., Katz, A. R., & Alden, S. W. (2018). Military-tailored yoga for veterans with post-traumatic stress disorder. Military Medicine, 183(5–6), e223–e231. https://doi.org/10.1093/milmed/usx071CrossRefPubMedPubMedCentral
go back to reference Davis, L. W., Schmid, A. A., Daggy, J. K., Yang, Z., O’Connor, C. E., Schalk, N., Do, A. L., Maric, D., Lazarick, D., & Knock, H. (2020). Symptoms improve after a yoga program designed for PTSD in a randomized controlled trial with veterans and civilians. Psychological Trauma: Theory, Research, Practice, and Policy, 12(8), 904–912. https://doi.org/10.1037/tra0000564CrossRefPubMed
go back to reference Denkova, E., Zenesco, A. P., Rogers, S. L., & Jha, A. P. (2020). Is resilience trainable? An initial study comparing mindfulness and relaxation training in firefighters. Psychiatry Research, 285, 112794. https://doi.org/10.1016/j.psychres.2020.112794CrossRefPubMed
go back to reference Detry, M. A., & Ma, Y. (2016). Analyzing repeated measures using mixed models. Journal of the American Medical Association, 315(4), 407–408. https://doi.org/10.1001/jama.2015.19394CrossRefPubMed
go back to reference Dobson, M., Choi, B., Schnall, P. L., Wigger, E., Garcia-Rivas, J., Israel, L., & Baker, D. B. (2013). Exploring occupational and health behavioral causes of firefighter obesity: A qualitative study. American Journal of Industrial Medicine, 56(7), 776–790. https://doi.org/10.1002/ajim.22151CrossRefPubMed
go back to reference Elmwood, L. S., Wolitzky-Taylor, K., & Olatunji, B. O. (2012). Measurement of anxious traits: A contemporary review and synthesis. Anxiety, Stress, & Coping, 25(6), 647–666. https://doi.org/10.1080/10615806.2011.582949CrossRef
go back to reference Fahy, R., Evarts, B., & Stein, G. P. (2022). US fire department profile 2020. National Fire Protection Association. Retrieved January 8 2023, from https://www.nfpa.org/-/media/Files/News-and-Research/Fire-statistics-and-reports/Emergency-responders/osfdprofile.pdf
go back to reference Floyd, E., Rackelmann, S., McQuaide, S., Hartogensis, W., & Mehling, W. (2022). Yoga for firefighters: Evaluation of a quality improvement program in California fire departments. Journal of Bodywork and Movement Therapies, 32, 7–12. https://doi.org/10.1016/j.jbmt.2022.05.019CrossRefPubMed
go back to reference Gaetano, J. (2018). Holm-Bonferroni sequential correction: an Excel calculator (Version 1.3) [Microsoft Excel Workbook]. https://doi.org/10.13140/RG.2.2.28346.49604
go back to reference Gallegos, A. M., Crean, H. F., Pigeon, W. R., & Heffner, K. L. (2017). Meditation and yoga for posttraumatic stress disorder: A meta-analytic review of randomized controlled trials. Clinical Psychology Review, 58, 115–124. https://doi.org/10.1016/j.cpr.2017.10.004CrossRefPubMedPubMedCentral
go back to reference Gauthier, T., Meyer, R. M., Grefe, D., & Gold, J. I. (2015). An on-the-job mindfulness-based intervention for pediatric ICU nurses: A pilot. Journal of Pediatric Nursing, 30(2), 402–409. https://doi.org/10.1016/j.pedn.2014.10.005CrossRefPubMed
go back to reference Gerber, M., Kellmann, M., Hartmann, T., & Pühse, U. (2010). Do exercise and fitness buffer against stress among Swiss police and emergency response service officers? Psychology of Sport & Exercise, 11(4), 286–294. https://doi.org/10.1016/j.psychsport.2010.02.004CrossRef
go back to reference Goldberg, S. B., Tucker, R. P., Greene, P. A., Davidson, R. J., Wampold, B. E., Kearney, D. J., & Simpson, T. L. (2018). Mindfulness-based interventions for psychiatric disorders: A systematic review and meta-analysis. Clinical Psychology Review, 59, 52–60. https://doi.org/10.1016/j.cpr.2017.10.011CrossRefPubMed
go back to reference Gordon, T. (2013). Theorizing yoga as a mindfulness skill. Procedia - Social and Behavioral Sciences, 84(9), 1224–1227. https://doi.org/10.1016/j.sbspro.2013.06.733CrossRef
go back to reference Groll, D., Charbonneau, D., Belanger, S., & Senyshyn, S. (2016). Yoga and Canadian Armed Forces members’ well-being: an analysis based on select physiological and psychological measures. Journal of Military, Veteran and Family Health, 2(2), 53–61. https://doi.org/10.3138/jmvfh.3541CrossRef
go back to reference Gulliver, S. B., Zimering, R. T., Knight, J., Morissette, S. B., Kamholz, B. W., Pennington, M. L., Dobani, F., Carpenter, T. P., Kimbrel, N. A., Keane, T. M., & Meyer, E. C. (2021). A prospective study of firefighters’ PTSD and depression symptoms: The first 3 years of service. Psychological Trauma: Theory, Research, Practice, and Policy, 13(1), 44–55. https://doi.org/10.1037/tra0000980CrossRefPubMed
go back to reference Guthrie, R. M., & Bryant, R. A. (2005). Auditory startle response in firefighters before and after trauma exposure. American Journal of Psychiatry, 162(2), 283–290. https://doi.org/10.1176/appi.ajp.162.2.283CrossRefPubMed
go back to reference Haugen, P. T., McCrillis, A. M., Smid, G. E., & Nijdam, M. J. (2017). Mental health stigma and barriers to mental health care for first responders: A systematic review and meta-analysis. Journal of Psychiatric Research, 94, 218–229. https://doi.org/10.1016/j.jpsychires.2017.08.001CrossRefPubMed
go back to reference Heinrichs, M., Wagner, D., Schoch, W., Soravia, L. M., Hellhammer, D. H., & Ehlert, U. (2005). Predicting posttraumatic stress symptoms from pretraumatic risk factors: A 2-year prospective follow-up study in firefighters. American Journal of Psychiatry, 162(12), 2276–2286. https://doi.org/10.1176/appi.ajp.162.12.2276CrossRefPubMed
go back to reference Hendrix, E. W., Frost, C. J., Castillo, J. T., Landward, R. S., Vogt, K. M., Benson, L. S., & Gren, L. H. (2023). Mindfulness-based interventions to improve relational and mental health of firefighters: A mixed methods feasibility study. Clinical Social Work, 51, 401–414. https://doi.org/10.1007/s10615-023-00896-wCrossRef
go back to reference Hofmann, S. G., Andreoli, G., Carpenter, J. K., & Curtiss, J. (2016). Effect of hatha yoga on anxiety: A meta-analysis. Journal of Evidence-Based Medicine, 9(3), 116–124. https://doi.org/10.1111/jebm.12204CrossRefPubMedPubMedCentral
go back to reference Hollerbach, B. S., Jahnke, S. A., Poston, W. S. C., Harns, C. A., & Heinrich, K. M. (2019). Examining a novel firefighter exercise training program on simulated fire ground test performance, cardiorespiratory endurance, and strength: a pilot investigation. Journal of Occupational Medicine and Toxicology, 14, 12. https://doi.org/10.1186/s12995-019-0232-2CrossRefPubMedPubMedCentral
go back to reference Holm, S. (1979). A simple sequentially rejective multiple test procedure. Scandinavian Journal of Statistics, 6(2), 65–70.
go back to reference Hom, M. A., Stanley, I. H., Rogers, M. L., Tzoneva, M., Bernert, R. A., & Joiner, T. E. (2016). The association between sleep disturbances and depression among firefighters: Emotion dysregulation as an explanatory factor. Journal of Clinical Sleep Medicine, 12(2), 235–245. https://doi.org/10.5664/jcsm.5492CrossRefPubMedPubMedCentral
go back to reference Hooper, L. M., Stockton, P., Krupnick, J. L., & Green, B. L. (2011). Development, use, and psychometric properties of the Trauma History Questionnaire. Journal of Loss and Trauma, 16(3), 258–283. https://doi.org/10.1080/15325024.2011.572035CrossRef
go back to reference Jahnke, S. A., Carlos Poston, W. S., Haddock, C. K., & Murphy, B. (2016). Firefighting and mental health: Experiences of repeated exposure to trauma. Work, 53(4), 737–744. https://doi.org/10.3233/WOR-162255CrossRefPubMed
go back to reference Jindani, F., Turner, N., & Khalsa, S. B. (2015). A yoga intervention for posttraumatic stress: a preliminary randomized control trial. Evidence-Based Complementary and Alternative Medicine, 2015, 351746. https://doi.org/10.1155/2015/351746
go back to reference Johnson, D. C., Thom, N. J., Stanley, E. A., Haase, L., Simmons, A. N., Shih, P. B., Thompson, W. K., Potterat, E. G., Minor, T. R., & Paouus, M. P. (2014). Modifying resilience mechanisms in at-risk individuals: A controlled study of mindfulness training in marines preparing for deployment. American Journal of Psychiatry, 171(8), 844–853. https://doi.org/10.1176/appi.ajp.2014.13040502CrossRefPubMed
go back to reference Johnston, J. M., Minami, T., Greenwald, D., Li, C., Reinhardt, K., & Khalsa, S. B. S. (2015). Yoga for military service personnel with PTSD: a single arm study. Psychological Trauma: Theory, Research, Practice, and Policy, 7(6), 555–562. https://doi.org/10.1037/tra0000051CrossRefPubMed
go back to reference Joyce, S., Shand, F., Bryant, R. A., Lal, T. J., & Harvey, S. B. (2018). Mindfulness-based resilience training in the workplace: pilot study of the internet-based Resilience@Work (RAW) mindfulness program. Journal of Medical Internet Research, 20(9), e10326. https://doi.org/10.2196/10326CrossRefPubMedPubMedCentral
go back to reference Kabat-Zinn, J. (2003). Mindfulness-based interventions in context: past, present, and future. Clinical Psychology: Science and Practice, 10(2), 144–156. https://doi.org/10.1093/clipsy.bpg016CrossRef
go back to reference Kaplan, J. B., Bergman, A. L., Christopher, M., Bowen, S., & Hunsinger, M. (2017). Role of resilience in mindfulness training for first responders. Mindfulness, 8, 1373–1380. https://doi.org/10.1007/s12671-017-0713-2CrossRefPubMedPubMedCentral
go back to reference Kerekes, N., Fielding, C., & Apelqvist, S. (2017). Yoga in correctional settings: a randomized controlled study. Frontiers in Psychiatry, 8, 204. https://doi.org/10.3389/fpsyt.2017.00204CrossRefPubMedPubMedCentral
go back to reference Kim, S. H., Schneider, S. M., Kravitz, L., Mermier, C., & Burge, M. R. (2013). Mind-body practices for posttraumatic stress disorder. Journal of Investigative Medicine, 61(5), 827–834. https://doi.org/10.2310/JIM.0b013e3182906862CrossRefPubMedPubMedCentral
go back to reference Kim, J. E., Dager, S. R., Jeong, H. S., Ma, J., Park, S., Kim, J., Choi, Y., Lee, S. L., Kang, I., Ha, E., Cho, H. B., Lee, S., Kim, E. J., Yoon, S., & Lyoo, I. K. (2018a). Firefighters, posttraumatic stress disorder, and barriers to treatment: results from a national total population survey. PLoS ONE, 13(1), e0190630. https://doi.org/10.1371/journal.pone.0190630CrossRefPubMedPubMedCentral
go back to reference Kim, J. I., Park, H., & Kim, J. H. (2018b). The mediation effect of PTSD, perceived job stress and resilience on the relationship between trauma exposure and the development of depression and alcohol use problems in Korean firefighters: A cross-sectional study. Journal of Affective Disorders, 229, 450–455. https://doi.org/10.1016/j.jad.2017.12.055CrossRefPubMed
go back to reference Kim, M., Jeong, Y., Choi, Y., Seo, A., Ha, Y., Seo, M., & Park, K. (2019). The association of the exposure to work-related traumatic events and work limitations among firefighters: A cross-sectional study. International Journal of Environmental Research and Public Health, 16, 756. https://doi.org/10.3390/ijerph16050756CrossRefPubMedPubMedCentral
go back to reference Kim, J. I., Oh, S., Park, H., Min, B., & Kim, J. H. (2020). The prevalence and clinical impairment of subthreshold PTSD using DSM-5 criteria in a national sample of Korean firefighters. Depression and Anxiety, 37, 375–385. https://doi.org/10.1002/da.22998CrossRefPubMed
go back to reference Kimbrel, N. A., Pennington, M. L., Cammarata, C. M., Leto, F., Ostiguy, W. J., & Gulliver, S. B. (2016). Is cumulative exposure to suicide attempts and deaths a risk factor for suicidal behavior among firefighters? A preliminary study. Suicide and Life-Threatening Behavior, 46(6), 669–677. https://doi.org/10.1111/sltb.12248CrossRefPubMed
go back to reference Kriakous, S. A., Elliott, K. A., Lamers, C., & Owen, R. (2021). The effectiveness of mindfulness-based stress reduction on the psychological functioning of healthcare professionals: a systematic review. Mindfulness, 12, 1–28. https://doi.org/10.1007/s12671-020-01500-9CrossRefPubMed
go back to reference Lee, J. H., Lee, D., Kim, J., Jeon, K., & Sim, M. (2017). Duty-related trauma exposure and posttraumatic stress symptoms in professional firefighters. Journal of Traumatic Stress, 30, 133–141. https://doi.org/10.1002/jts.22180CrossRefPubMed
go back to reference Lundt, A., & Jentschke, E. (2019). Long-term changes of symptoms of anxiety, depression, and fatigue in cancer patients 6 months after the end of yoga therapy. Integrative Cancer Therapies, 18(1), 153473541882209. https://doi.org/10.1177/1534735418822096CrossRef
go back to reference Lynch, L., Long, M., & Moorhead, A. (2018). Young men, help-seeking, and mental health services: Exploring barriers and solutions. American Journal of Men’s Health, 12(1), 138–149. https://doi.org/10.1177/1557988315619469CrossRefPubMed
go back to reference Meckes, S. J., McDonald, M. A., & Lancaster, C. L. (2020). Association between physical activity and mental health among first responders with different service roles. Psychological Trauma: Theory, Research, Practice & Policy, 13(1), 66–74. https://doi.org/10.1037/tra0000971CrossRef
go back to reference Mehling, W. E., Chesney, M. A., Metzler, T. J., Goldstein, L. A., Maguen, S., Geronimo, C., Agcaoili, G., Barnes, D. E., Hlavin, J. A., & Neylan, J. C. (2018). A 12-week integrative exercise program improves self-reported mindfulness and interoceptive awareness in war veterans with posttraumatic stress symptoms. Journal of Clinical Psychology, 74(4), 554–565. https://doi.org/10.1002/jclp.22549CrossRefPubMed
go back to reference Milligan-Saville, J., Choi, I., Deady, M., Scott, P., Tan, L., Calvo, R. A., Bryant, R. A., Glozier, N., & Harvey, S. B. (2018). The impact of trauma exposure on the development of PTSD and psychological distress in a volunteer fire service. Psychiatry Research, 270, 1110–1115. https://doi.org/10.1016/j.psychres.2018.06.058CrossRefPubMed
go back to reference Noggle, J. J., Steiner, N. J., Minami, T., & Khalsa, S. B. (2012). Benefits of yoga for psychosocial well-being in a US high school curriculum: A preliminary randomized controlled trial. Journal of Developmental and Behavioral Pediatrics, 33(3), 193–201. https://doi.org/10.1097/DBP.0b013e31824afdc4CrossRefPubMed
go back to reference Obuobi-Donkor, G., Oluwasina, F., Nkire, N., & Agyapong, V. I. O. (2022). A scoping review on the prevalence and determinants of post-traumatic stress disorder among military personnel and firefighters: implications for public policy and practice. International Journal of Environmental Research and Public Health, 19(3), 1565. https://doi.org/10.3390/ijerph19031565CrossRefPubMedPubMedCentral
go back to reference Oliffe, J. L., Ogrodniczuk, J. S., Gordon, S. J., Creighton, G., Kelly, M. T., Black, N., & Mackenzie, C. (2016). Stigma in male depression and suicide: a Canadian sex comparison study. Community Mental Health Journal, 52(3), 302–310. https://doi.org/10.1007/s10597-015-9986-xCrossRefPubMedPubMedCentral
go back to reference Ortuño-Sierra, J., Garcia-Velasco, L., Inchausti, F., Debbane, M., & Fonseca-Pedrero, E. (2016). New approaches on the study of the psychometric properties of the STAI. Actas Españolas De Psiquiatría, 44(3), 83–92.PubMed
go back to reference Pace, T. W., Zeiders, K. H., Cook, S. H., Sarsar, E. D., Hoyt, L. T., Mirin, N. L., Wood, E. P., Tatar, R., & Davidson, R. J. (2022). Feasibility, acceptability, and preliminary efficacy of an app-based meditation intervention to decrease firefighter psychological distress and burnout: a one-group pilot study. JMIR Formative Research, 6(6), e34951. https://doi.org/10.2196/34951CrossRefPubMedPubMedCentral
go back to reference Paulus, D. J., Gallagher, M. W., Bartlett, B. A., Tran, J., & Vujanovic, A. A. (2018). The unique and interactive effects of anxiety sensitivity and emotion dysregulation in relation to posttraumatic stress, depressive, and anxiety symptoms among trauma-exposed firefighters. Comprehensive Psychiatry, 84, 54–61. https://doi.org/10.1016/j.comppsych.2018.03.012CrossRefPubMed
go back to reference Pawlak, R., Clasey, J. L., Palmer, T., Symons, T. B., & Abel, M. G. (2015). The effect of a novel tactical training program on physical fitness and occupational performance in firefighters. Journal of Strength and Conditioning Research, 29(3), 578–588. https://doi.org/10.1519/JSC.0000000000000663CrossRefPubMed
go back to reference Pennington, M. L., Carpenter, T. P., Synett, S. J., Torres, V. A., Teague, J., Morissette, S. B., Knight, J., Kamholz, B. W., Keane, T. M., Zimering, R. T., & Gulliver, S. B. (2018). The influence of exposure to natural disasters on depression and PTSD symptoms among firefighters. Prehospital and Disaster Medicine, 33(1), 102–108. https://doi.org/10.1017/S1049023X17007026CrossRefPubMed
go back to reference Pinto, R. J., Henriques, S. P., Jongenelen, I., Carvalho, C., & Maia, A. C. (2015). The strongest correlates of PTSD for firefighters: number, recency, frequency, or perceived threat of traumatic events? Journal of Traumatic Stress, 28(434), 440. https://doi.org/10.1002/jts.22035CrossRef
go back to reference Querstret, D., Morison, L., Dickinson, S., Cropley, M., & John, M. (2020). Mindfulness-based stress reduction and mindfulness-based cognitive therapy for psychological health and well-being in nonclinicial samples: A systematic review and meta-analysis. International Journal of Stress Management, 27(4), 394–411. https://doi.org/10.1037/str0000165CrossRef
go back to reference Rhodes, A., Spinazzola, J., & van der Kolk, B. (2016). Yoga for adult women with chronic PTSD: A long-term follow-up study. Journal of Alternative and Complementary Medicine, 22(3), 189–196. https://doi.org/10.1089/acm.2014.0407CrossRefPubMed
go back to reference Saksena, T., Sharma, R., & Basavaraddi, I. V. (2020). Exploring the role of hatha yoga in altering dispositional mindfulness. Indian Journal of Public Health Research & Development, 11(1), 868–873. https://doi.org/10.37506/v11/i1/2020/ijphrd/194145CrossRef
go back to reference Saper, R. B., Boah, A. R., Keosaian, J., Cerrada, C., Weinberg, J., & Sherman, K. J. (2013). Comparing once- versus twice-weekly yoga classes for chronic low back pain in predominantly low-income minorities: a randomized dosing trial. Evidence-Based Complementary and Alternative Medicine, 2013, 658030. https://doi.org/10.1155/2013/658030CrossRefPubMedPubMedCentral
go back to reference Sawhney, G., Jennings, K. S., Britt, T. W., & Sliter, M. T. (2017). Occupational stress and mental health symptoms: examining the moderating effect of work recovery strategies in firefighters. Journal of Occupational Health Psychology, 23(3), 443–456. https://doi.org/10.1037/ocp0000091CrossRefPubMed
go back to reference Sciarrino, N. A., DeLucia, C., O’Brien, K., & McAdams, K. (2017). Assessing the effectiveness of yoga as a complementary and alternative treatment for post-traumatic stress disorder: A review and synthesis. Journal of Alternative and Complementary Medicine, 23(10), 747–755. https://doi.org/10.1089/acm.2017.0036CrossRefPubMed
go back to reference Seidler, Z. E., Dawes, A. J., Rice, S. M., Oliffe, J. L., & Dhillon, H. M. (2016). The role of masculinity in men’s help-seeking for depression: A systematic review. Clinical Psychology Review, 49, 106–118. https://doi.org/10.1016/j.cpr.2016.09.002CrossRefPubMed
go back to reference Seidler, Z. E., Rice, S. M., Ogrodniczuk, J. S., Oliffe, J. L., & Dhillon, H. M. (2018). Engaging men in psychological treatment: a scoping review. American Journal of Men’s Health, 1882–1900. https://doi.org/10.1177/1557988318792157
go back to reference Seppälä, E. M., Nitschke, J. B., Tudorascu, D. L., Hayes, A., Goldstein, M. R., Nguyen, D. T., Perlman, D., & Davidson, R. J. (2014). Breathing-based meditation decreases posttraumatic stress disorder symptoms in U.S. military veterans: a randomized controlled longitudinal study. Journal of Traumatic Stress, 27, 397–405. https://doi.org/10.1002/jts.21936CrossRefPubMed
go back to reference Simon, N. M., Hofmann, S. G., Rosenfield, D., Hoeppner, S. S., Hoge, E. A., Bui, E., & Khalsa, S. B. S. (2021). Efficacy of yoga vs cognitive behavioral therapy vs stress education for the treatment of generalized anxiety disorder. JAMA Psychiatry, 78(1), 13–20. https://doi.org/10.1001/jamapsychiatry.2020.2496CrossRefPubMed
go back to reference Smith, B. W., Ortiz, J. A., Steffen, L. E., Tooley, E. M., Wiggins, K. T., Yeater, E. A., Montoya, J. D., & Bernard, M. L. (2011). Mindfulness is associated with fewer PTSD symptoms, depressive symptoms, physical symptoms, and alcohol problems in urban firefighters. Journal of Consulting and Clinical Psychology, 79(5), 613–617. https://doi.org/10.1037/a0025189CrossRefPubMed
go back to reference Smith, B. W., Ford, C. G., & Steffen, L. E. (2019). The role of mindfulness in reactivity to daily stress in urban firefighters. Mindfulness, 10(8), 1603–1614. https://doi.org/10.1007/s12671-019-01102-0CrossRef
go back to reference Spielberger, C. D., Gorsuch, R. L., Lushene, R., Vagg, P. R., & Jacobs, G. A. (1983). Manual for the State-Trait Anxiety Inventory. Palo Alto, CA: Consulting Psychologists Press.
go back to reference Stanley, I. H., Boffa, J. W., Smith, L. J., Tran, J. K., Schmidt, N. B., Joiner, T. E., & Vujanovic, A. A. (2018). Occupational stress and suicidality among firefighters: examining the buffering role of distress tolerance. Psychiatry Research, 266, 90–96. https://doi.org/10.1016/j.psychres.2018.05.058CrossRefPubMedPubMedCentral
go back to reference Stanley, I. H., Boffa, J. W., Tran, J. K., Schmidt, N. B., Joiner, T. E., & Vujanovic, A. A. (2019). Posttraumatic stress disorder symptoms and mindfulness facets in relation to suicide risk among firefighters. Journal of Clinical Psychology, 75(4), 696–709. https://doi.org/10.1002/jclp.22748CrossRefPubMedPubMedCentral
go back to reference Staples, J. K., Hamilton, M. F., & Uddo, M. (2013). A yoga program for the symptoms of post-traumatic stress disorder in veterans. Military Medicine, 178(8), 854–860. https://doi.org/10.7205/MILMED-D-12-00536
go back to reference Substance Abuse and Mental Health Services Administration. (2019). Key substance use and mental health indicators in the United States: Results from the 2018 National Survey on Drug Use and Health (HHS Publication No. PEP19-5068, NSDUH Series H-54). Center for Behavioral Health Statistics and Quality, Substance Abuse and Mental Health Services Administration. Retrieved January 8 2023, from https://www.samhsa.gov/data/sites/default/files/cbhsq-reports/NSDUHNationalFindingsReport2018/NSDUHNationalFindingsReport2018.pdf
go back to reference Tang, Y., Jiang, C., & Tang, R. (2017). How mind-body practice works- integration or separation? Frontiers in Psychology, 8, 866. https://doi.org/10.3389/fpsyg.2017.00866CrossRefPubMedPubMedCentral
go back to reference Throne, L. C., Bartholomew, J. B., Craig, J., & Farrar, R. P. (2000). Stress reactivity in firefighters: An exercise intervention. International Journal of Stress Management, 7(4), 235–246. https://doi.org/10.1023/A:1009574428627CrossRef
go back to reference Tommasi, M., Conte, M. M., & Saggino, A. (2021). Stress, psychological disease, psychological well-being and personality in Italian firefighters compared to other working categories. Cogent Psychology, 8, 1912249. https://doi.org/10.1080/23311908.2021.1912249CrossRef
go back to reference Vadiraja, H. S., Rao, M. R., Nagarathna, R., Nagendra, H. R., Rekha, M., Vanitha, N., Gopinath, K. S., Srinath, B. S., Vishweshwara, M. S., Madhavi, Y. S., Ajaikumar, B. S., Bilimagga, S. R., & Rao, N. (2009). Effects of yoga program on quality of life and affect in early breast cancer patients undergoing adjuvant radiotherapy: A randomized controlled trial. Complementary Therapies in Medicine, 17(5–6), 274–280. https://doi.org/10.1016/j.ctim.2009.06.004CrossRefPubMed
go back to reference Vadvilavičius, T., Varnagirytė, E., Jarašiūnaitė-Fedosejeva, G., & Gustainienė, L. (2023). The effectiveness of mindfulness-based interventions for police officers’ stress reduction: A systematic review. Journal of Police and Criminal Psychology, 38(1), 223–239. https://doi.org/10.1007/s11896-022-09570-2CrossRefPubMedPubMedCentral
go back to reference van der Kolk, B., Stone, L., West, J., Rhodes, A., Emerson, D., Suvak, M., & Spinazzola, J. (2014). Yoga as an adjunctive treatment for posttraumatic stress disorder: a randomized controlled trial. Journal of Clinical Psychiatry, 75(6), e559–e565. https://doi.org/10.4088/JCP.13m08561CrossRefPubMed
go back to reference Vujanovic, A. A., & Tran, J. K. (2021). Providing psychological services to firefighters. Journal of Health Service Psychology, 47, 137–148. https://doi.org/10.1007/s42843-021-00041-6CrossRef
go back to reference Vujanovic, A. A., Lebeaut, A., Zegel, M., & Buser, S. (2022). Mindful attention training workshop for firefighters: design and methodology of a pilot randomized clinical trial. Contemporary Clinical Trials Communications, 27, 100905. https://doi.org/10.1016/j.conctc.2022.100905CrossRefPubMedPubMedCentral
go back to reference Wagner, S. L., White, N., Buys, N., Carey, M. G., Corneil, W., Fyfe, T., Matthews, L. R., Randall, C., Regehr, C., White, M., Alden, L. E., Krutop, E., Fraess-Phillips, A., & Fleischmann, M. H. (2021). Systematic review of mental health symptoms in firefighters exposed to routine duty-related critical incidents. Traumatology, 27(3), 285–302. https://doi.org/10.1037/trm0000275CrossRef
go back to reference Watson, D., Clark, L. A., & Tellegen, A. (1988). Development and validation of brief measures of positive and negative affect: The PANAS scales. Journal of Personality and Social Psychology, 54(6), 1063–1070. https://doi.org/10.1037/0022-3514.54.6.1063CrossRefPubMed
go back to reference Weathers, F., Litz, B., Keane, T., Palmieri, P., Marx, B., & Schurr, P. (2013). The PTSD Checklist for DSM-5 (PCL-5). National Center for PTSD.
go back to reference Weiner, B. J., Lewis, C. C., Stanick, C., Powell, B. J., Dorsey, C. N., Clary, A. S., Boynton, M. H., & Halko, H. (2017). Psychometric assessment of three newly developed implementation outcome measures. Implementation Science, 12, 108. https://doi.org/10.1186/s13012-017-0635-3CrossRef
go back to reference Williston, S. K., Grossman, D., Mori, D. L., & Niles, B. L. (2021). Mindfulness interventions in the treatment of posttraumatic stress disorder. Professional Psychology: Research and Practice, 52(1), 46–57. https://doi.org/10.1037/pro0000363CrossRef
go back to reference Wróbel-Knybel, P., Rog, J., Jalal, B., Szewczyk, P., & Karakuła-Juchnowicz, H. (2021). Sleep paralysis among professional firefighters and a possible association with PTSD- Online survey-based study. International Journal of Environmental Research and Public Health, 18, 9442. https://doi.org/10.3390/ijerph18189442CrossRefPubMedPubMedCentral
go back to reference Yarnal, C., Dowler, L., & Hutchinson, S. (2004). Don’t let the bastards see you sweat: Masculinity, public and private space, and the volunteer firehouse. Environment and Planning, 36(4), 685–699. https://doi.org/10.1068/a35317CrossRef
go back to reference Zaccari, B., Callahan, M. L., Storzbach, D., McFarlane, N., Hudson, R., & Loftis, J. M. (2020). Yoga for veterans with PTSD: Cognitive functioning, mental health, and salivary cortisol. Psychological Trauma: Theory, Research, Practice, and Policy, 12(8), 913–917. https://doi.org/10.1037/tra0000909CrossRefPubMed
go back to reference Zoogman, S., Goldberg, S. B., Vousoura, E., Diamond, M. C., & Miller, L. (2019). Effect of yoga-based interventions for anxiety symptoms: a meta-analysis of randomized controlled trials. Spirituality in Clinical Practice, 6(4), 256–278. https://doi.org/10.1037/scp0000202CrossRef